作者简介: 孙帮勇, 1980年生, 西安理工大学印刷包装与数字媒体学院教授, 中国科学院西安光学精密机械研究所光谱成像技术重点实验室特聘研究员 e-mail: sunbangyong@xaut.edu.cn
水资源是生态环境核心要素之一, 目前大量的水域被工业化污染或富营养化破坏, 因此实时监测水质参数对于维护水体健康至关重要。 传统水质监测多利用实地采样测量法或基于线性回归预测法, 由于遥感图像与水质参数之间显著的非线性特征, 传统方法费时费力且预测精度不高。 深度学习方法在处理复杂非线性问题中表现出良好性能, 已被多位学者应用到水质参数反演中。 基于深度学习的水质反演模型仍存在解析遥感光谱图像特征不精确、 模型泛化能力差等问题。 提出一种基于多尺度注意力融合机制的水质反演网络模型, 能够采用遥感光谱图像准确预测出叶绿素a等水质参数, 为水域健康程度评价提供依据。 该网络融合了先进的注意力机制和特征融合策略, 通过结合CNN的局部特征学习优势和Transformer的全局特征提取能力, 引入了DenseASPP模块来获取遥感图像的多尺度特征, 并采用通道注意力解码器模块和池化融合模块来提取细节特征。 通过融合不同尺度和层次的特征信息对叶绿素a浓度进行估计, 获得了较高的反演精度和泛化性能。 为验证所提出反演模型的性能, 实验在Python3.7和PyTorch框架下对模型进行实现, 并选择2021年1月至2022年12月的海洋遥感光谱图像和叶绿素a浓度数据进行网络训练。 实验对所提出的方法与其他7种水质反演方法进行对比, 客观指标所提出方法均达到了最好的性能, 较对比方法中最好的在 R2指标上提高了0.09, 在RMSE、 MAE、 MAD指标上分别降低了11.99、 0.089、 0.029, 在 Evar指标上提高了0.098, 在NSE指标上提高了0.041; 在主观评价上, 所提出方法获得的叶绿素a浓度更精确, 误差更小, 不同水域中表现的泛化能力更强。
Water resources are one of the core elements of the ecological environment, and there is currently a large number of water bodies being polluted by industrialization or nutrient enrichment, making real-time monitoring of water quality parameters crucial for maintaining the health of water bodies. Traditional water quality monitoring methods often use on-site sampling measurement or linear regression prediction methods. Still, due to the significant non-linear characteristics of water quality parameters, traditional water quality monitoring methods are time-consuming and inaccurate in their predictions. In recent years, deep learning methods have shown good performance in dealing with complex non-linear problems and have been applied by many scholars to the inverse estimation of water quality parameters. However, water quality inversion models based on deep learning still suffer from inaccurate analysis of remote sensing spectral images and poor model generalization capabilities. Therefore, this paper proposes a water quality inversion network model based on a multiscale attention fusion mechanism, which can accurately predict water quality parameters such as chlorophyll-a, providing a basis for assessing the health of water bodies. The network integrates advanced attention mechanisms and feature fusion strategies, combining the advantages of local feature learning from CNN and global feature extraction capabilities from Transformer to construct a Dense ASPP module for obtaining multiscale features of remote sensing images. It uses a channel attention decoder and pooling fusion modules to extract detailed features. Then, it estimates the concentration of chlorophyll-a by fusing different scales and levels of feature information, achieving higher inversion accuracy and generalization performance. To validate the performance of the proposed inversion model, experiments were implemented in Python 3.7 and the PyTorch framework, using ocean remote sensing spectral images and chlorophyll-a concentration data from January 2021 to December 2022 for network training. The experiment compares the proposed method with seven other water quality inversion methods, achieving the best performance in all objective indicators. It improves the R2 index by 0.09 compared to the best method in the comparison, and reduces the RMSE, MAE and MAD indices by 11.99, 0.089, and 0.029, respectively, and improves the Evar index by 0.098, and the NSE index by 0.041. Meanwhile, in subjective evaluation, the proposed method obtains more precise chlorophyll-a concentrations, smaller errors, and higher generalization ability in different waters.
