作者简介: 孙旭东, 1978年生,华东交通大学机电与车辆工程学院教授 e-mail: sunxudong_18@163.com
适时采收是提高秋月梨果实采收优质率和贮藏品质的重要科学探索。 果园环境光变化和仪器台间差会导致实验室内建立的预测树上果实品质数学模型的性能下降。 为了减少果园环境光变化和仪器台间差的影响, 采用全局模型、 外部参数正交化(EPO)方法对环境光影响和仪器台间差进行校正, 并预测秋月梨的最佳采收期。 采用2019年到2020年之间采集的599枚秋月梨样品建模, 80枚秋月梨作为差异矩阵样品, 2023年7月至9月采集的120枚秋月梨作为预测集。 经过全局模型和EPO校正后, 偏最小二乘回归(PLSR)模型的预测能力均有提高, 全局模型最优、 EPO次之。 经过全局模型校正后, 仪器A的模型预测仪器B的数据, 决定系数由0.11提高到0.68, 可溶性固形物(SSC)的预测均方根误差(RMSEP)由1.2%降低到0.69%。 同时进行台间差和环境光变化全局模型校正后, 决定系数由0.46提高到0.79, RMSEP由1.23%降低到0.70%。 采用全局模型修正后的最佳模型预测最佳采收期, 手持式仪器的预测结果与破坏性分析结果一致性较好, 实验果园的最佳采收期为2023年8月26日, 55%的采样秋月梨SSC含量超12%, 满足采收标准。 结果表明, 全局模型校正能同时有效减小仪器台间差和环境光变化对模型预测性能的影响。 本研究验证了采收期预测能提高秋月梨的采收品质, 为秋月梨最佳采收期无损预测提供了参考。
Timely harvesting is an important scientific exploration to improve the high-quality rate of autumn moon pear fruit harvest and storage quality. The influence of light changes in the orchard environment and inter-instrument differences can lead to a decline in the performance of the mathematical model established in the laboratory when predicting the quality of fruits on the tree. This study simultaneously considers the influence of light changes in the orchard environment and inter-instrument differences. It utilizes the global model and external parameter orthogonalization (EPO) method to correct for the influence of environmental light and inter-instrument differences, thereby predicting the optimal harvest date of autumn moon pears. The experiment used 599 autumn moon pear samples collected between 2019 and 2020 for modeling, 80 autumn moon pears as difference matrix samples, and 120 autumn moon pears collected from July to September 2023 as the prediction set. After global model and EPO correction, the predictive ability of the partial least squares regression (PLSR) model was improved, with the global model being the best and EPO being the second. After global model correction, the model of instrument A predicted the data of instrument B, and the coefficient of determination increased from 0.11 to 0.68, and the root mean square error of prediction (RMSEP) of soluble solid content (SSC) decreased from 1.2% to 0.69%. After simultaneous correction of inter-instrument differences and ambient light changes using the global model, the coefficient of determination increased from 0.46 to 0.79, and RMSEP decreased from 1.23% to 0.70%. The best model corrected by the global model, was used to predict the optimal harvest date, and the prediction results from the handheld instrument were consistent with the destructive analysis results. The optimal harvest period of the experimental orchard was August 26, 2023, and 55% of the sampled autumn moon pears had an SSC content exceeding 12%, meeting the harvest standard. The results demonstrate that global model correction can effectively mitigate the impact of inter-instrument differences and ambient light changes on the model's predictive performance. At the same time, this study verified that harvest date prediction can improve the harvest quality of autumn moon pears, providing a feasible reference for non-destructive prediction of the optimal harvest date of autumn moon pears.
