作者简介: 刘兆海, 1996年生, 南京信息工程大学电子与信息工程学院硕士研究生 e-mail: 20201249388@nuist.edu.cn
气体的特征吸收频率可以通过红外光谱技术进行提取, 但以可调谐激光吸收光谱法(TDLAS)为标志的气体光谱检测技术难以兼顾宽波段与高精度。 因此, 高集成度、 高速度和高稳定性的多组分痕量气体的检测技术一直是科研界研究的热点。 为了拓宽红外激光器检测的范围, 本项目研发了中心波长分别为1 543、 1 579、 1 626、 1 653、 1 690与1 742 nm波段可调谐的多通道、 可调频分布式反馈(DFB)激光器作为光源。 利用MEMS-FPI片上光谱芯片探测带宽窄(约5 nm)、 工作波长可精准调控、 滤波效率高等一系列优势, 实现了与多波长红外激光器的同步探测, 完成多种混合气体的稳定高精度的识别与浓度检测, 有效抑制了背景气体的相互干扰。 该系统采用可寻址的MEMS-FPI光谱芯片的多通道波长调制(WMS)技术, 通过单路锁相放大电路分别对不同气体吸收谱线的二次谐波(2f)信号进行解调与数字采集。 实现了甲烷(CH4), 硫化氢(H2S), 乙烯(C2H4)等七种气体标志物的快速痕量级检测。 能够兼顾多组分识别与低气体检测下限(识别速度2 s以内), 检测下限相比于传统宽光谱直接测量方法降低了约700倍。 实验结果表明, 本系统对甲烷的检测下限可达到0.2 μL·L-1, 且二氧化碳的检测下限为10 μL·L-1, 丙酮的检测下限为2 μL·L-1, 乙烯、 硫化氢的检测下限为1 μL·L-1, 氨气的检测下限为5 μL·L-1, 氯化氢的检测下限为4 μL·L-1, 完全满足包括双碳背景下的低浓度温室气体监测、 医疗领域人体呼出气体检测与诊断在内的一系列痕量级多组分气体检测的应用需求。
Infrared spectroscopy technology can be carried out to extract the characteristic absorption frequency of gas. However, the present gas spectrum detection technology, such as tunable laser absorption spectroscopy (TDLAS), makes it difficult to balance the wide band absorption and high precision. Therefore, developing multicomponent trace gas detection technology with high integration, speed and stability has always been a researching hotspot in scientific research. In order to broaden the range of infrared laser detection, this project developed a multi-channel distributed feedback (DFB) laser with tunable central wavelengths of 1 543, 1 579, 1 626, 1 653, 1 690 and 1 742 nm as the light source. It realized the synchronous detection with a multi-wavelength infrared laser, identification of multicomponent trace gas, a high efficient filtering of background gases by making use of the MEMS-FPI on-chip device's advantages, such as narrow detecting band width (5 nm), adjustable and addressable working wavelength and efficient filtering capability. This system innovatively adopts the multi-channel wavelength modulation (WMS) technology of an addressable MEMS-FPI spectrum chip and realizes the digital acquisition of the second harmonic (2f) signal through a single phase-locked amplifier loop. The fast trace level detection of seventrace gases (methane CH4, hydrogen sulfide H2S, ethylene C2H4) has been realized (less than 2 s), which also curtailed the lower limit of multi-component identification. Compared with the direct measuring method by the traditional wide-spectrum absorption, the lower limit of detection has been declined by about 700 times. The experimental results show that the lower limit of methane detection can reach 0.2 μL·L-1, and the lower limit of other gases except carbon dioxide is 10 μL·L-1, while the lower limit of other gases is 1~5 μL·L-1. It fully meets the application requirements of a series of trace multi-component gas detection applications, including double carbon monitoring of greenhouse gases, exhaled gas detection and diagnosis of exhaled breath.
