作者简介: 肖娅婷,女, 1998年生,内蒙古农业大学资源与环境学院硕士研究生 e-mail: XiaoYT@emails.imau.edu.cn
在植物的生命活动中, 水分对于作物产量起着决定性的作用。 快速检测并获知植物叶片水分状况, 对于了解田间作物的生理需水特性以及相应的水分管理具有重要的意义。 高光谱指数是进行作物叶片含水量无损实时估测的重要参数, 然而常用的光谱指数在估测叶片含水量中受生育时期影响明显, 且稳定性较差, 估测精度很难达到生产要求。 为了提高玉米叶片水分估测的精度, 于2023年—2024年在内蒙古玉米种植的典型区域进行不同水分梯度的田间试验, 测定玉米叶片三个关键生育时期的高光谱反射率, 通过建立叶片含水量(LWC)与小波函数及光谱指数的关系模型, 以确定表现最佳的小波函数和光谱指数, 并评估他们在检测玉米叶片含水量方面的稳定性和鲁棒性。 利用光谱指数和小波函数对叶片含水量进行相关性分析发现, 选用的13个水分指数中MDATT指数的预测结果最好( R2=0.52), 但估测精度受生育时期和层位影响较大。 相比之下, 连续小波变换在提高LWC估测精度的同时克服了生育时期和层位对于预测精度的影响, 其中表现最佳的小波函数及其特征为Coif3(S6W1725)( R2=0.83)。 与光谱指数相比小波函数中的Coif3函数在估测玉米叶片含水量方面更为稳定, 模型独立验证结果的决定系数 R2为0.76, 并且验证误差最小, RMSE和RE分别为3.08%和3.51%。 研究结果可为玉米生长关键期水分的准确判断和灌溉的精准管理提供指导, 从而有助于中国中西部地区玉米水肥一体化种植制度的可持续性发展。
In the life activities of plants, water plays a decisive role in crop yield. Rapid detection and acquisition of plant leaf water status is of great significance for understanding the physiological water requirements of field crops and corresponding water management. Hyperspectral indices are an important means of non-destructive, real-time estimation of crop leaf water content. However, the commonly used spectral index is significantly affected by the growth period in estimating leaf water content, and the stability is poor. Meeting production requirements is challenging due to the estimation accuracy. To achieve the accuracy of corn leaf water estimation and realize efficient use of corn, this study conducted field experiments with different moisture gradients in typical corn-growing areas in Inner Mongolia from 2023 to 2024, measured the hyperspectral reflectance of corn leaves at three key growth periods, and established a relationship model between leaf water content (LWC) and wavelet function and spectral index to determine the best performing wavelet function and spectral index, and evaluated their stability and robustness in detecting corn leaf water content. The results showed that the correlation analysis of leaf water content using spectral index and wavelet function found that the MDATT index had the best prediction result ( R2=0.52) among the 13 selected water indices. Still, the estimation accuracy was greatly affected by the growth period and layer. In contrast, the continuous wavelet transform improved the estimation accuracy of LWC while overcoming the influence of growth period and layer on the prediction accuracy. Among them, the best performing wavelet function and its characteristics were Coif3 (S6W1725) ( R2=0.83). Compared with the spectral index, the Coif3 function in the wavelet function was more stable in estimating the water content of corn leaves. The determination coefficient R2 of the independent verification result of the model was 0.76, and the verification error was the smallest, with RMSE and RE of 3.08% and 3.51%, respectively. The research results enable the accurate assessment of water content during the critical growth period of corn and the precise management of irrigation, thereby contributing to the sustainable development of the integrated water-fertilizer corn planting system in central and western China.