随着工业化的快速发展, 水污染已成为影响生态环境的最严重问题之一, 严重威胁人类健康, 不仅对人类生存造成了极大危害, 同时还影响动植物繁衍和水体环境进化[1]。 在导致水污染的诸多因素中, 水体富营养化是现阶段较为突出的问题, 主要表现为藻类物质大量增长形成赤潮、 绿潮等, 导致水生态系统物种分布失衡[2]。 动态监测水环境并科学治理水体污染, 已成为近年来的研究热点。
水质监测是采用特定传感器或图像反演技术获得某自然物质或人工污染物质的含量, 判断水体的健康程度。 水质监测方法主要包括直接测量和遥感监测法。 直接测量法通过水体采样, 化学分析、 物理测量和生物检测等来评估水质。 虽然该方法精度较高, 但监测区域有限、 费时费力, 无法实现动态监测。 遥感监测法是一种间接测量方法, 采用遥感图像进行参数反演, 具有尺度大、 覆盖范围广、 成本低等优势, 已成为水质监测和分析的主要手段[3]。
遥感监测法可分为传统方法和深度方法。 传统方法包括分析法、 半分析法、 经验法, 通过建立数学模型关联水体反射光谱与水质参数。 分析法基于物理、 化学原理和理论模型构建; 半分析法结合理论基础和实测数据建立模型; 经验法则是通过大量参数数据与遥感光谱数据的统计回归分析建立关系。 一些简化的模型或初步的数据处理会采用线性回归来分析光谱数据与水质参数之间的关系。 水质参数与光谱数据之间的关系通常非线性, 因此传统遥感监测方法有一定的局限性。 近年来, 由于深度学习处理非线性问题的优势, 提出多种深度学习水质参数反演模型, 极大提高了水质反演精度。 Cao等[4]以滇池为研究对象, 针对化学需氧量、 氨氮等参数, 结合Landsat 8数据和实测数据构建反演模型, 反演结果与研究区域污染物浓度整体情况相符。 张贻婷等[5]采用长短时记忆网络(LSTM)对广州市白坭河水质进行预测, 对比了不同输入变量下的预测效果。 Pyo等[6]针对传统神经网络训练速度慢、 收敛精度低等问题, 改进了卷积神经网络并结合不同输入窗口的策略, 有效预测了叶绿素a的浓度。 研究以上基于深度学习的方法发现, 深度学习较传统方法显著提高了预测精度, 但仍存在不足, (1)针对特定的复杂水体环境或多变的水下光照条件, 所获取的遥感光谱图像解析难度大, 现有深度学习网络在提取和解释遥感图像细微特征变化时性能不足; (2)深度学习的反演模型需要大量的数据进行训练, 然而某些特定区域仍存在遥感成像或标定数据困难等问题, 导致现有深度学习反演网络的泛化能力不高。
针对上述问题, 考虑到Transformer在处理序列数据和全局特征提取的优势, 采用Transformer和卷积神经网络(convolutional neural networks, CNN), 构建了一个多尺度注意力融合网络(multiscale attention fusion network, MAFNet), 具有反演精度高、 泛化能力强等特点。 在提取图像特征时, 该网络不仅具有CNN在局部特征学习上的优势, 还引入Transformer结构增强了网络的全局特征提取能力。 引入密集空洞金字塔池化模块(dense atrous spatial pyramid pooling, DenseASPP), 提升了多尺度空间信息的处理和分析能力。 在网络训练阶段, 选择反映水体富营养化程度的关键指标— 叶绿素a, 作为反演目标。 训练后的MAFNet网络准确建立了遥感图像光谱信息、 地物纹理结构等特征与水质参数的映射关系, 实现了叶绿素a浓度的快速和精确反演。
国内外学者采用遥感监测技术, 构建了多种针对特定水域的水质反演模型, 总体分为经验法、 分析法和半分析法[7]。
分析法基于辐射传输理论, 通过采集水样进行生物化学分析, 获得水质参数的生物光学模型。 田建林等[8]以辐射传输理论和水体消光作用, 建立了叶绿素a、 总悬浮物的定量遥感反演模型; Hoge等[9]利用固有光学性质(IOPs)的线性可加性, 建立了矩阵方程, 通过矩阵求逆获得了叶绿素、 有色可溶性有机物质吸收系数, 实现了叶绿素和有色可溶性有机物质浓度的预测。 分析法是一种基于理论的水质参数反演方法, 实际该方法建模难度大, 过程繁琐且需要特定的仪器支持。