多组分痕量气体检测技术凭借其高效、 便捷、 非接触式以及检测精度高等特点, 在医疗、 环保、 工业和国防军事领域具有极大的应用价值[1, 2]。 目前研究较多的基于红外光谱吸收技术的多组分气体探测技术主要包括了非色散红外(non-dispersive infrared, NDIR)技术[3, 4, 5, 6]以及分光的傅里叶红外光谱(Fourier transform infrared spectroscopy, FTIR)技术[7]与光声光谱技术。 其中, NDIR技术测试范围广泛但是精度普遍不高(检测下限普遍在100 μ L· L-1以上), 而傅里叶红外光谱仪和光声光谱仪测试精度比较高, 但是受限于成本、 体积和可扩展性, 主要应用于实验室级别的生化标定和表征工作。 而采用低成本分布式反馈(distributed feed back, DFB)激光器的可调谐激光吸收光谱法(TDLAS)由Hinkley和Reid等提出[8], 配合长光程气室和基于波长调制光谱技术(wavelength modulation spectroscopy, WMS)的信号调谐方法可以实现高精度的痕量气体检测, 并迅速完成了大规模的商业应用。 当在多组分TDLAS气体检测方面, 依然存在着激光器调控复杂、 多波长DFB激光器性能波动大、 探测-传感系统集成度低等一系列亟待解决的工程难题。 2016年吉林大学何启欣等[9]开发了基于TDLAS-WMS技术的乙烯与甲烷的多组分气体浓度检测系统, 2019年Jiang等[10]采用现场可编程逻辑阵列作为控制核心利用时分复用的方法驱动寻址多波长的DFB激光器, 实现了甲烷、 乙烷、 乙炔、 乙烯多组分气体的高精度测试。 2020年聊城大学的张浩等采用频分复用的光声光谱检测技术实现了四种气体的同时检测。
现阶段对于多组分气体的测量方法一般采用宽光谱红外气体探测与TDLAS气体检测技术[11], 而TDLAS气体检测技术又可分为前述的传统的时分复用(time division multiplexing, TDM)图1(b)所示和频分复用(frequency division multiplexing, FDM)图1(c)气体检测方法。 但上述方法中宽光谱气体检测技术精度较低, 一般气体检测下限只能达到几十μ L· L-1。 而TDLAS技术可以将气体的检测下限提高到nL· L-1级, 但传统的TDM方法测试多组分气体的总耗时过长, 且激光器切换太过于频繁时, 造成激光器寿命下降, 不仅影响激光器系统DFB激光器(需要驱动等待1~2 s达到理想工作状态)的中心波长精度, 并且造成系统测试速度难以进一步提升。 FDM方法测试识别多组分气体时耗时相对于TDM较短, 且激光器不必频繁切换。 因此, 激光器的工作性能相比于TDM也更稳定。 但是FDM方法使用的锁相放大器电路过多, 每检测一种气体成分就需要在系统中增加一套频率不同的锁相模块用于不同正交频率的激光器输出信号的解调, 这样会大大增加系统的体积与设计成本。 为了进一步改进多组分痕量气体检测系统, 本文利用静电电压对微机电法珀干涉仪(micro electromechanical system fabry-perot interferometer, MEMS-FPI)片上光谱传感芯片的探测波长进行控制, 实现滤波和寻址。 实现了在不同波长DFB红外激光入射下的TDLAS-WMS痕量气体检测。 该系统不再需要切换多路激光器, 也不必增加额外的锁相模块, 精准地进行激光信号采集和WMS解调。 使多组分痕量气体检测系统兼具低检测下限、 多光谱识别、 激光器稳定运行以及低噪声信号采集等一系列优势, 为TDLAS技术未来在呼气代谢痕量检测、 双碳背景下的温室气体监控等潜在应用领域的大规模推广和发展打下了坚实的基础。
最终该系统将多通道DFB激光器与高集成度的MEMS-FPI片上光谱芯片相结合, 对甲烷、 二氧化碳等气体实现了痕量级别的气体成分和浓度的识别。 在1 500~1 800 nm区域(包含了甲烷, 二氧化碳, 硫化氢, 乙烯等特征峰)完成了光谱识别, 并使用WMS技术进一步降低了气体检测下限(其中甲烷检测下限达到0.2 μ L· L-1、 乙烯达到1 μ L· L-1)。