玉米是需水量较大的作物之一, 在其整个生长过程中, 如果在不同生育阶段灌溉不均或灌溉不及时, 将会导致玉米出现不同程度的干旱。 这种干旱不仅会影响玉米的正常生长发育, 还可能导致产量和品质的下降。 而玉米在发生干旱后, 通常体现在叶片的结构和功能上, 叶片是最能反映作物干旱程度的器官, 通过叶片含水量(leaf water content, LWC)的变化可以判断作物缺水的程度。 因此, 及时获取玉米生长过程中植株尤其是叶片的水分信息对田间灌溉、 土壤墒情预测和监测植被水分的一般生理状态方面发挥着重要作用[1]。
近些年来, 在农业遥感技术发展的催生下, 光谱技术在植物干物质含量、 氮素含量、 叶绿素含量等生理生化参数反演估测中逐渐成为一种重要的手段。 通过遥感技术可以实现植物表型信息高效、 无损的估测, 在大面积作物快速探测方面具有广阔的应用前景。 在作物水分监测方面, 大多数研究都是基于2~3个波段的光谱指数进行作物LWC的估测。 这些经典光谱指数公式简单, 在实际应用中非常方便, 但仍然存在一些缺点和局限性。 首先, 大多数光谱指数仅针对特定的作物品种在特定的环境和气候条件下使用几个固定波段构建, 作物表型性状测量和光谱特征提取过程中环境条件的可变性对于敏感波段具有重要影响[2]。 并且, 由于使用的波段数量有限, 这些基于光谱指数的模型稳定性较弱, 因此光谱指数需要根据不同的生态区域进行优化和改进。 其次, 光谱指数的构建没有充分利用光谱反射率的全部信息, 只利用了几个波段的信息, 当光谱指标估计作物含水量超过一定数量时, 往往会发生饱和。 因此, 为了建立更稳定的植物叶片含水率模型, 有必要采用一种有效的分析方法, 对样本深层次信息进行放大和获取。
小波分析由于其完备的小波基函数、 多分辨率分析和时频定位等特点, 其对图像和光谱信号的分析和分解能力越来越受到人们的关注。 小波变换为高光谱遥感数据提供了一种兼顾“ 空间— 频率— 尺度” 的特征提取策略, 较传统光谱指数更适合处理复杂农作物信息反演任务, 尤其在跨生育期的稳健性和抗干扰能力方面优势明显。 已有研究表明, 连续小波变换(continuous wavelet transform, CWT)在植被参数高光谱估测中具有显著优势, 如在对巴拿马热带森林47种植物叶片含水量(LWC)的估测中, 基于Db小波函数在4尺度下构建的模型预测精度达0.62, 明显优于传统光谱指数方法[3]。 而在冬小麦LWC反演中利用Haar小波函数在1尺度下建立的模型, 其估测精度亦高于基于光谱指数的模型[5]。 玉米冠层光谱分析研究也证实, 利用CWT提取小波系数构建的叶绿素密度估算模型, 其性能优于基于植被指数和波段自由组合的模型[4]。 同样, CWT在小麦冠层叶片生物量估测中的应用亦表现出良好效果, 最佳小波模型的决定系数(R2)达到0.67, 不仅高于现有的最优光谱指数模型, 而且在不同品种、 生育阶段及地理条件下均展现出较强的稳定性与适应性[7]。 并且, 在比较导数光谱、 连续统去除分析与小波变换对水稻产量预测能力的研究中, CWT同样被认为是最具有效性的光谱处理方法[6]。 尽管该方法展现出一定优势, 但现有多数研究仅局限于选用形状相似性较高的小波函数, 或直接使用Db、 Haar、 Mexh这些常用的小波函数[8]。 目前尚缺乏对全部连续小波函数和离散小波函数在LWC预测中潜力的系统挖掘与比较。 如何从完整的小波函数家族中科学筛选出最适用于作物LWC估测的小波类型和特征的研究仍然较为稀缺。 因此, 开展基于全小波函数集的系统筛选, 挖掘其在LWC估测中的最优小波特征, 对于提升作物水分状态遥感监测的精度与适用性具有重要意义。
