作者简介: 郝向炜, 1975年生,东北林业大学土木与交通学院副教授 e-mail: 50001546@qq.com
工地施工过程中需要判断浇筑区域内部的混凝土与泥浆的分类, 目前大部分使用人工检测法, 为保证工程质量, 浇筑的混凝土桩基高度往往远高于设计值, 从而造成混凝土的极大浪费。 为此, 提出了基于多光谱的泥浆分界自动检测技术。 首先, 利用光谱仪分析了11种混凝土、 泥浆不同比例混合情况下的可见光反射光谱, 结果表明混合比例系数 K与光谱反射率之间存在函数关系, 并利用反射率的计算公式确定用反射光强度代替反射率。 为此, 基于AS7341光谱芯片设计了由8个可见光光谱波段和STM32单片机以及JDY-31蓝牙通信模块组成的监测系统, 并设计了透明外壳。 对上述11种不同比例泥浆混凝土混合溶液进行了多光谱反射光强度数据采集, 采集不同比例黄土和黑土与混凝土混合的反射光强度值组成数据集, 发现反射光强度值随着时间进行波动, 因此提出了基于多光谱的注意力机制融合长短记忆卷积神经网络(CNN-LSTM-Attention)的泥浆混凝土分界预测算法, 利用CNN网络对输入的8个通道反射光强度的关键参数进行特征提取, 获取更多的局部特征, 提高后续预测精度。 再通过LSTM层对CNN层增加接口和反向门来实现反向传播, 避免数据梯度消失和梯度爆炸的问题。 最后使用Attention函数, 在众多波长反射值输入中关注更重要的光谱信息, 减少关注或者忽视其他光谱信息, 从而解决信息过量问题并提高效率。 仿真结果表明该算法的精确率为0.952, 召回率为0.944, F1分数为0.938。 相较于其他算法的仿真结果具有更高的精度和稳定性, 能够达到工地施工的国家要求标准并且该方法不需要人工测量, 直接上位机远程实时控制光谱数据采集过程, 得到混凝土和泥浆的分界检测结果。
During construction, it is necessary to determine the classification of concrete and mud within the pouring area. Currently, most projects use manual detection methods. To ensure engineering quality, the height of poured concrete piles often far exceeds the design value, leading to significant waste of concrete. To address this issue, an automatic mud boundary detection technology based on multispectral imaging is proposed.First, a spectrometer was used to analyze the visible light reflection spectra of 11 mixtures of concrete and mud at different ratios. The results show a functional relationship between the mixing ratio coefficient K and spectral reflectance. The calculation formula for reflectance was used to determine that reflected light intensity can be used as a substitute forreflectance. Based on this, a monitoring system was designed using the AS7341 spectral chip, which consists of 8 visible light spectral bands, an STM32 microcontroller, and a JDY-31 Bluetooth communication module, all enclosed in a transparent housing. Multispectral reflected light intensity data were collected for the 11 concrete-mud mixtures at different ratios, forming a dataset of reflected light intensity values for mixtures of loess and black soil with concrete at varying proportions. It was found that the reflected light intensity values fluctuated over time. Therefore, a mud-concrete boundary prediction algorithm based on a Convolutional Long Short-Term Memory Network with Attention Mechanism (CNN-LSTM-Attention) was proposed. The CNN network extracts key features from the input reflected light intensity data of 8 channels to capture more local features and improve subsequent prediction accuracy. The LSTM layer adds interfaces and reverse gates to the CNN layer to enable backpropagation, avoiding gradient disappearance and explosion. Finally, the Attention function focuses on more critical spectral information among the input reflectance values at multiple wavelengths, thereby reducing or ignoring other spectral information to address the problem of information overload and improve efficiency.Simulation results show that the algorithm achieves a precision of 0.952, a recall of 0.944, and an F1 score of 0.938. Compared with other algorithms, it demonstrates higher accuracy and stability, meeting national standards for construction sites. This method eliminates the need for manual measurement. It enables real-time remote control of spectral data collection via a host computer, providing direct detection results for the boundary between concrete and mud.