为提升本系统对被测气体成分的检测精度, 采用多组DFB激光器作为光源, 利用其激光线宽远小于气体吸收谱线宽的特点减少被测气体之间的互相干扰问题。 同时采用平衡差分技术, 配合MEMS-FPI光谱传感芯片, 减少激光器光强不稳定以及传感器系统在不同峰值透射波段下信号强度变化等因素对精度带来的影响。 最后为进一步提升系统检测精度, 采用TDLAS-WMS技术, 得到二次谐波信号与浓度之间的线性关系[12, 13]。
1.1.1 MEMS-FPI片上光谱芯片的检测原理
使用分光器将红外激光分为两束光强相同的光信号, 根据朗伯-比尔定律, 经由气室的光强为
式(1)中, I0为经由分光器后的一束光强, c为被测气体浓度。 L为气室中气体的吸收光程, α (t)为被测气体吸收系数。
经由光纤衰减器的光强为
式(2)中, n为光衰减器系数, m为光强调制系数。
使用平衡差分技术将两路MEMS-FPI光谱传感芯片采集的光信号进行相减, 在相同峰值透射波长下信号强度为
式(3)中, A为MEMS可调滤波器在不同峰值透射波长下的信号转换系数, 通过改变系数n, 令n=1时。 当mu(t)≪1时, 公式可表示为
1.1.2 基于MEMS-FPI片上光谱芯片的WMS技术
利用WMS技术, 得到光谱传感器在不同峰值透射波长下的调制信号, 再通过傅里叶变换得到的二次谐波信号S(t)为
式(5)中, Tcos和ω cos分别为余弦信号的周期与角频率, k=I0AL。 令
从式(6)可以看出, 气体浓度与二次谐波信号的峰值成线性比例关系。
通过HITRAN数据库可得不同气体的吸收谱线与谱线强度, 依据本系统所需的气体标志物得到的吸收谱线如表1所示。 一般情况下可调谐激光器包含的波长范围为2~3 nm。 实现多组分的气体检测需要采用多个可调谐DFB激光器, 由表1可知, H2S、 CO2吸收谱线都在1 578~1 580 nm内, 可使用一种DFB激光器实现三种气体的检测。 依据气体检测原理, 系统采用1 543、 1 579、 1 626、 1 653、 1 690与1 742 nm DFB激光器作为检测光源, 系统结构如图1(a)所示通过采用六种DFB激光器既可以实现七种气体的痕量检测, 满足多组分痕量气体检测的要求。
| 表1 多组分气体的吸收谱线 Table 1 Absorption lines of multicomponent gases |
为实现多组分痕量气体检测, 系统使用多路DFB激光器作为光源, 通过对激光器的驱动电流与温度等参数的调控[14], 实现对DFB激光器输出的红外激光波长改变与调制, 能够在一定的调控范围下得到特定波段红外激光信号。 保持激光器温度25 ℃不变, 调控输入电流, 得到的光强信号如图2(e)所示。 由于系统采用WMS技术, 使用5 Hz的锯齿波叠加5 kHz的高频正弦波信号作为激光器驱动信号如图2(c)所示, 为使激光器信号与对应峰值传输波长的光谱传感器同相, 系统采用多路自适应同步技术, 配合光谱传感器的寻址与滤波功能, 选择对应激光器的同步信号, 使二次谐波信号正常解调输出。
由图2可知, 激光器模块由DFB激光器、 高频调制DFB激光器驱动与TEC温控模块构成, 通过在不同波段激光器运行条件下, 利用DFB激光驱动电路实现工作电流的扫描(40~100 mA)及其高频调制。 如图2(e)的波长扫描曲线可知, 本系统实现了六个不同波长激光器的波段调谐, 在1 543~1 742 nm波段下, 它们的调谐波长带宽分别为(3、 2、 2.6、 3.8、 2.7和2.3 nm)。
本光谱传感系统基于MEMS-FPI原理的可调滤波器, 采用自研传感器控制模块实现光谱传感器系统的波长调谐功能。 图3(a)为光谱传感器内部封装结构, 包括带通滤波片、 可调滤波器、 光电传感器以及温敏电阻, 其中可调滤波器通过外部DAC模块[如图3(b)]调节驱动电压实现传感器系统峰值透射波长的改变, 实现对于特定波长红外激光信号的寻址与滤波。 采集模块采用平衡差分的方法, 将采样气室光路信号与通过光衰减器的光路信号利用图3(d)的减法电路得到差分光谱传感信号, 再由图3(c)的锁相放大模块对当前波段的激光光谱信号进行解调, 提取出二次谐波信号进行分析。
| 图3 (a)光谱传感器内部封装结构; (b)可调滤波器驱动; (c)锁相放大器模块; (d)差分减法电路Fig.3 (a) MEMS sensor system structure; (b) tunable filter drive; (c) lock-in amplifier module; (d) differential subtraction circuit |