经验法基于统计学和机器学习算法, 能够采用遥感数据估计出水质参数值。 O'Reilly等[10]采用多个海洋水质数据, 开发出蓝绿波段比值的叶绿素a浓度反演算法OCx, 进一步考虑紫外波段, 提出了OC5和OC6。 Mishra等[11]根据665 nm的吸收谷和708 nm反射峰提出归一化叶绿素a指数法和二次多项式反演算法, 获得了较高的近海岸叶绿素a反演精度。 经验法简单易用, 但缺乏物理机理的支撑, 模型普适性差且建模成本较高, 目前主要用于数据充分的单一水体的水质反演。
半分析法结合了分析法和经验法的特点, 展现出良好的物理解释性和适用性。 冯家成等[12]为解决BP神经网络迭代缓慢且预测误差较大的问题, 引入了Metropolis优化, 提出的MBP模型预测精度高于BP模型。 李傲等[13]采用OC-CCI数据, 基于DINEOF插值在时间和空间尺度上分析了南海高叶绿素a浓度水域面积的变化特征。 石绥祥等[14]基于循环神经网络和改进的长短期记忆神经网络模型, 采用任意长度历史信息对叶绿素a浓度进行预测。 半分析法在水质反演中具有较好的物理解释性和适用性, 但建立模型时需要深入了解水质参数的光学特性。
随着深度学习在计算机视觉领域的发展, 推动了水质参数反演方法的革新。 主要的网络结构有基于空间金字塔结构的网络、 多分支网络和编码器-解码器网络。
基于空间金字塔结构的网络, 通过金字塔结构来获取不同尺度的语义信息。 DeepLab网络[15]提出了空洞金字塔池化(atrous spatial pyramid pooling, ASPP)模块, 采用不同扩展率的卷积层增加感受野。 DenseASPP模块在此基础上, 通过引入密集连接优化了金字塔结构, 使其更适应于高分辨率图像, 扩大了网络的感受野。 空间金字塔的分层结构会引入大量的参数, 增加了模型复杂度, 会导致过拟合。
多分支网络将输入图像发送到多个分支, 每个分支具有不同的输出分辨率。 例如, Fast-SCNN(fast semantic segmentation network)网络, 通过结合多个分支的浅层特征减少高分辨率输出分支的计算量。 虽然多分支网络能提取丰富的特征信息, 但运算复杂度高, 通常需要专业的数据预处理。
编码器-解码器网络通过编码器将高维特征图转为低维特征, 再用解码器从低维特征表示中恢复高分辨率输出。 同层次的特征图具有不同的分辨率, 能够捕获不同尺度的语义信息。 例如, 全卷积网络(fully convolutional network, FCN)通过跳层连接来融合高低维特征。 U-Net[16]提出了更高效的跳层连接结构, 以更高的精度实现不同特征映射的融合。 编码器-解码器网络注重全局特征的表达, 对于复杂形状或结构的细节信息, 特征提取精度不高。
近几年计算机视觉领域提出的Transformer在全局信息建模和并行计算方面表现。 Transformer通过自注意力机制, 能够捕捉图像中各部分的依赖关系, 更好地理解全局语义信息, 并高效处理大规模数据。 本研究将Transformer引入到水质参数反演网络中, 通过提取遥感图像的光谱和深层特征信息, 精确建立了遥感数据与叶绿素a浓度之间的复杂非线性关系, 能够获得准确的水质反演参数。
如图1所示, 提出了一种基于多尺度注意力融合机制的水质反演网络, 利用遥感光谱图像准确预测出叶绿素a浓度。 该网络引入先进的注意力机制和特征融合策略, 建立了光谱纹理特征与叶绿素a浓度的映射关系。 在编码器部分, 通过结合CNN和Transformer准确提取了图像中的局部和全局特征。 针对传统的ASPP模块易丢失关键信息的问题, 引入了DenseASPP模块来获得多尺度特征, 有效捕捉了图像的局部和全局特征, 同时避免了冗余信息和特征丢失。 在解码器部分, 提出了通道注意力解码器模块(channel attention module decoder, CAMD), 并引入了池化融合模块(pooling fusion module, PFM), 丰富了网络的特征表达。 最终, 在网络的数据输出部分, 设计了一个融合模块(fusion module, FM)融合不同尺度和层次的特征信息, 实现了更加稳定和准确的叶绿素a浓度估计。
如图2所示, 编码部分采用CNN与Transformer的混合结构, 提高了特征提取能力。 相比常见的CNN与Transformer混合结构, 引入了DenseASPP和改进Transformer模块来提高特征提取和深度处理能力。 DenseASPP模块通过不同空洞率的卷积提取多尺度信息, 获得了丰富的文章特征; Transformer模块则通过引入卷集群扩展多头自注意力机制, 建立全局依赖关系, 增强模型对全局上下文信息的理解能力。 这两个模块的结合实现了局部与全局特征的融合, 提升了模型对遥感图像特征提取的准确与全面性。