玉米作为重要的粮饲兼用型作物, 提高玉米LWC估测精度, 对于田间作物灌溉生产管理和作物的生理需水特性研究等具有重要意义。 然而, 尽管小波分析在作物预测中展现了一定的优势, 但如何选择合适的小波基函数、 如何处理不同尺度之间的平衡问题仍然是一个挑战。 因此, 本研究的目的是比较光谱指数和小波变换估测玉米LWC的性能, 并确定玉米LWC高光谱反射率最敏感的小波特征, 最终构建一个适用于玉米全生育时期的最佳估测模型。 为了评估模型的性能, 将所选的小波特征与现有光谱指数进行对比, 并检验它们在估算春玉米关键生育时期及不同层位叶片含水量时的稳定性。 研究旨在构建玉米叶片含水量定量反演模型以及将模型本地化为主要目标, 以期为大范围农业生产、 区域指导以及国家精准农业建设提供一定的决策依据, 具有很好的理论和实践意义。
于2023年— 2024年进行了两个玉米田间试验, 试验设计如下:
试验1在巴彦淖尔市乌拉特前旗, 种植的品种为新玉12, 种植区长57 m, 宽53 m, 每个处理设置三个重复, 试验小区随机排列分布。 共设有8个不同处理, 每个处理的灌溉水量分别为0、 18、 240、 300、 360、 420、 480和540 m3。
试验2在巴彦淖尔市杭锦后旗, 种植品种为西蒙3358, 种植区长90 m, 宽66 m。 每个处理设置三个重复, 试验小区随机排列分布。 共设置3个不同处理, W1维持田间持水量的90%, W2灌水量维持田间持水量的70%, W3灌水量维持田间持水量的50%。
1.2.1 采样时期和位置
试验1和试验2均在玉米的大喇叭口期(V12), 抽雄期(VT)和开花吐丝期(R1)进行叶片分层测定和取样, 大喇叭口期叶片分为三层; 抽雄期穗位叶上的三片叶子作为上层, 穗位叶及以下两层叶片为中层, 以此往下的三片作为下层; 开花吐丝期穗位叶两片作为中层, 穗位叶上三片叶子作为上层穗位叶下三片叶作为下层。
1.2.2 光谱数据的采集
玉米叶片的光谱反射率数据是利用美国SPECTRALEVOLUTION公司生产的PSR-3500全光谱手持式地物光谱仪采集的, 该仪器的光谱范围为350~2 500 nm, 输出间隔为1 nm。 每个小区选取具代表性植株三株, 使用主动光源手柄叶片夹夹取叶片的中间部位, 并且保证避开叶脉区域, 同时叶片保持水平并垂直于叶片夹。 所有的光谱测量都是在上午11:30至下午2:00晴朗的天气进行。 每个叶片样本进行了6次重复测量, 平均值被认为是这个特定玉米叶片的光谱反射率, 采集的叶片光谱反射率数据存储在配套的掌上电脑中。
1.2.3 光谱指数的选择
植被水分指数是基于特定波段组合的反射率比值, 这些指数能够有效地捕捉到水分变化带来的反射率差异, 一般由参考波段和特征波段组成, 是反映植被在900~2 500 nm范围内植被叶片含水量变化及光谱反射率的响应变化。 通常是以选取的波段进行相比和归一化形式表达。 参考波段通常选择与含水量相关性较弱的光谱波段, 例如820和860 nm等波段。 特征波段通常以与植被含水量相关性较大的波段为依据, 900~1 300 nm谱区和1 500~2 500 nm谱区内选取特征波段。 通过文献统计方法选用了13种对于植被水分比较敏感的光谱指数(表1), 以测试其在估算玉米LWC方面的有效性。
