作者简介: 孟永霞, 女, 1994年生, 西安理工大学水利水电学院及西北旱区生态水利国家重点实验室博士研究生e-mail: myxia26@163.com
溶解性有机质(DOM)是反映土壤碳循环及养分循环的重要参数。 描述不同林分类型和土壤深度的DOM成分及组成对理解森林碳循环过程尤为重要。 采用三维荧光激发发射矩阵(EEM)和平行因子分析(PARAFAC)相结合的方法, 分析子午岭林区油松林(YS)和麻栎林(ML)在不同土壤深0~20、 20~60及60~100 cm下DOM的变化规律及其影响因素。 结果表明, ML林地溶解有机碳(DOC)平均含量较高, YS林地较低, 随着土壤深度的变化有显著变化。 采用PARAFAC鉴定出4种荧光组分, 其中C1和C2为类腐殖酸荧光组分, 主要集中在0~20 cm, 而C3和C4为类蛋白质荧光组分, 随土壤深度的增加占比增大。 荧光参数指标表明, 0~20 cm的DOM来源主要以陆源输入为主, 而60~100 cm主要以微生物活动等引起的自生源为主。 通过相关性分析, 发现2种林分DOC与4种土壤酶活性均有显著的相关性, YS土壤中DOC与TN呈显著正相关( p<0.05), 而在ML土壤中, DOC与TP呈极显著正相关( p<0.01)。 偏最小二乘法结构方程模型(PLS-PM)结果表明, 理化性质和土壤酶既可以独立主导DOM, 又可以共同作用影响DOM。 此结果有助于了解子午岭林区油松和麻栎林地土壤DOM的变化规律, 为森林生态系统碳循环提供一定的理论依据。
Dissolved organic matter (DOM) is an important parameter reflecting forest soil’s carbon and nutrient cycles. Therefore, describing the composition and structure of DOM from different forest types and soil depths is particularly important for understanding the forest carbon cycling process. This study used a combined method of three-dimensional fluorescence excitation-emission matrix (EEM) and parallel factor analysis (PARAFAC) to analyze the variation characteristics of DOM in Pinus tabuliformis forest (YS) and Quercus acuteserrata forest (ML) at 0~20, 20~60, and 60~100 cm. The average content of dissolved organic carbon (DOC) was higher in ML forest land, while it was lower in YS forest land and varied significantly with changes in soil depth. Four fluorescent components were identified using PARAFAC, among which C1 and C2 are humic and fulvic acid components, belonging to the humic-like fluorescence component. They are mainly concentrated in the 0~20 cm and gradually decrease with increasing soil depth. C3 and C4 are tryptophan and tyrosine-like components, respectively, belonging to the protein-like fluorescence component, and their proportion increases with increasing soil depth. Fluorescence parameter indices of soil profiles indicated that the dominant source of DOM in the 0~20 cm depth was primarily from terrestrial inputs, while in the 60~100 cm depth, it was mainly derived from autochthonous sources caused by microbial activities. Correlation analysis showed significant correlations between two forest stands’ DOC and four soil enzymes. Additionally, in the YS soil, DOC was significantly positively correlated with TN ( p<0.05), whereas in the ML soil, DOC was highly significantly positively correlated with TP ( p<0.01). The results of the Partial Least Squares Path Modeling (PLS-PM) indicated that both physicochemical properties and soil enzymes could independently dominate DOM and interact to influence DOM. These results contribute to understanding the dynamic characteristics of soil DOM in the soil profile of Pinus tabuliformis and Quercus acuteserrata forests, and their influencing factors. These results contribute to understanding the dynamics of soil DOM in the Ziwuling region’s Pinus tabulaeformis and Quercus acuteserrata forests, providing theoretical insights into carbon cycling in forest ecosystems.
