作者简介: 徐 妍, 女, 1990年生, 中国科学院过程工程研究所博士后 e-mail: yxu19@ipe.ac.cn
以普通重质碳酸钙(D50≈38 μm)为核相, 通过非均匀形核法在过饱和铝酸钠溶液中构建了CaCO3/Al(OH)3核壳复合材料。 通过X射线衍射(XRD)、 扫描电镜-能谱联用(SEM-EDS)、 傅里叶变换红外光谱(FTIR)、 拉曼光谱(Raman)及X射线光电子能谱(XPS)等多光谱技术, 系统揭示了包覆过程中物相组成、 界面化学态及键合结构的动态演变规律。 实验通过梯度反应时间(2、 12和36 h)调控包覆路径, 结合SEM-EDS截面形貌分析与XRD物相鉴定, 明确了核壳结构的三层模型: 方解石型CaCO3核(≈38 μm)、 C3AH6中间层(300~500 nm)及致密Al(OH)3外壳, 其形成遵循“CaCO3→C3AH6→Al(OH)3”的逐步反应路径。 FTIR与Raman光谱进一步佐证了界面化学键合路径: FTIR在3 664 cm-1处检测到C3AH6的OH伸缩振动特征峰, 而Raman在3 390~3 640 cm-1区间发现C3AH6的晶格振动模式, 二者共同证实钙铝间通过Ca—O—Al键实现化学键合, 而非物理混合。 XPS定量分析表明, 表面钙铝摩尔比从2 h的1.45(接近C3AH6理论值1.5)降至36 h的0.08, 结合Ca(2p)结合能偏移及Al(2p)化学态转变(Al—O→Al—OH), 直接揭示了C3AH6中间相的动态形成及Al(OH)3壳层覆盖机制。 多光谱联用策略的创新性在于: 通过XRD/SEM-EDS实现物相-形貌协同表征, FTIR/Raman解析键合结构演变, XPS定量追踪表面化学态迁移, 三者深度整合突破了单一表征技术的局限性, 系统揭示了C3AH6中间相在界面键合中的桥梁作用。 该研究为核壳复合材料可控合成提供了理论依据, 例如通过调控铝酸钠溶液浓度与反应时间可精准优化Al(OH)3壳层厚度与均匀性, 进而提升材料耐候性及界面相容性。 该研究通过光谱学技术的多维协同, 为CaCO3/Al(OH)3复合材料的界面化学调控及工业应用提供了关键理论支撑。
Using ordinary ground calcium carbonate (D50≈38 μm) as the core phase, a CaCO3/Al(OH)3 core-shell composite material was constructed in a supersaturated sodium aluminate solution via heterogeneous nucleation. By multiple spectroscopic techniques, including X-ray diffraction (XRD), scanning electron microscopy-energy dispersive spectroscopy (SEM-EDS), Fourier transform infrared spectroscopy (FTIR), Raman spectroscopy, and X-ray photoelectron spectroscopy (XPS), the dynamic evolution of phase composition, interfacial chemical states, and bonding structures during the coating process was systematically revealed. The coating pathway was regulated by reaction time gradients (2 h, 12 h, 36 h). Combined with SEM-EDS cross-sectional morphology analysis and XRD phase identification, a three-layer model of the core-shell structure was established: a calcite-type CaCO3 core (≈38 μm), a C3AH6 intermediate layer (300~500 nm), and a dense Al(OH)3outer shell, following a stepwise reaction path of “CaCO3→C3AH6→Al(OH)3”. FTIR and Raman spectra further corroborated the interfacechemical bonding path: FTIR detected the characteristic OH stretching vibration peak of C3AH6 at 3 664 cm-1, while Raman identified additional lattice vibration modes of C3AH6 in the 3 390~3 640 cm-1 range, collectively confirming chemical bonding (via Ca—O—Al bonds) rather than physical mixing between calcium and aluminum. XPS quantitative analysis demonstrated that the surface Ca/Al molar ratio decreased from 1.45 at 2 h (close to the theoretical value of 1.5 for C3AH6) to 0.08 at 36 h. Combined with the Ca(2p) binding energy shift and the Al(2p) chemical state transition (Al—O→Al—OH), this directly revealed the dynamic formation of the C3AH6 intermediate phase and the coverage mechanism of the Al(OH)3 shell. The innovation of the multispectral coupling strategy lies in: achieving phase-morphology collaborative characterization through XRD/SEM-EDS, analyzing bonding structure evolution with FTIR/Raman, and quantitatively tracking surface chemical state migration with XPS. This integrated approach overcomes the limitations of single-technique characterization and systematically elucidates the pivotal role of the C3AH6 intermediate phase in interfacial bonding. The study provides a theoretical foundation for the controllable synthesis of core-shell composites. For instance, optimizing the Al(OH)3 shell thickness (300~500 nm) and uniformity by adjusting the sodium aluminate concentration and reaction time can enhance the material's weathering resistance and interfacial compatibility. Through multidimensional synergy of spectroscopic techniques, this work establishes a critical theoretical basis for the interfacial chemical regulation and industrial applications of CaCO3/Al(OH)3 composites.