| 表1 本研究选取的光谱指数 Table 1 Spectral indices used in this study |
1.2.4 小波变换
小波变换, 又称为小波分析, 是一种新的变换分析方法。 它继承和发展了短时傅里叶变换局部化的思想, 同时克服了窗口大小不随频率变化等缺点。 小波变换能够提供一个随频率改变的“ 时间-频率” 窗口, 是进行信号时频分析和处理的理想工具。 小波变换包括两种变体: 离散小波变换(discrete wavelet transform, DWT)和连续小波变换(CWT)[9]。 前一种方法主要用于数据压缩和特征提取, 后者倾向于生成更易于解释的信号多尺度表示(表2)。 本研究通过对叶片高光谱反射率进行小波分解, 降低了尺度图的维度。
| 表2 在本研究中使用的连续和离散小波函数 Table 2 The continuous and discrete wavelet functions used in this study |
将CWT分解为10个尺度, DWT分解7个尺度, 这些尺度被标记为尺度1、 2、 3、 …等(图1), 并使用对称延拓处理LWC信号。 所有操作均使用IDL 3.8小波工具包(ITT Visual Information Solutions, Boulder, CO, USA)进行。
1.2.5 叶片含水率的测定
使用烘干法检测含水量, 原理是通过烘干目标作物来计算鲜重与干重的关系, 从而得到作物的含水量。 测量光谱前, 采用电子秤称出叶片鲜重并做好记录。 光谱测量完毕后, 将叶片样本装入纸袋放进烘箱内, 首先进行半小时105 ℃高温杀青, 然后, 调整烘箱温度至85 ℃, 烘干4 h后取出测量玉米叶片的干重, 然后再将其放到烘箱内, 温度仍设置为85 ℃, 烘干2 h后, 测量玉米叶片的干重, 计算两次干重的差, 为确保达到恒重, 一般情况下会将次步骤重复几次, 直至“ 恒重” 。 当两者之间的差小于± 0.002 g时, 停止烘干。 利用式(1)计算玉米叶片的含水量
式(1)中: LWC表示玉米叶片样本的含水量, FW表示玉米叶片鲜重, DW表示经烘干后玉米叶片干重。
采用Excel 2019和MATLAB 14.0 (The MathWorks, Inc., Natick, MA)软件进行基于光谱指数和小波变换的计算, 使用SigmaPlot 12.5软件进行制图。 利用采集的光谱反射率数据计算光谱指数和小波函数, 并将所获得的数据用于模型的建立。 利用采集的光谱反射率数据计算已发表光谱指数, 将2023年采集得数据用于模型的训练, 2024年采集得数据用于模型的验证。 使用决定系数(R2)、 均方根误差(RMSE)和相对误差比较预测能力的差异和模型的稳定性。 R2越大, RMSE和RE越小, 表明模型估测LWC的精度和准确性越高。