森林衍生的溶解性有机质(dissolved organic matter, DOM)是一类复杂且不均的有机混合体[1]。 森林中的DOM主要来源于有机物降解、 动物和微生物代谢产物、 植物根系分泌物以及凋落物。 由于森林特殊的水文路径, 雨水渗透地表的枯枝落叶层, 对DOM在向下迁移过程中产生显著影响[2]。 不同林分类型也是影响DOM来源的一个重要因素, 例如针叶林中的DOM主要来源于树叶、 树皮和树枝等植物生物质的分解过程; 而阔叶林中的DOM主要来源于叶片腐解和根系分泌物等[3]。 因此描述不同林分类型及土壤深度的DOM成分及组成, 对理解区域的碳循环过程尤为重要。
有研究表明, 土壤微生物和酶的活性通常随着土壤深度增加而下降, 与氧气限制和土壤性质有关[4]。 最近一项使用三维荧光激发发射矩阵(excitation-emission matrix, EEM)与平行因子分析(parallel factor analysis, PARAFAC)的研究发现, 土壤理化性质和微生物代谢及酶活性是影响DOM的重要因素[5]。 Lisa Thieme等研究发现, 不同树种(针叶林、 落叶林和未经管理的山毛榉林)影响DOM成分[6]。 曹佳锐等发现柠条和刺槐有利于积累土壤DOM[7]。 尽管这些结果表明DOM在土壤剖面中的迁移和转化是由植物输入和微生物加工共同作用所致, 但对不同林分土壤剖面的DOM特征了解仍有限。
黄土高原是中国重要的生态安全屏障, 子午岭是其五大林区之一。 林区内主要优势树种为油松(YS)和麻栎(ML), 二者土壤具有明显的差异。 YS树叶通常富含难以分解的纤维素、 半纤维素和木质素等有机物质, 分解慢且易导致土壤酸化[8]。 而ML树叶易腐解, 土壤有机质富集, 能够增加土壤肥力[9]。 因此研究不同林分土壤中DOM的特征对了解该区森林土壤性质和碳循环的影响至关重要。
研究区位于延安市黄陵县双龙国有生态实验林场, 地理坐标为东经108° 45'32″— 109° 1'21″, 北纬35° 33'7″— 35° 49'30″, 为暖温带大陆性季风气候。 土壤属灰褐土地带土壤, 有机质的积累比较丰富, 其钙化与粘化现象不明显, 适宜于林木生长。 主要优势树种包括油松、 栎类、 侧柏、 落叶松、 白桦、 刺槐、 山杨, 等。
2022年10月29日, 在研究区选取代表性的油松和麻栎林地进行土壤剖面采样。 每个样点的土壤剖面按0~20、 20~60及60~100 cm深度分为三个层次。 每层使用螺旋钻采集3个样本, 混合成一个单独样本, 并重复3次, 共获得18个样本。 为防止交叉污染, 这些样本分为两组放入无菌袋中。 一组样品储存于4 ℃冰箱, 用于分析土壤理化性质及DOM光谱特征; 另一组保存在-20 ℃冰箱中用于测定土壤酶活性。
总磷(TP)、 速效磷(AP)及氨氮(N
为揭示DOM的光谱特性及来源特征, 计算荧光指数(fluorescencendex, FI)、 腐殖化指数(humification index, HIX)、 自生源指数(biological index, BIX)、 a(355)及SUVA254, 这些参数用于解析不同土壤剖面中DOM的来源(FI、 HIX、 BIX)、 有色溶解性有机质(chromophoric dissolved organic matter, CDOM)的相对浓度[a(355)]和DOM的芳香程度(SUVA254)[12]。 为了定量分析DOM的组成成分, 使用MATLAB 7.0工具箱中的PARAFAC方法对三维荧光光谱结果进行分析, 通过核一致函数及折半分析验证结果的可靠性。
使用Origin 2021绘图, 在SPSS 22.0进行统计分析。 使用偏最小二乘路径建模(partial least squares path modelling, PLS-PM)确定土壤酶及化学性质对DOM影响, 采用拟合优度指数(goodness of fit, GOF)解释该模型的质量。
两种林型土壤的垂直剖面表现出不同的理化性质(表1)。 TN和N
| 表1 两种林型土壤垂直剖面理化性质特征 Table 1 Characteristics of physicochemical properties in the vertical profile of soil for two types of forests |
研究结果显示(表2), 两种林型土壤中与C循环相关的BG酶随土壤深度的增加而显著降低。 土壤微生物分泌的N和P获取酶主要是NAG、 LAP和ALP酶。 两种林分类型N、 P 循环相关酶活性与C循环相关的酶活性表现出一致的规律。 ML土壤中4种酶活性在不同深度均大于YS土壤, 在0~20 cm呈现最高。
| 表2 两种林型土壤垂直剖面酶活性特征 Table 2 Characteristics of enzymatic activity in the vertical profile of soil for two types of forests |