碳酸钙(CaCO3)作为一种无机非金属填充材料, 在塑料、 造纸、 橡胶、 涂料、 油墨等行业被广泛使用[1, 2, 3, 4, 5, 6]。 随着其应用领域的逐渐扩大和材料技术的快速发展, 单一的碳酸钙已不能完全满足使用要求, 包覆型碳酸钙复合材料应运而生。 根据包覆层材料类型的不同, 包覆型碳酸钙复合材料可以分为碳酸钙无机包覆和碳酸钙有机包覆, 而具有核壳结构的碳酸钙无机包覆复合材料主要有CaCO3/SiO2复合材料、 CaCO3/TiO2复合材料、 CaCO3/BaSO4复合材料和CaCO3/Al(OH)3(AlOOH)复合材料等。
Zhang等[7]采用表面沉淀的方法制备了由方解石核和二氧化硅壳组成的复合纳米粒子, 借助TEM、 BET、 XRD、 IR、 XRF和TGA对复合材料和二氧化硅壳进行了表征, 结果表明二氧化硅层以约5 nm厚度连续包覆在碳酸钙核表面, 复合粒子的热稳性降低, 二氧化硅壳孔的形状和尺寸与碳酸钙核相似。 岳林海[8]等借助XPS、 XRD等对SiO2包覆超细CaCO3的表面层结构和机理进行了分析, 结果表明SiO2以无定形态在CaCO3表面以Si— O— Ca键与其相结合。 Tao等[9]采用直接沉淀法制备了TiO2包覆CaCO3复合粒子, 借助XRD、 XPS、 FESEM和紫外-可见吸收光谱仪对复合粒子的化学组成和晶型、 微观形态、 表面结构以及紫外吸收性能进行了分析, 结果表明TiO2膜均匀涂覆在CaCO3表面, 复合颗粒具有较高的紫外吸收能力。 高洪霞等[10]采用原位沉积法对沉淀碳酸钙进行包覆改性, 借助SEM发现硫酸钡包覆的沉淀碳酸钙颗粒表面粗糙, 棱角钝化。 改性后的复合颗粒在pH值6.50的蒸馏水中溶解性降低。 Ota等[11]采用碳酸化方法制备了Al(OH)3包覆CaCO3纤维复合材料, 借助XRD、 SEM、 TG-DTA对复合材料物相结构、 反应机理、 表面形貌及Al(OH)3包覆量进行了分析研究。 丁孝初等[12]制备了AlOOH包覆CaCO3二元复合物, 采用SEM、 XRD及IGC反气相色谱, 探究了复合物的形貌、 物相结构, 和表面能的变化。 张惠珠等[13]根据动态非等温动力学实验数据, 对不同粒径AlOOH包覆CaCO3二元复合物的热分解动力学进行了研究。
上述研究表明, 前人对CaCO3/SiO2、 CaCO3/TiO2和CaCO3/BaSO4复合材料的表征分析所采用的方法较为丰富, 而对CaCO3/Al(OH)3(AlOOH)复合材料的表征分析所采用的方法较为匮乏, 主要以SEM、 XRD等手段为主。 而XPS作为一种重要的表面分析技术, 可以分析样品表面层中相对含量在0.1%以上的各个元素的种类、 相对含量、 元素价态等, 对于核壳结构复合材料的表征分析具有良好的适用性。 此外, 以普通重质碳酸钙为原料, 采用非均匀形核法制备CaCO3/Al(OH)3复合材料的研究也少有报道。 因此, 本文以普通重质碳酸钙为原料, 过饱和铝酸钠溶液为反应底液, 对采用非均匀形核法制备的CaCO3/Al(OH)3复合材料进行全面分析, 并与在以水为介质的条件下制备的CaCO3和Al(OH)3 混合物样品进行了比较。 通过XRD、 SEM-EDS、 FTIR、 Raman和XPS等手段研究样品物相结构、 微观形貌、 元素分布、 元素键合结构等, 以此探索氢氧化铝包覆重质碳酸钙复合材料的结构组成, 并为CaCO3/Al(OH)3复合材料的进一步应用提供理论依据。