选取了13种植被水分指数(表1)用于构建玉米LWC模型, 从而监测玉米LWC的变化。 整体而言, 这13种水分指数与LWC的相关性较低, R2值大多低于0.5, 只有少数指数的个别生育时期的R2超过了0.5。 其中MDATT指数表现最佳, 能够解释52%的变异性。 随着生育时期的推进, 不同光谱指数对各个生育时期LWC的估测能力存在显著差异, 对R1时期进行估测的13个指标评估中, 大多数光谱指数的R2均高于0.5, 显著高于VT和V12时期。 此外, 不同叶片层位的LWC估测精度存在显著差异。 上层叶片光照充足、 反射率高, 信噪比较好, 所提取光谱特征质量更高; 光谱穿透深度较浅, 部分短波红外波段在中下层叶片中的穿透能力不足, 导致实际采集的信号易受叶片结构及背景干扰; 中下层叶片在不同生育时期中可能受到遮荫、 叶龄等生理生化因素影响, 造成其含水量变化规律更为复杂, 影响建模的一致性。 相比于各个生育时期, 光谱指数对不同层位LWC的估测能力整体较弱, 只有PRI指数的上中层R2达到了0.5以上。 这些结果表明这13种光谱指数受到生育时期和层位的影响显著, 对LWC的敏感性较低, 导致其无法有效捕捉玉米LWC的变化。
| 表3 关键生育时期和不同层位叶片含水量与光谱指数的决定系数 Table 3 Correlation coefficients between leaf water content and spectral index at key growth periods and different layers |
为确定适用于LWC估测的最佳小波函数, 分别对108个连续小波函数(CWT)和126个离散小波函数(DWT)进行了分析。 采用特征选择方法识别各小波函数在不同尺度下的最优小波特征, 并以各小波函数在不同尺度上出现最优特征的频次百分比来衡量其尺度敏感性。 从图2可见, 连续小波函数在尺度6下最频繁地产生最佳小波特征, 离散小波函数则主要集中于尺度1。 因此, 选取尺度6的CWT特征与尺度1的DWT特征进行相关性分析, 以确定在对应最优尺度下与LWC相关性最高的小波函数。 图3显示, 15个连续小波族中LWC模型的决定系数均大于0.55, 其中Sym族和Coif族决定系数最高, R2在0.74~0.83之间, Sym6的相关性最高, R2为0.829 2; Coif族中的Coif3小波函数的R2为0.826 6, 两者差异不显著。 进一步比较不同生育时期和层位的估测结果(表4)发现, Coif3除在中层略低于Sym6外, 其余生育阶段和层位均具有更优的稳定性与泛化能力, 综合表现优于Sym6。 相比之下, 离散小波家族在尺度1下与LWC的相关性较弱, 决定系数在0.58~0.59之间, 整体估测效果显著低于CWT。 因此, 基于小波特征在不同尺度下的敏感性分析、 与LWC之间的线性相关性比较以及多层位多时期的稳定性评估, 最终选定连续小波函数Coif3作为LWC估测的最优小波基函数。
| 图2 小波特征在各种小波函数和尺度下的出现百分比Fig.2 Occurrence percentage of the wavelet feature under various wavelet functions and scales |
| 图3 连续和离散小波函数与叶片含水量线性关系的决定系数Fig.3 Determination coefficients of the linear relationship between continuous and discrete wavelet functions and leaf moisture content |