混凝土作为一种广泛应用的建筑材料, 在桥桩建筑中具有非常重要的地位。 在实际的桥梁建筑过程中需要确定混凝土浇筑的具体位置, 然而在浇筑区域的底部会有因挖掘产生的泥浆, 所以浇筑区域处于混凝土和泥浆的混合区域。 一般来说, 为了使浇筑区域全部处于混凝土位置, 需要添加本身混凝土体积的5%到10%之间的额外体积, 造成了混凝土的浪费[1, 2, 3]。 目前在工地施工过程中, 采用较为简单的解决措施, 通过目测、 木棍插入等人工方法, 对混凝土中的不同层结构进行判断, 之后敲除泥浆和混凝土和混合部分, 留下纯混凝土桩。 之前采取人为判断混凝土层的位置, 确保浇筑区域内部全为混凝土, 但这种方法实时性不高, 人为因素影响大, 测量精度不高。
由于混凝土和泥浆的组成结构不同, 表面状态对不同波长的可见光的反射率也不同, 为利用可见光反射率的不同实现对混凝土和泥浆的实时分界检测提供了理论基础[4, 5]。 本文分析了不同浓度溶液的反射率和不同比例混合溶液之间的相关性, 利用入射光强度一定的条件下, 反射率和反射光强度呈正比关系, 通过CNN-LSTM-Attention算法模型进行预测, 利用上位机控制系统控制测量过程, 实现泥浆混凝土分界检测的自动测量[6, 7, 8]。
本次测量光谱反射率使用的是美国海洋光学的Flame-NIR光谱仪, 该光谱分析仪可以将光分解为不同波长的光, 然后测量每个波长上的光强度。 通过测量入射光和反射光的强度, 使用式(1)即可得到该波长上物体反射率的数值[9]。
式(1)中, γ 为反射率, Iin为入射光强度, Rout为反射光强度。
因此光谱仪可以通过式(1)得到物体在可见光波长范围内的所有反射率的数值, 进而绘制反射率在可见光谱下的反射率曲线图。
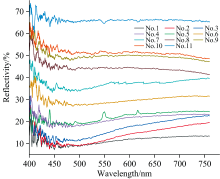
本实验的混凝土和泥浆样品溶液严格按照工地上实际配料的比例进行混合, 形成了泥浆与混凝土的混合比例系数K分别为0、 0.1、 0.2、 …、 1等11种不同配比的标准混合溶液, 依次给这些溶液标记成1— 11号样品(其中K=0为纯泥浆, K=1为纯混凝土)。 使用海洋光学官方的OceanView软件, 测量每种样品的反射率曲线, 并将每种样品的反射率数据用Origin绘图软件进行画图, 结果如图1所示。
| 图1 不同浓度样品在可见光谱下的反射率曲线图Fig.1 Reflectance curves of samples at various concentrations across the visible spectrum |
通过图1的曲线可以发现, 在可见光的波长范围里, 抛去初始波长噪声的干扰, 当反射率开始稳定时, 随着样品的混合比例系数K逐渐上升, 样品溶液整体的反射率也在逐渐升高, 结果表明在同一波长下样品的混合比例系数K与反射率之间存在函数关系, 即γ =f(K)。 通过式(1)可知, 当入射光的强度不变时, 物体的反射率越高则物体的反射光强度也越高。 因此在入射光强度Iin不变的情况下, 反射光强度和样品的混合比例系数K也存在Rout=f(K)的函数关系, 因此可以通过测量样品反射光强度值判断样品的混合比例系数K。
该仪器整体放进一根透明的亚克力管里, 尺寸大小为2 000 mm× 50 mm× 40 mm, 自行设计的硬件系统可以保证系统不与外部环境直接接触, 实现了非接触式检测。 硬件结构主要由光谱采集模块、 核心控制模块、 蓝牙模块和电源模块四部分组成, 实物如图2所示, 结构如图3所示[10]。
光谱采集模块: 根据图1所示, 混凝土与泥浆混合溶液的光谱反射率在500~750 nm的可见光波段范围内具有明显的非线性函数关系, 因此本文选取光谱采集模块的光谱响应波长范围应该包含上述可见光波段。 据此本文选取的光谱传感器芯片是AS7341光谱传感器, 该传感器能够感知环境中350~1 000 nm波段的8组可见光成分值和相对反射光强度, 在灵敏度、 准确度上也比较准确, 同时它的体积非常小, 而且还板载了两颗高亮LED, 可在弱光环境下补光, 解决了测量过程中昏暗的检测环境, 因此适合做微型的光谱分析仪。
核心控制模块: 使用意法半导体公司的STM32F103C8T6单片机作为主控芯片, 读取芯片数据, 接收蓝牙模块的命令。
蓝牙模块: 使用JDY-31蓝牙模块将STM32传送来的光谱数据发送给下位机软件系统, 并且可以接收到软件系统发送的中断命令。
电源模块: 使用上海芯龙公司生产的XL6009芯片, 将锂电池的12 V电压转换成3.3 V稳定电压, 满足系统运行电压。