本研究中, XPS、 FTIR与Raman的联用, 为CaCO3/Al(OH)3复合材料的界面化学与结构演变提供了多维度的分析视角。 XPS通过表面元素含量及化学态[如Ca(2p)、 Al(2p)和O(1s)的键合状态]的精准解析, 能够追踪包覆过程中钙铝元素的动态迁移与化学键合(如Ca— O— Al键的形成), 弥补了传统XRD和SEM在表面化学信息获取上的局限性。 FTIR则通过特征吸收峰(如
原料: 重质碳酸钙粉(D50≈ 38 μ m)(广西贺州某粉体厂)。
试剂: 氢氧化铝、 氢氧化钠、 乙二胺四乙酸二钠、 水杨酸钠、 氯化钡(国药集团化学试剂有限公司); 无水乙醇、 盐酸(北京化工厂); 所有试剂均为分析纯, 实验用水为去离子水。
将135.5 g氢氧化钠溶解于1 L的去离子水中, 加热至沸腾。 然后将165.2 g氢氧化铝加入到热的氢氧化钠溶液中加热至溶液澄清, 趁热过滤得到初始氧化钠浓度105 g· L-1, 氧化铝浓度108 g· L-1的过饱和铝酸钠溶液。 取300 mL 配制好的过饱和铝酸钠溶液加入到带搅拌的500 mL的三口烧瓶中, 在80 ℃的恒温水浴锅中预热10 min后搅拌条件下加入13.8 g重质碳酸钙(D50≈ 38 μ m)粉末, 调节反应温度使其4 h降至70 ℃后继续保温32 h, 反应过程中搅拌转速为400 rpm。 反应过程中, 分别于2和12 h取样分析样品的变化。 反应结束后料浆经过滤、 洗涤、 滤饼105 ℃干燥4 h 后得到CaCO3/Al(OH)3复合材料。
将12.3 g Al(OH)3和16 g CaCO3加入到带搅拌的盛有350 mL去离子水的500 mL三口烧瓶中, 置于80 ℃的水浴锅中, 搅拌转速为400 rpm, 2 h后料浆过滤, 滤饼于105 ℃干燥4 h后得到CaCO3+Al(OH)3混合样品, 标记为p-m。
(1)物相结构分析
采用株式会社理学的Smart lab(9)对样品物相结构进行测试分析。 测试条件采用Cu-Kα 射线源, 波长λ =1.540 6 Å , 电压与电流分别为40 kV和200 mA, 连续扫描, 扫描范围为5° ~90° , 步进为0.01° , 扫描速度为15° · min-1。
(2)形貌、 元素分布分析
为增加样品的导电性, 将样品进行喷金处理后, 采用日本电子JSM-7610F高分辨率场发射扫描电子显微镜进行微观形貌分析。 将包覆后样品与树脂混合固化后经抛光喷金处理, 采用配有EDS的日本电子JSM-7610F高分辨率场发射扫描电子显微镜进行横截面元素分布分析。
(3)红外光谱分析
采用美国Thermo公司的Nicolet iS50测定样品的红外光谱, 扫描次数32, 分辨率4 cm-1, 测试范围400~4 000 cm-1。
(4)拉曼光谱分析
采用法国HORIBA公司的LabRAM HR Evolution拉曼光谱仪进行样品的拉曼分析, 波长范围100~4 000 cm-1。
(5)表面结构分析
采用Thermo Fisher公司的Thermo多功能电子能谱仪进行样品的表面结构分析。 X射线为Al Kα 射线(能量为1 486.3 eV)。 在XPS实验过程中, 样品表面因失去电子(光电子)而带正电荷, 为纠正静电荷对电子结合能测量带来的偏差, 用污染碳电子结合能(284.8 eV)来校正。