| 表4 不同生育时期和不同层位下叶片含水量与小波特征线性关系的决定系数 Table 4 Determining coefficient of linear relationship between leaf water content and wavelet characteristics at different growth stages and different layers |
为了确定估测玉米LWC时小波函数的最佳小波特征(波段), 筛选了Coif3小波函数相关尺度图中前1%的特征值来确定最佳波段及其相应的尺度。 进一步分析发现, 1 700~2 300 nm波段范围内的小波特征最为有效(图4)。 该区域属于短波红外范围, 涵盖多个水分吸收峰, 对叶片含水量变化高度敏感。 同时, 该波段对其他非水分干扰因素的响应较弱, 有助于突出水分主导信号, 从而增强建模精度。 通过对1 700~2 300 nm特征区域进行截取, 发现在尺度6下1 725、 2 240和2 994 nm波段附近形成了3个特征区, 这些波段都与强LWC吸收特征高度重合。 因此, 当利用CWT估测LWC时, 短波红外波段将是最有效的波段特征。 基于以上结果, 我们使用6尺度下1 725波段的Coif3小波函数构建LWC不同生育时期和层位的估测模型(图5)。
| 图4 Coif3下叶片含水量模型随波长和尺度变化的决定系数(R2)相关尺度图Fig.4 Correlation scale diagrams of the coefficients of determination (R2) of the leaf moisture content model with wavelength and scale under Coif3 |
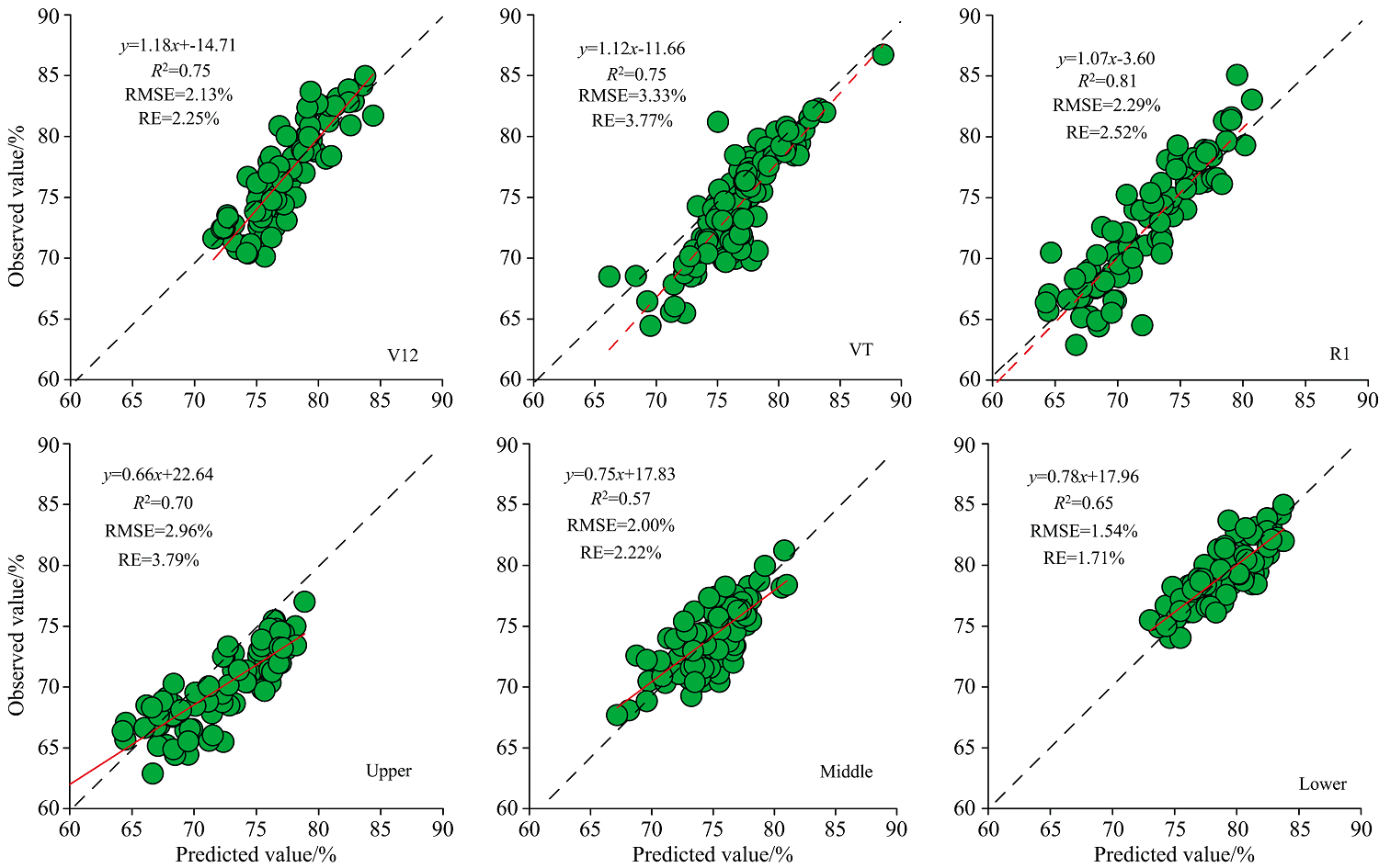
为了更精确的评估光谱指数和小波函数在玉米LWC预测中的稳定性, 利用2024年试验数据进行独立验证, 比较了MDATT和Coif3小波函数的性能(图6和图7)。 在选取的水分指数中(表1), 最佳指数MDATT的估测模型的验证斜率为0.73, R2为0.69, RMSE和RE分别为5.75%和7.22%。 相比之下, Coif3小波函数在6尺度下1725波段表现出更高的精度, R2达到了0.76, 且在不同生育时期和层位的验证精度均显著高于光谱指数。 基于Coif3小波系数建立的反演模型, 不仅在精度上优于光谱指数, RMSE和RE也相对较小, 分别为3.08%和3.51%, 进一步证明Coif3小波函数具有更高的稳定性和普适性。 综合以上结果, Coif3(S6W1725)函数是预测玉米LWC效果最好的小波函数。
| 图6 基于Coif3小波函数的玉米叶片含水量不同生育时期及层位估测模型验证Fig.6 Verification of the estimation model of corn leaf water content at different growth stages and layers based on Coif3 wavelet function |