考虑到工地施工过程中的复杂性, 选取两种不同的泥浆即黄土和黑土, 分别按照11种不同混合比例系数K进行配比。 利用测量装置分别测出两组实验的11类样品在1 h时间内的500组反射光强度值, 组成数据集数量分别为5 500组的光谱数据集。 后续设计光谱分界检测系统实验, 如图4、 图5所示, 验证了本文提出的算法在黄土和黑土两种泥浆与混凝土混合过程中的可靠性和准确性, 达到国家标准要求, 满足实际工地的施工需求。
从实验结果的反射光强度图中看出, 两组样品混合溶液的反射光强度值数据是一种复杂多变的光谱数据, 受到混合比例因素的影响, 呈现出一定的波动性。 传统的预测方法不能很好地模拟浮选品位的波动情况。 为了可靠地实时预测浮选品位, 本文提出了一种基于CNN-LSTM-Attention网络的泥浆混凝土分界检测方法, 网络结构如图6所示。 网络首先通过一个一维卷积层, 利用一维网格对输入的8个通道反射光强度的关键参数进行特征提取, 获取更多的局部特征, 提高后续步骤的预测精度。 再通过LSTM层对CNN层增加接口和反向门来实现反向传播从而避免提取反射光强度数据梯度消失和梯度爆炸的问题[11]。 由于反射光强度数据的通道数和预测类别数目多, 导致模型中的参数多, 进而造成信息过量的问题, 因此通过使用Attention函数, 在众多波长反射值输入中关注更重要的光谱信息, 减少关注或者忽视其他光谱信息, 从而能够解决信息过量问题并提高效率[12, 13, 14, 15, 16]。 最后通过全连接层输出11种泥浆混凝土的分类结果。
根据本文的实验数据, 基于CNN-LSTM-Attention网络的泥浆混凝土分界检测模型的参数设置如下: 首先将数据集的5 500组数据按照7∶ 3的比例随机分成训练集和测试集, 按照可见光波长的波段数和预测种类设置模型的输入特征为8, 输出特征为11, 输出通道为60(即1h内的测量值), 学习率0.01、 Dropout为0.3、 损失函数为N1Loss。 其余参数经过仿真得到如下的最优参数, 如表1所示。
| 表1 基于CNN-LSTM-Attention模型的最优参数 Table 1 Optimal parameters of the CNN-LSTM-Attention model |
为了更好地对比多种分类模型对两组混凝土泥浆反射光强度数据的预测效果, 本文将CNN-LSTM-Attention模型进行纵向对比, 如LSTM模型和CNN-LSTM模型; 以及与近年来的主流分界算法进行横向比较, 如时序卷积网络(TCN)和图卷积网络(GCN)。 本文选取了三个客观评价指标对混凝土泥浆分界模型的预测效果进行评判, 分别是精确率(Precision), 召回率(Recall)和F1 分数(F1-Score), 两组数据在多种模型训练下的评价指标统计结果如表2, 表3所示。
| 表2 黄土组在多种模型训练下的评价指标统计 Table 2 Statistical results of evaluation indicators for the loess group under various model trainings |
| 表3 黑土组在多种模型训练下的评价指标统计 Table 3 Statistical results of evaluation indicators for the black soil group under various model trainings |
由表2和表3两组数据的评价指标统计结果中可以看出, 通过CNN-LSTM-Attention模型训练黄土组和黑土组两组数据的评价指标统计结果的Precision和Recall最高, 分别是0.952, 0.944和0.937, 0.924; F1-Score也最高, 为0.947和0.930。 说明CNN-LSTM-Attention模型对于不同类型混合的混凝土泥浆分界预测具有更高的精度和稳定性, 分类性能较为优秀。
分析了混凝土与泥浆的混合比例系数K与反射光强度值之间的关系, 设计了便携式泥浆混凝土分界检测系统, 采集了黄土和黑土与混凝土之间不同混合比例系数溶液的反射光强度值组成数据集, 提出了基于多光谱的注意力机制融合长短记忆卷积神经网络(CNN-LSTM-Attention)的泥浆混凝土分界预测算法。 结果表明, 检测的分类结果的精度和稳定性达到工地施工的国家要求标准, 满足实际工地现场工作要求。 表明该系统能对实际环境中的泥浆混凝土分界进行无损检测分析。
| [1] |
|
| [2] |
|
| [3] |
|
| [4] |
|
| [5] |
|
| [6] |
|
| [7] |
|
| [8] |
|
| [9] |
|
| [10] |
|
| [11] |
|
| [12] |
|
| [13] |
|
| [14] |
|
| [15] |
|
| [16] |
|