图1是不同包覆时间下的样品和p-m样品的XRD图谱。 从图1可以看出, p-m样品中衍射角2θ 在(23.13° 、 29.47° 、 36.04° 、 39.49° 、 43.24° 、 47.62° 、 48.61° )和(18.30° 、 20.31° 、 20.61° 、 26.90° 、 36.61° )出现了明显的衍射峰, 其对应的衍射面为(012), (104), (110), (113), (202), (018), (116)和(002), (110), (200), (112), (021), 它们分别归属于方解石结构(PDF#99-0022)和三水铝石结构(PDF#76-1782)的衍射峰。 对照不同包覆时间下样品的XRD谱图可以看出, 对于2和12 h的样品, 除原有的方解石型碳酸钙衍射特征峰外, 谱图中衍射角2θ 在(17.30° 、 19.98° 、 26.58° 、 28.43° 、 31.90° 、 39.34° 、 44.51° )出现了衍射峰, 其对应的衍射面为(211), (220), (321), (400), (420), (521), (611), 归属于3CaO· Al2O3· 6H2O(C3AH6)相(PDF#77-0240)衍射峰, 而36 h的样品除C3AH6相的衍射特征峰外, 2θ 在(18.31° 、 20.32° 、20.57° 、 37.62° )出现了衍射峰, 与Al(OH)3相的衍射特征峰相对应。 说明在包覆反应过程中前期阶段碳酸钙与铝酸钠反应, 首先生成C3AH6物相。 随着反应的进行, 后期主要是Al(OH)3的分析出反应, 与有关文献报道的相一致[14, 15]。
图2是原料重质碳酸钙粉体的SEM图, 从图2可以看出原料重质碳酸钙颗粒棱角分明, 为形状不规则的多面体, 颗粒粒径在20~30 μ m, 颗粒表面有着较为明显的解理特征, 大颗粒呈片层状堆叠在一起, 在大颗粒表面附着许多粒径在数微米的细小颗粒。
图3是包覆时间为36 h时复合颗粒的SEM图。 从图3可以看出经过包覆反应后, 原料碳酸钙颗粒表面的解理特征消失, 复合颗粒表面出现棱柱状、 颗粒状、 锥形形貌结构, 彼此纵横交错, 相互交叉生长在一起。 颗粒表面形貌结构与Al(OH)3的特征相符合, 说明碳酸钙颗粒表面包裹了较厚的氢氧化铝层。
图4是包覆时间为36 h时复合颗粒经树脂镶嵌磨抛后截面的SEM-EDS图, 从图4可以看出复合后样品颗粒呈现出了明显的核-壳结构。 复合样品中钙、 铝元素之间具有明显的界限, 在CaCO3和Al(OH)3之间存在厚度约为300~500 nm 的薄层, 结合XRD谱图, 推测该薄层应属于C3AH6物相, 重质碳酸钙被Al(OH)3间接包裹。
图5是包覆时间为36 h复合颗粒和p-m样品的傅里叶变换红外图谱, 其中(b)是(a)图中阴影部分的局部放大图。 表1是红外吸收带的归属表。 结合图5和表1可知, p-m样品和36 h样品有所相似, 但是细微结构存在很大区别。 首先在高波数3 700~3 400 cm-1范围内, p-m样品在3 623、 3 527、 3 462和3 527 cm-1处为Al(OH)3的OH振动峰, 而36 h样品在3 664 cm-1处被认为是C3AH6中的OH振动峰, 在3 462 cm-1处的吸收峰消失, 而在3 480和3 422 cm-1出现了吸收峰; 在1 100~700 cm-1范围内, 36 h样品中在847 cm-1处吸收峰减弱, 765 cm-1处出现一宽吸收峰, p-m样品在该区域出现800和747 cm-1Al(OH)3的OH振动峰。 在600~400 cm-1范围内, 36 h样品在560 cm-1处峰减弱, 530、 515和500 cm-1处吸收峰衍变成一宽吸收峰。 