植物叶片含水量与作物生长状况密切相关, 及时了解作物水分状况对作物适时灌溉以及提高作物产量具有重要指导作用[10], 通过定量分析玉米LWC与光谱指数和小波函数的相关关系, 可为作物营养诊断和田间水分管理提供理论依据。 本研究为了探究玉米LWC与光谱指数和小波函数之间的相关关系, 选取了13种水分指数与LWC进行相关性分析发现在植被生长过程中植被生长状况和生育阶段等会导致作物对光谱响应的差异[11], 并且因不同地点及品种的影响, 研究人员所发现的预测LWC最佳光谱指数不尽相同, 张海威等[12]通过分析8种光谱指数与植被LWC的关系, 得出GVMI 指数反演效果最佳, 而本研究中GVMI指数预测效果并不理想, 这可能是由于不同植物种类的叶片光谱反射率存在差异。 前人开发了许多水情指数来估测LWC, 但很难找到一个在每个生育时期都能保持良好预测的水情指数。 Liu[13]等研究表明, 玉米生长过程中叶片含水率、 绿度、 结构均在变化, 光谱指数预测精度也随之变化。 尽管在不同生长时期和叶层位置, 往往可以筛选出最优光谱指数用于局部估测, 但该类方法存在两个主要局限: 一方面, 作物整个生长期内光谱响应动态性强, 使得同一指数难以稳定适用于各阶段; 另一方面, 需针对每一时期分别构建光谱指数与回归模型, 工作量大、 适用性差。 相比之下, 小波函数在不同生育时期下仍保持较高的估测稳定性。 主要得益于小波变换在时频域上的局部化特性, 能够有效抑制由冠层结构、 生物量变化及光照条件波动等因素引起的全波段噪声干扰。 与光谱指数依赖全谱段积分或比值不同, 小波变换可聚焦于光谱曲线中与目标变量最相关的局部细节, 从而在生育期跨度较大时仍能维持良好的特征提取能力。
近年来, 机器学习方法被广泛应用于高光谱变量估测。 如Random Forest(RF)、 支持向量机(SVM)和集成学习算法, 凭借其出色的非线性建模能力, 在多个LWC反演研究中表现出高精度与强泛化能力[14, 15]。 然而, 此类方法存在模型“ 黑箱” 特性, 特征解释性较差, 且对数据规模和特征选择依赖较高。 在不同方法对比中, 小波变换在兼顾频域与时域特征提取方面表现突出, 具有明显优势(表5), 并且通过分离光谱中的不同尺度吸收特征, 小波函数能够有效提取与叶片水分相关的关键特征(图4), 验证了其在高光谱反演任务中的应用潜力。 尽管已有研究尝试将小波变换应用于高光谱遥感数据的特征提取与建模, 但多数工作集中于小波去噪或单一小波基下的估测性能评估, 且对小波参数(如尺度、 边界条件)及小波族的系统筛选尚不充分。 前人的研究中, 常用mexh、 db、 haar和bior小波函数提取光谱特征, 用于估测森林叶面积指数、 生物量。 Yao等[7]筛选了所有连续小波函数, 发现基于8尺度下的db7连续小波函数的小波特征最适合估算小麦冠层生物量。 然而, 他们的研究仅局限于尺度3至8的连续小波函数, 而忽略了其他尺度及离散小波函数的作用, 存在一定局限性。 在估测植物含水量上, 王延仓等[4]利用Haar小波函数在尺度1处实现了对冬小麦LWC的高效估测, 但仅局限于单个小波函数的计算, 未能全面评估不同小波函数的潜力。 同样, Cheng等[3]通过Haar和Db小波函数提取短波红外区域的特征, 发现其与LWC的相关性显著(R2=0.69), 但由于选用的小波类型有限, 模型性能受到一定制约。 