如图4所示, 光谱传感器中可调滤波器的峰值透射波长由传感器驱动电压以及传感器温度决定[15]。 将实验温度设定为25 ℃, 通过峰值透射波长-传感器电压测量实验, 发现MEMS-FPI光谱传感器的峰值透射波长与驱动电压呈近似反比关系[图4(a)]。 将峰值透射波长分别设定为1 543、 1 579、 1 653与1 742 nm, 再将调节传感器温度在15~35 ℃之间调节, 测量的峰值透射波长变化如图4(b)所示。 保持温度恒定为25 ℃, 将峰值透射波长设定为1 620~1 640 nm, 使用恒定光强的宽光谱激光器测得的光谱曲线如图4(c)所示。 调控并确定驱动电压, 我们分别测量了中心透射波长为1 626和1 653 nm的MEMS-FPI光谱芯片, 在中心波长为1 653 nm的DFB激光器光谱扫描下(1 651~1 655 nm), 两个不同中心波长的光谱传感芯片测试结果如图4(d)所示, 证明了该系统良好的光谱滤波性能。
由图4(a)和图4(b)可知峰值透过波长与控制电压成反比关系, 而不同的峰值透射波长对传感器测量的光强大小具有一定影响, 且环境温度也会影响传感器的峰值透射波长, 因此采用平衡差分的方法, 消除传感器在不同峰值透射波长下产生的光谱信号差异。 如图4(c)所示, 该MEMS-FPI传感器在中心波长附近有5 nm的峰值探测波长带宽, 显然该5 nm的探测通道能够覆盖前述DFB激光器的调谐波长带宽(< 3.8 nm)。 通过该实验, 证明我们设计的光谱传感器系统与前文自研的多波长激光器之间具备良好的兼容性。
为了实现多组分气体的准确识别与测量, 系统设定有两种检测模式(model1、 model2), 在model1模式下系统可进行单一波段激光信号连续检测, 实现对特定气体成分的准确检测, model2模式下可进行多组分气体快速识别检测, 得到被测气体内气体组分。 以甲烷与二氧化碳作为范例进行气体浓度测试实验, model1模式下被测气体中甲烷气体浓度为500 μ L· L-1, 二氧化碳气体为1 000 μ L· L-1, 设定激光器的温度为25 ℃, 使用5 Hz的锯齿波叠加5 kHz的正弦波信号作为激光器驱动信号。 保持传感器温度为25 ℃, 将MEMS-FPI光谱传感器的峰值透射波长设定为1 653 nm, 通过示波器测量输出的信号。 经过气室光路与光衰减器的两路信号如图5(a)所示。 将传感器的峰值透射波长设为1 578 nm, 测量的两路信号如图5(b)所示。 图5(a)和(b)中红色为经过气室的光信号, 黑色为经过光纤衰减器的光信号。 图5(c)和(d)为两路光信号经过模拟减法电路后得到的差分信号, 差分信号经由锁相放大器解调(施加10 kHz正交信号), 提取出对应的二次谐波信号。 为了检测出二次谐波信号与气体浓度的关系, 系统测量了不同浓度气体的二次谐波信号如图5(e)、 (f)所示, 图5(e)为50~200 μ L· L-1甲烷气体, 图5(f)为200~1 000 μ L· L-1二氧化碳气体。 此外, 通过MEMS-FPI光谱传感器测量的光信号还可以避免非峰值透射波长外的光信号产生的干扰, 保证气体检测系统的精度。 综上, 本系统又利用MEMS-FPI片上光谱芯片的WMS技术, 分别在低频(5 Hz)和高频(5 kHz)端进行谱线扫描。 调制解调后滤去低频分量, 有效减少低频1/f噪声的影响, 相比直接光谱吸收法将检测下限降低了700倍。
系统解调出二次谐波信号后, 为后续进一步分析气体信号, 并为用户提供人机交互(UI)支持或物联网服务, 本系统采用十六位高精度模数转换器(ADC)采集电路和串口模块, 配合虚拟仪器和其他触控终端, 实现了系统数字化。 在model2模式下, 通过光谱传感器的寻址与滤波功能, 测量不同气体对应的二次谐波信号, 可准确识别出气体组分, 如图6(a)所示, model2模式下实现了混合气体二次谐波信号的测量, 其中甲烷浓度为50 μ L· L-1、 二氧化碳为80 μ L· L-1、 乙烯、 硫化氢为60 μ L· L-1、 丙酮为100 μ L· L-1、 氨气、 氯化氢为200 μ L· L-1。 再转换为model1模式长时间测量单一气体(甲烷)二次谐波信号如图6(b)所示。 综上, 系统能够测量混合低浓度气体的二次谐波信号, 并通过模式切换对单一气体进行连续二次谐波信号扫描, 为信号-气体浓度关系曲线反演和拟合提供了准确稳定的数据。