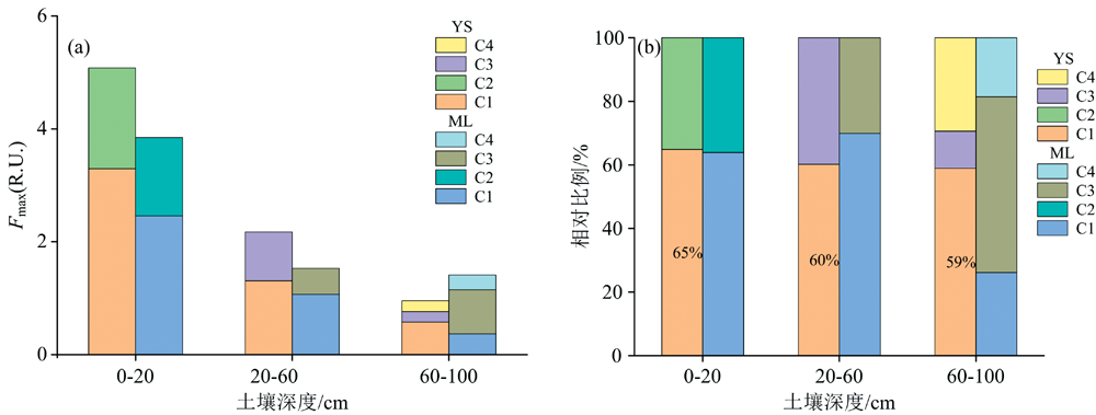
PARAFAC分析显示样品中存在四个组分(图1), C1为腐殖酸类陆源腐殖质, C2为高分子量芳香氨基酸, 类似富里酸, C3为与微生物活动相关的类蛋白质荧光组分, C4为络氨酸类组分。 C1和C2为类腐殖酸荧光组分, C3和C4为类蛋白质荧光组分[14]。 研究发现, 0~20 cm深度只存在C1和C2组分, 20~60 cm深度存在C1和C3组分, 60~100 cm深度同时存在C1、 C3和C4组分。
对比发现, C1和C2的荧光强度随土壤深度增加逐渐减少, 而C3和C4则相反[图2(a)]。 0~20和20~60 cm土层中, 各荧光组分强度均为YS> ML。 采用最大荧光强度(Fmax)计算YS和ML不同剖面的荧光组分占比发现, 图2(b)中0~20 cm的C1组分占比最大, 在20~60 cm土层, 出现C3组分, 占40%和30%。 在60~100 cm深度, C3和C4比例增加, 占41%和74%。 0~20 cm仅有腐殖质组分C1和C2, 主要由于地表凋落物的长期积累为微生物的生长提供物质基础, 有利于土壤腐殖质化, 可有效地促进土壤中类富里酸和类腐殖酸的积累。 随着土壤深度增加, C1占比降低, C3和C4占比增加, 表明微生物贡献增加, 植物残体贡献减弱, 与Ye等的研究结果一致[15]。
荧光参数见表3, 两种林型土壤在0~20和20~60 cm深度的FI值小于1.4, 表明DOM主要来自陆地径流和土壤淋溶。 在60~100 cm土层中, FI值介于1.4~1.9, 显示DOM受到陆源和生物内源的双重影响。 HIX和BIX沿土壤剖面呈现相反趋势, 表明0~20 cm DOM具有较强的腐殖化特征, 而深层土壤DOM则具有更强的自生源特征。 SUVA254值用于评价DOM的芳香性, 结果显示0~20 cm土壤的SUVA254值高于深层, YS土壤的SUVA254值大于ML。 有研究表明, 阔叶林土壤中含有更多脂肪族化合物, 而针叶林则含有更多芳香化合物和羧酸、 烷烃结构, 导致其芳香性指数更高[16], 与本研究结果一致。 两种土壤类型中, 0~20 cm的DOM主要来源于陆源输入, 而60~100 cm的DOM主要来自微生物活动等自生源。
| 表3 YS和ML不同土壤深度的DOM荧光参数 Table 3 DOM fluorescence parameters of different soil depths in YS and ML |
使用Spearman相关性评估土壤环境指标与DOM浓度的关联强度[图3(a, b)], 发现YS土壤中, DOC与TN显著正相关(p< 0.05), 与4种酶活性极显著相关(p< 0.01), 土壤酶活性与TN也显著相关。 在ML土壤中, DOC与TP极显著正相关(p< 0.01), 与各类酶活性呈极显著相关(p< 0.01), 土壤酶指标与TP之间也显著相关。 基于相关性, 采用PLS-SEM模型研究YS和ML林型中土壤深度、 理化性质及酶对DOM的影响[图3(c, d)]。 模型表明, YS土壤中, 与N元素相关的化学性质及酶活性直接影响DOM; ML土壤中, 与P元素相关的化学性质及酶活性直接影响DOM。 土壤化学性质及相关酶对DOM有显著影响, 可能由于不同林型凋落物输入、 酶活性及土壤微生物的差异性导致DOM浓度不同。 YS土壤中N元素对碳分布的调控作用较强, 而ML土壤中P元素是主要影响因素, 可能源于植被类型和土壤母质的差异。 因此应关注YS和ML林分土壤N和P元素的动态, 以增强森林土壤碳汇功能。
DOC含量在ML土壤显著高于YS土壤, 并随土壤深度的增加而显著下降, 可能与不同林型的凋落物产量、 根系分泌物和微生物生物量有关。 土壤酶活性的垂直分布规律与DOC类似。 EEM-PARAFAC鉴定出两种腐殖类成分和两种蛋白质类成分。 荧光参数表明土壤0~20 cm的DOM主要来源于陆源输入, 而60~100 cm的DOM主要来自微生物活动等自生源。 PLS-PM模型发现, YS土壤中N元素及与P循环相关酶活性对碳分布的调控作用较强; 对ML土壤P元素及与P循环相关酶活性是影响DOM的主要因素。 土壤化学性质对DOM的影响还可以通过土壤酶实现。 本研究为土壤酶和化学性质对DOM影响提供了基本见解, 未来研究应持续关注土壤理化性质及土壤酶在不同林分种植模式中与DOM组成成分之间的关系。 应采用各类光谱技术(如FTIR、 13C-NMR和质谱)进一步解析DOM的化学结构和功能特征, 以深入探讨其在陆地生态系统中的变化过程。
| [1] |
|
| [2] |
|
| [3] |
|
| [4] |
|
| [5] |
|
| [6] |
|
| [7] |
|
| [8] |
|
| [9] |
|
| [10] |
|
| [11] |
|
| [12] |
|
| [13] |
|
| [14] |
|
| [15] |
|
| [16] |
|