p-m样品在3 623 cm-1(Al— OH伸缩振动)及876 cm-1(CaCO3 C— O弯曲振动)处呈现典型吸收峰; 而36 h复合样品新增3 664 cm-1峰, 归属为C3AH6中OH的伸缩振动, 表明中间相的生成。 波数区间600~400 cm-1内, 36 h样品的Al— O振动峰(560 cm-1)强度显著降低, 同时530 cm-1处出现宽化峰, 印证了Al(OH)3壳层对C3AH6相的覆盖。 以上分析表明CaCO3与新生成的Al(OH)3之间并不是简单的混合, 反应过程中有副产物C3AH6生成, 钙与铝之间发生了化学键合, 与XRD结果相一致。
图6是包覆时间为36 h复合颗粒和p-m样品的拉曼谱图, 其中(b)是(a)中(A)和(B)的局部放大图。 已知在方解石晶体中具有拉曼活性的振动模式为: 1个具有A1g对称性的振动和4对具有Eg对称性的两重简并振动。 所有振动具有偶对称性。 A1g振动是与自由
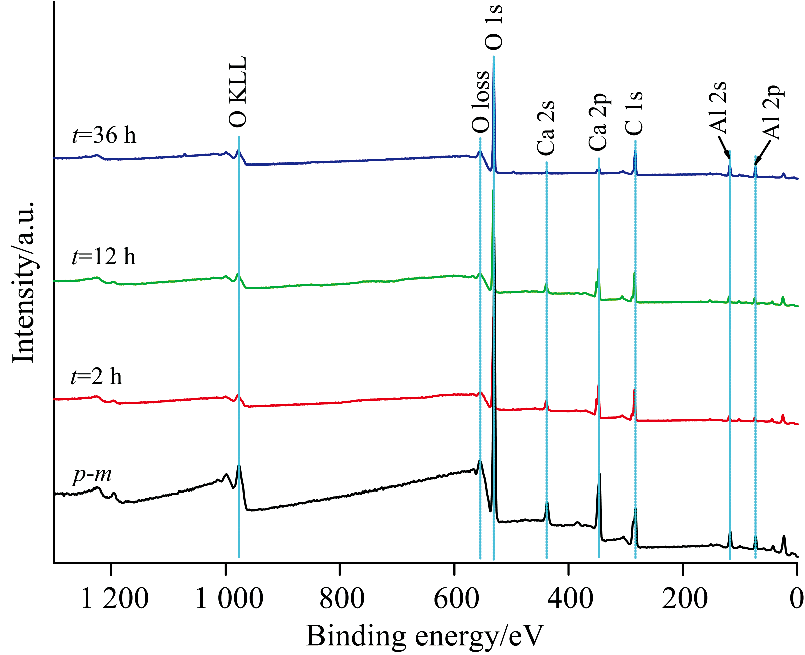
图7是不同包覆时间(t=2、 12、 36 h)和p-m样品的XPS全谱。 所有样品均检测到C(1s)、 O(1s)、 Ca(2p)、 Al(2p)特征峰。 图8是不同样品不同元素的XPS高分辨谱图, 通过高分辨谱分析揭示了包覆过程中表面化学态的演变规律。 从图中可以看出p-m样品中C(1s)、 O(1s)、 Ca(2p)、 Al(2p)的高分辨谱图与不同包覆时间样品中各元素高分辨谱图存在明显差异, p-m样品中各元素高分辨谱图出现明显的宽化, 推测造成该现象的原因主要是p-m样品中有着丰富的羟基。 不同样品中C(1s)、 O(1s)、 Ca(2p)、 Al(2p)含量见表2。 p-m样品表面钙铝元素的摩尔比为0.83, 略小于实际添加的钙铝元素的摩尔比1.01, 推测是混合样品混合的均匀程度不够造成的。 不同包覆时间的样品, 随着反应时间的延长, 颗粒表面Ca元素和C元素含量逐渐减小, Al元素和O元素含量逐渐增大。 反应2 h时, 样品表面的钙铝元素的摩尔比为1.45, 接近C3AH6中理论钙铝元素的化学计量比1.50, 说明在该阶段碳酸钙的表面已经包覆了较为均匀的C3AH6物相, 与XRD结果一致。 反应时间至12 h时, 钙铝元素摩尔比接近1∶ 1, 说明表面元素中开始有Al(OH)3相生成, 反应至36 h时, 样品表面钙铝元素摩尔比约为0.08, 说明Al(OH)3壳层最终实现对CaCO3核的完全包裹。
| 图7 不同包覆时间(t=2、 12、 36 h)和CaCO3+Al(OH)3混合(p-m)样品的XPS谱图Fig.7 XPS survey spectra of samples with different coating times (t=2, 12, 36 h) and mixed CaCO3+Al(OH)3 (p-m) |
| 图8 不同样品不同元素的XPS高分辨谱图 (a): C(1s); (b): O(1s); (c): Ca(2p); (d): Al(2p)Fig.8 High-resolution XPS spectra of different elements in different samples (a): C(1s); (b): O(1s); (c): Ca(2p); (d): Al(2p) |
| 表2 不同样品表面元素摩尔百分比 Table 2 Molar percentage of elements on the surface of different samples |