| 图6 数字化的二次谐波信号显示系统 (a): 混合气体检测信号; (b): 50 μ L· L-1甲烷气体检测信号Fig.6 Digital second harmonic signal display system (a): Mixed gas detection signal; (b): 50 μ L· L-1 methane gas detection signal |
由气体检测原理可知, 二次谐波信号与气体浓度为线性比例关系, 为拟合出二次谐波信号与气体浓度之间的关系, 我们对系统进行了气体浓度标定实验。 进行气体浓度检测前先通入氮气进行清洗, 清洗5 min去除气室中的残留气体, 之后通入已知浓度标准气体, 确保标气已完全充满气室后进行测量。 使用MEMS-FPI片上光谱芯片快速寻址(2 s以内)不同波段的DFB激光光谱信号后, 提取出对应的二次谐波信号, 并用二次谐波信号的最高点与最低点之间的差值作为二次谐波信号的幅值。 将各个气体成分浓度与二次谐波信号进行拟合, 拟合后的数据如图7所示。 各标志物气体的拟合公式与拟合度为:
NH3: y=0.004 12c+0.053, R2=0.998
CO2: y=0.001 1c+0.152, R2=0.997 1
H2S: y=0.005 7c+0.022, R2=0.998 6
CH4: y=0.009 32c+0.037 4, R2=0.999 2
C2H4: y=0.006 7c+0.042 6, R2=0.999
HCl: y=0.003 62c+0.061, R2=0.993
CH3OCH3: y=0.002 95c+0.137, R2=0.998 3
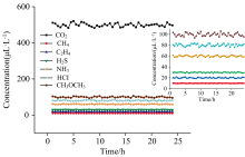
为了验证系统长时间运行的稳定性, 选用不同浓度的气体配成混合气体, 每30 min取一次测量数据, 连续测量24 h, 其测量的结果如图8所示。 二氧化碳的检测下限为10 μ L· L-1, 丙酮的检测下限为2 μ L· L-1, 乙烯、 硫化氢的检测下限为1 μ L· L-1, 甲烷的的检测下限为0.2 μ L· L-1, 氨气的检测下限为5 μ L· L-1, 氯化氢的检测下限为4 μ L· L-1。 经过24 h长时间检测, 系统运行稳定, 气体浓度检测结果未发生明显波动。
研制了一种多组分痕量气体检测装置, 利用MEMS-FPI光谱传感芯片的寻址与滤波功能, 可以实现对于八种气体标志物的痕量检测:
(1)采用多波长TDLAS技术, 利用可调谐的DFB激光器扫描气体吸收中心谱线附近的波长, 不再切换激光器直接寻找气体光谱吸收峰, 在(1 543~1 742 nm)波段稳定实现了六个中心波长不同的激光器调谐。
(2)采用MEMS-FPI片上光谱传感芯片, 有效消除不同波段之间红外光信号的互相干扰, 配合多通道DFB激光器与平衡差分技术可进一步提高气体检测精度, 完成了多波长激光信号的快速寻址和测试(2 s以内)。
(3)采用高速的WMS技术, 消除低频1/f噪声, 最终使本系统相较于宽光谱直接测量法检测下限降低约700倍。 经由实验表明, 本系统对甲烷的测量下限可达到0.2 μ L· L-1, 二氧化碳的检测下限为10 μ L· L-1, 丙酮的检测下限为2 μ L· L-1, 乙烯、 硫化氢的检测下限为1 μ L· L-1, 氨气的检测下限为5 μ L· L-1, 氯化氢的检测下限为4 μ L· L-1。
可见本系统多组分气体的检测下限达到痕量级别, 在例如双碳背景下的低浓度温室气体监测、 工业生产与仓储车间危化气体巡检和人体呼出气体检测与医疗诊断等领域, 该多组分痕量气体检测装置具备极大的应用价值。
| [1] |
|
| [2] |
|
| [3] |
|
| [4] |
|
| [5] |
|
| [6] |
|
| [7] |
|
| [8] |
|
| [9] |
|
| [10] |
|
| [11] |
|
| [12] |
|
| [13] |
|
| [14] |
|
| [15] |
|