针对遥感图像水体参数反演任务, 所设计的编码器能有效提取遥感图像中的关键信息。 如图2所示, 在编码过程中, 首先采用ResNet-50卷积对输入的遥感图像进行初始的特征提取, 将每个patch平面化为一维向量, 通过线性投影生成一系列patch embedding, 保留了图像的低维语义信息。
引入了卷积群来扩展多头注意力模块的结构, 有效结合了局部和全局的特征信息, 如图3所示。 增加了一个卷积群分支, 专注于提取图像的局部特征, 同时保留了Transformer的自注意力机制, 以便作为全局特征提取的分支。 编码器还采用批归一化方法来解决Transformer训练中的变量移位问题, 能够加快模型的收敛速度, 有助于解决过拟合问题。
解码器主要用于处理编码器所提取的特征, 通过解码和融合这些特征, 最终得出叶绿素a浓度的反演值。 解码器接收来自编码器的高低维特征图, 经过特征融合、 上采样与卷积运算的处理, 再采用通道注意力模块对特征进行进一步的处理和筛选。 最后经过特征重定义, 解码器输出叶绿素a浓度的反演结果。 在解码器结构中, 本创新点主要为池化融合模块(PFM)以及PFM模块与通道注意力解码器模块的结合, 建立了通道注意力解码器(CAMD), 如图4所示。 该模块能够自适应地调整不同通道的权重, 使得网络在反演过程中更关注对反演任务有利的特征, 而抑制无关或噪声较大的特征。 不仅丰富了网络的特征表达能力, 还使网络在解码过程中能够更精确地利用多尺度信息, 从而提高了反演结果的准确性和鲁棒性。
采用上采样操作和3× 3卷积运算, 优化和统一了特征图的分辨率与通道数。 不仅有助于恢复特征图的空间信息, 还能通过卷积运算进一步提取和整合特征, 从而提升反演结果的准确性。
引入了池化融合模块(PFM), 强调和过滤底层特征信息中的关键高维特征与背景信息。 如图5所示, 通过池化操作, 能够融合不同尺度和层次的特征信息, 更全面地捕捉图像的局部和全局特征。 这种结构不仅有助于捕捉现场环境上下文信息, 还确保了原有空间信息的完整性, 为后续的叶绿素a浓度反演提供了更为准确和稳定的特征基础。
PFM模块采用平均池化层对高维特征图进行优化处理, 以获取通道关注向量。 为了统一高维和低维特征映射的通道数量, 模块采用1× 1卷积层编码器, 采用每个通道的权重向量进行操作。 从高维的语义特征中提取出局部注意力特征图Zc, 其具体的计算方式如式(1)所述:
式(1)中, hp、 wp表示平均池化操作的窗口大小, xc表示c通道的一个像素。
设定高维特征图为Zh, 基于移动翻转瓶颈卷积运算生成新的低维特征图Ml为
式(2)中, σ 和δ 分别代表sigmoid和ReLU函数, Fu是上采样操作。 采用降维比r调整通道数, 以便匹配Hl、 Hr的特征维度。 为了强调低维特征的重要性, 增加了残差设计
式(3)中, Xl是上采样操作, B为最终融合高维、 低维特征的特征图。
选取了2021年1月至2022年12月的遥感光谱和叶绿素a浓度数据对所提出的方法进行验证。 其中光谱数据来自美国国家航空航天局(NASA)的VIIRS Level 3的遥感反射率数据, 叶绿素a数据来源于欧洲航天局(ESA)发布的OC-CCI5.0版月平均海洋数据。 在Pytorch框架下, 实验数据按照8:2划分为训练集、 测试集。 为提高计算效率, 图像按432× 432尺寸进行裁剪, 其中训练图像3 840幅, 验证图像960幅。 网络训练中, 损失函数设置为交叉熵损失, 优化器为adam, 初始学习率设置为0.001。
实验选用决定系数(R2)、 均方根误差(RMSE)、 平均绝对误差(MAE)、 平均绝对偏差(MAD)、 可解释方差(Evar)和纳什效率系数(NSE)评价反演模型性能。 R2范围为0~1, 其值越大, 模型的预测精度越高。 RMSE、 MAE、 MAD值越小, 表示模型的预测精度越高。 Evar范围为0~1, 其值越接近1, 表示模型对数据变化的解释能力越强, 预测效果越好。 NSE取值为-∞ ~1, 越接近1, 表示模型的质量越好, 可信度越高。 计算公式如式(4)— 式(9)