对样品的C(1s)高分辨谱图进行分峰处理, 拟合得到的曲线见图9。 p-m样品中C(1s)分峰为4个特征峰, 见图9(a), 位于284.8 eV的峰归因于C— C或C— H的结合能, 即外来碳的贡献, 位于286.2 eV峰归因于C— O的结合能, 其余两个特征峰可以认为是
对样品的O(1s)高分辨谱图进行分峰处理, 拟合得到的曲线见图10。 从图10可以看出对于p-m样品, 分峰为2个特征峰, 位于531.3 eV可归因于碳酸钙中
对样品的Ca(2p)高分辨谱图进行分峰处理, 拟合得到的曲线见图11。 从图11(a)可以看出p-m样品, 分峰为4个特征峰, 与其他包覆样品出现明显的不同, 推测造成这种现象的原因是氢氧化铝中的羟基与碳酸钙中的
对样品的Al(2p)高分辨谱图进行分峰处理, 拟合得到的曲线见图12。 从图12可以看出p-m样品、 2 h样品和12 h样品中Al(2p)分峰为两个特征峰, 按照分峰后的结合能由大到小可分别归因于Al— O和Al— OH的贡献, 36 h样品中Al(2p)具有较好的对称性, 表明样品表面铝元素的化学形态单一, 其结合能与报道的Al(OH)3的结合能一致[23]。 从2 h到36 h, 拟合峰74.3 eV附近Al(2p)含量逐渐增加, 表明随时间延长, 样品表面Al(OH)3含量逐渐增加, 进一步证明了颗粒表面被氢氧化铝所包裹。
通过XPS、 FTIR、 Raman等多光谱技术的系统联用, 揭示了氢氧化铝包覆重质碳酸钙复合材料的核壳结构动态形成机制, 主要结论如下:
(1)核壳结构的三层模型
XRD结合SEM-EDS截面分析, 明确了复合颗粒的三层结构: 方解石型CaCO3核(直径≈ 38 μ m)、 C3AH6中间层(300~500 nm)及Al(OH)3外壳, 其形成遵循“ CaCO3→ C3AH6→ Al(OH)3” 的逐步反应路径。
(2)多光谱联用解析界面化学演变
FTIR与Raman光谱通过特征峰归属(如C3AH6的OH伸缩振动峰、 Al— O键振动峰)揭示了钙铝化学键合路径, 弥补了传统XRD/SEM在化学键分析上的不足。 XPS表面元素分析表明, 随包覆时间延长(2~36 h), 钙铝元素摩尔比从1.45降至0.08, 结合Ca(2p)峰位偏移及Al(2p)化学态转变(Al— O→ Al— OH), 直接证实了C3AH6中间相(Ca— O— Al键)的动态形成及Al(OH)3壳层的最终覆盖。
(3)光谱学方法的创新与应用价值
本研究通过XPS-FTIR-Raman联用策略, 突破了传统表征对表面化学态与键合结构的分析局限, 揭示了C3AH6中间相在CaCO3/Al(OH)3界面键合中的动态作用。 相较于单一表征手段, 多光谱联用策略为核壳复合材料的界面调控与性能优化提供了高分辨率的分析框架。 该多光谱框架可为核壳复合材料的可控合成与工业质量控制(如在线XPS监测)提供理论支持。
| [1] |
|
| [2] |
|
| [3] |
|
| [4] |
|
| [5] |
|
| [6] |
|
| [7] |
|
| [8] |
|
| [9] |
|
| [10] |
|
| [11] |
|
| [12] |
|
| [13] |
|
| [14] |
|
| [15] |
|
| [16] |
|
| [17] |
|
| [18] |
|
| [19] |
|
| [20] |
|
| [21] |
|
| [22] |
|
| [23] |
|