本研究提出基于大规模小波家族系统筛选的特征选择策略, 首次对108个连续小波函数和126个离散小波函数进行了全面分析, 结合尺度敏感性分布与特征重要性评估, 科学确定最优小波函数与尺度组合; 并发现连续小波变换在尺度6下短波红外区域的特征最具代表性, 优于传统的DWT及光谱指数方法, 表明小波变换在克服生育期变化影响方面具有显著优势; 对比多个主流小波基在不同生育期与叶层下的建模效果, 发现Coif3在估测精度与稳定性方面具有更优表现, 尤其在非顶层叶片的鲁棒性更强。 本研究不仅在小波基选择与尺度设定上提出了系统化分析流程, 也在多生育期、 多层位下的光谱建模中验证了小波特征的稳健性与优越性, 为精准农业中水分监测提供了新的技术路径。
| 表5 不同光谱分析方法在作物叶片水分估测中的对比分析 Table 5 Comparative analysis of different spectral analysis methods in crop leaf moisture estimation |
尽管基于小波函数所构建的估测模型表现出较高的精度, 但是一个经验模型的构建必须通过验证才能证明其实用性和稳定性[16]。 为此, 选取与LWC相关性较好的13种水情指数与其进行比较。 Coif3小波函数经过验证计算得到的决定系数很理想, 有着最低的RMSE和RE, 并且通过Coif3反演得到的预测值与实测值拟合方程的斜率最接近1(图6)。 从不同生育时期和层位来看, 不管是光谱指数还是小波函数都表现出不一致性, 并且都在中层的验证较差。 这也说明了由于LWC在光谱全波段范围内的影响均不单一, 植物和非植物因素, 如层位、 地点和生育时期, 极大地影响了光谱指数与小波函数估测LWC的性能[17, 18]。 这一发现解释了本文所选的光谱指数和小波函数的有效性在本研究不同生育时期和层位中表现较差的现象。
研究基于光谱指数与小波函数构建的玉米LWC估测模型来源于一个为期两年的田间试验数据。 其实用性和稳定性仍然需要进行多年多点多生育时期的田间试验分析, 利用足够量的数据进一步构建玉米LWC的估测模型, 以提高光谱技术在植株LWC的诊断能力。
作物叶片含水量是衡量作物生长过程中重要的营养指标之一。 为了深入探究小波函数在LWC估测中的应用, 评估了水情指数和小波函数在玉米LWC关键生育时期及不同层位的预测能力。 相比于选用的水情指数, 经过CWT分解后的小波函数在6尺度下短波红外区域的预测效果最好, 并得出Coif3(S6W1725)小波函数在稳定性和适用性上表现更佳, 能够有效的在玉米不同生育时期和层位估测LWC。 通过模型验证, 以小波系数Coif3(S6W1725)作为光谱变量构建的玉米LWC全生育期的估测模型, 能较为精确的估测不同生育时期不同层位LWC, 有效减少了生育时期对于估测精度的影响。 该函数被证明是LWC的最佳估测小波函数, 但还需在其他作物上进一步测试, 以测试模型的稳定性和可复制性。
| [1] |
|
| [2] |
|
| [3] |
|
| [4] |
|
| [5] |
|
| [6] |
|
| [7] |
|
| [8] |
|
| [9] |
|
| [10] |
|
| [11] |
|
| [12] |
|
| [13] |
|
| [14] |
|
| [15] |
|
| [16] |
|
| [17] |
|
| [18] |
|