式(4)— 式(9)中, yi为水质参数浓度的实测值;
海洋遥感光谱数据冗余量大, 通过数据预处理提取其中的关键光谱数据进行水质反演, 可以提高反演精度和计算效率。 对水质参数浓度变化较为敏感的光谱数据可定义为反演因子, 因此反演因子的数据选择对于提高反演精度具有重要意义。 采用皮尔森相关系数法[17], 对各波段数据与实测水质数据进行相关性分析, 在高相关系数条件下确定反演因子数据, 如式(10)所示。
式(10)中, r为相关系数, n为样本数目, X为水质反演因子, Y为水质参数。
各波段与叶绿素a的相关性计算结果, 如图6(a, b)所示, 在VIIRS的四个可见光波段410、 486、 551和671 nm中, 486、 551和671 nm的遥感反射率数据较适合作为反演因子数据。 VIIRS数据的原始遥感反射率通常在-0.01~0.1之间, 为提高模型训练效率和稳定性, 实验将负值数据设置为0, 进行了归一化处理。
| 图6 皮尔森相关性分析 (a): 波段间相关性分析热力图; (b): 波段-叶绿素a相关分析Fig.6 Pearson correlation analysis (a): Thermal map analysis of correlation between bands; (b): Correlation analysis between band and chlorophyll a |
为验证皮尔森相关系数法在选取波段上的有效性和优越性, 将该方法与几种常用的波段选取方法进行了对比, 具体对比方法及结果如表1所示。 Green为遥感影像的绿光波段, MIR为中红外波段, NIR为中外波段, Blue为蓝光波段, SWIR为红热波段。
| 表1 不同方法与波段组合间的相关性指数 Table 1 Correlation index between different methods and band combinations |
表1中, 皮尔森相关系数法在波段选取上表现出更高的有效性和优越性, 因其基于统计学的原理客观地评估不同波段或波段组合与水质参数之间的相关性, 并据此选择出最优的波段组合进行水质参数反演, 从而提高水质参数反演的精度。
为验证所提方法的反演性能, 实验对比了其他7种主流的反演模型, 如表2所示, 对所有模型进行了定量分析。 相比于目前反演精度较好的DeepLabV3+模型, 提出的方法在R2指标上提高了0.09, 在RMSE、 MAE、 MAD指标上分别降低了11.99、 0.089、 0.029, 在Evar指标上提高了0.098, 在NSE指标上提高了0.041。 所提方法在各指标均表现最好, 综合考虑这六种客观指标, 进一步证明了本方法的优越性。
| 表2 反演误差分析 Table 2 Analysis of inversion error |
由表2看出, 各模型的精度差异较大。 RF方法依赖多个决策树来提高性能, 但稳定性和鲁棒性受限, 易受不同样本数据波动影响。 XGB方法虽然提升了反演精度, 却难以全面捕捉叶绿素a与遥感数据复杂的非线性关系, 数据预处理、 参数设置等过程存在不足, 导致误差仍然较大。 GRU方法的反演效果不佳, 主要因此方法对复杂水环境因素的适应性较差, 易受到水体中其他悬浮物、 光照条件等干扰, 导致反演结果不准确。 CNN模型由于其网络结果简单, 特征提取和学习能力有限, 反演精度和误差表现不理想。 Unet方法虽然提升了反演精度, 但在小物体和边缘的分割上处理不佳, 泛化能力受限, 其误差仍然偏大。 DeepLabV3+相较之前的方法在反演精度上有较大的提升, 但在特征提取, 上下文信息捕获方面以及特征融合有待加强, 特别是在处理边界信息时易丢失。 ASPP-MAFNet方法通过引入ASPP模块提高反演精度, 但存在计算量大、 对空洞率设置敏感的问题, 可能导致性能波动和计算资源消耗过多。 同时, 该方法在注重全局信息时可能忽视局部细节, 导致边界信息损失, 泛化能力有限。 相比本研究通过引入DenseASPP模块, 有效捕获了图像的局部和全局特征, 避免了冗余信息和特征丢失。 在解码器部分, 提出的CAMD模块和PFM模块进一步丰富了网络的特征表达。 设计的融合模块能高效处理不同尺度和层次的特征信息, 实现了更加稳定和准确的叶绿素a浓度估计。 这些创新性的设计使所提方法在反演叶绿素a时展现出了优越的性能。
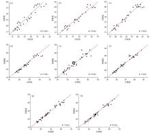
为全面验证所提方法的有效性, 从以下三方面进行了对比分析: 叶绿素a反演的拟合度、 各方法的主观反演效果以及反演误差分析。 如图7、 图8、 图9所示, 这些分析提供了全面而细致的评估框架, 进一步证明了所提方法的优异性能。
为了直观展现各方法反演精度的差异, 绘制了叶绿素a反演结果的线性拟合图, 如图7(a— h)所示。 图中横轴表示实际浓度, 纵轴表示预测浓度。 中间的红色四十五度线代表预测值与实际值完全一致的状态, 当散点紧密围绕在这条红线周围时, 表示该方法具有较高的精度和准确性。 相比可以明显看到本方法在拟合度上的优越性, 进一步验证了本方法在叶绿素a浓度反演的有效性。
为了验证所提方法的有效性, 选取5个不同的水体区域, 与7种反演方法进行对比, 如图8所示, 其中(a)代表真实的叶绿素a浓度, (b)— (i)为不同方法反演的浓度。 对比结果可以看出, 所提方法[图8(i)]在反演过程中能更好地保留图像的细节信息, 特别是在叶绿素a浓度变化的区域, 边界清晰且过渡自然, 与真实值[图8(a)]的吻合度更高。 表明本方法在特征提取和融合过程中有效地保留了关键信息, 减少了信息的丢失。 视觉上本研究所提方法的反演结果图[图8(i)]在色彩分布、 纹理特征等与真实值图[图8(a)]更为接近, 使得反演结果更加直观与可信。
绘制了误差热图, 用于评估各方法在叶绿素a浓度反演中的性能。 如图9(a— h)所示, 直观呈现了各方法与真实值之间的偏差。 图中蓝色区域表示低误差, 而红色区域则表示较高的误差。 所提方法的颜色更接近蓝色, 表示其反演误差整体较小。 证明了该方法在处理复杂水环境、 捕捉叶绿素a浓度与遥感数据之间非线性关系方面的优越性, 进一步验证了所提方法的准确性。
通过消融实验验证了Transformer、 CAMD和FM模块对叶绿素a反演精度的贡献。 如表3所示, 各模块均有效促进叶绿素a反演精度。 尽管Transformer模块在这个水质监测任务中的表现相对较为一般, R2仅提高了0.04。 但结合CAMD模块使用, 有显著的提升效果, R2提高了0.10, 误差降低了9.79。 CAMD模块通过优化特征图, 增强了小尺度目标捕获能力, 对精度提升至关重要。 FM模块结构简洁、 计算量较低, 能增加低维特征图的网络深度, 进一步提升小尺度目标的捕获能力, 通常放置在CAMD模块之后。
| 表3 消融研究的对比结果 Table 3 Comparative results of ablation studies |
水污染已成为影响环境的重要因素之一, 对水质的实时监测具有重要意义。 传统方法多通过实地采样测量或基于线性模型进行预测, 耗时耗力且无法实时全面监测水体。 随着光学遥感和深度学习技术的融合, 采用深度学习和遥感光谱图像进行水质参数反演, 已成为大面积水域监测的主要手段。 现有基于深度学习的方法仍存在一定缺陷, 尤其在解析遥感光谱图像特征、 反演精度和模型泛化能力等存在挑战。 本研究提出一种基于多尺度注意力融合机制的水质反演网络模型, 该网络融合了先进的注意力机制和特征融合策略, 结合CNN的局部特征学习优势和Transformer的全局特征提取能力, 通过DenseASPP模块捕获多尺度特征, 采用通道注意力解码器模块和池化融合模块丰富特征表达, 有效提升了模型的泛化能力和预测精度。 在对2021年1月至2022年12月的海洋遥感光谱和叶绿素a浓度数据进行试验验证时, 所提方法与7种对比算法进行了比较。 结果表明, 所设计的网络模型在主观和客观指标方面均获得了最佳效果; 该模型泛化能力强, 可推广到其他湖泊、 河流等水域的水质监测中, 为水环境保护和治理提供有力的技术支持。
| [1] |
|
| [2] |
|
| [3] |
|
| [4] |
|
| [5] |
|
| [6] |
|
| [7] |
|
| [8] |
|
| [9] |
|
| [10] |
|
| [11] |
|
| [12] |
|
| [13] |
|
| [14] |
|
| [15] |
|
| [16] |
|
| [17] |
|
| [18] |
|
| [19] |
|
| [20] |
|
| [21] |
|
| [22] |
|
| [23] |
|
| [24] |
|
| [25] |
|