可溶性固形物含量(SSC)是鲜梨的口感和采收品质的主要评价指标, 国家标准(GB/T 10650— 2008)规定[1], 鲜梨采收时的最低食用标准为SSC≥ 12%。 Walsh等[2]推荐的鲜梨采收标准也是SSC≥ 12%。 采收期影响树上鲜梨的采收品质和贮藏品质, 目前主要通过破损抽样测定SSC含量, 确定果园的最佳采收期。 但最佳采收期的确定, 往往需要较大范围和多频次的抽样检测, 破损检测难以满足, 迫切需要开发无损检测技术和方法。 手持近红外仪器具有原位、 快速和无损检测等优点, 是树上果实品质检测的最佳选择[3, 4, 5]。
绝大多数手持近红外光谱(NIRS)仪器的数学模型都是在实验室中建立的。 当使用场景转换至果园环境时, 手持NIRS仪器在采集光谱信号时面临的主要挑战是来源于环境光的动态变化。 Saranwong等[6]首次指出: 手持仪器在果园应用中受到阳光变化的影响。 Zude等[7]明确指出: 手持NIRS仪器假设参比光谱是长时间保持稳定的, 但在果园环境中, 太阳光照强度变化会引起参比光谱的强弱变化。 Kanchanomai等[8]发现在720~950 nm的波长范围内, 果园中葡萄的光谱信号强度明显比实验室环境更高。 Feng等[9]的研究表明在不同光照条件下, 手持仪器(NIRGUN)预测猕猴桃干物质含量(DMC)和SSC时存在显著误差。 外部参数正交化(EPO)通过构建正交投影来估算并扣除外界变量的干扰[10]。 Sun等[11]用EPO校正“ 富士” 苹果在室外测量过程中环境光的影响, 模型性能得到了较好的提升。 全局模型方法通过将田间条件下果园的光谱数据添加到原始校准集中, 对模型进行重新建模, 明显提高了模型的预测能力。 刘燕德等[12]采用全局模型对贡梨在室外的果实光谱进行校正, 使用实验室校准的模型预测贡梨在室外的SSC时, 预测的均方根误差从局部模型的1.43%降低到0.49%。 另外, 手持仪器也存在台间差的问题, 需要进行模型转移。 Sun等[13]采用变权重正态变换算法, 将预测模型从F750手持仪器的主机转移到从机, 预测均方根误差从1.79%降低到1.00%。 因此, 手持仪器在果园应用中面临的影响是多方面的, 既涉及到果园环境光的变化, 也涉及到仪器本身的台间差变化, 这些都需要进行研究, 加速手持NIRS仪器的果园应用进程。
手持NIRS仪器具有原位、 无损检测的优点, 适合树上果实品质监测。 Zude等[14]使用手持NIRS仪器预测苹果的SSC、 硬度和叶绿素含量, 能够确定最佳采收期。 Peirs等[15]指出利用近红外光谱可以预测果园中不同苹果的成熟度以确定最佳收获日期, 验证相关系数在0.90到0.93之间。 Bertone 等[16]的研究表明NIRS结合化学计量法, 可以作为预测最佳采收期的可靠方法, 但存在误差。 Peirs等[17]使用NIRS预测苹果的最佳采收期, 不同品种苹果的误差不同, 在5到9天之间。 Cavaco等[18]开展了柑桔最佳采收期NIRS预测研究, 结果表明NIRS能有效预测柑桔最佳采收期, 但是在使用过程中需要进行校正。 Zude等[7]也指出NIRS在最佳采收期预测过程中, 需要对光谱进行校正。 因此, 在水果最佳采收期NIRS预测方面还需要深入研究。
基于以上文献综述, 本研究的具体目标如下:
(1)秋月梨成熟过程中的光谱及SSC特性; (2)仪器台间差对果实光谱的影响及校正; (3)环境光变化和仪器台间差对光谱的影响及校正; (4)秋月梨最佳采收期NIRS预测。
2019年至2020年, 共在超市购买599枚秋月梨样品, 用于在实验室内建立手持NIRS仪器主机的数学模型。 鲜梨样品于石家庄市晋州某秋月梨果园采集, 采样时间为2023年7月27日至2023年9月1日, 每次采样间隔为1周。 每次采样均于晴天, 每株果树均选择冠层外侧靠南位置采集1枚果实, 共选择20株果树, 每次采样20枚。 所选鲜梨表面无任何明显损伤或缺陷。 另外, 由超市分别采购两批秋月梨样品, 分别为60和20枚, 用于分析仪器的台间差以及实验室和果园的环境光变化影响, 所有鲜梨样品及SSC真实值统计信息如表1所示。
| 表1 秋月梨可溶性固形物(SSC)数据统计结果 Table 1 Statistical results of SSC of autumn moon pear |
采用两台H100F手持式NIRS仪器采集光谱, 其中一台为主机(A), 另一台为从机(B), 由北京阳光亿事达科技有限公司生产。 该仪器配备了滨松C111708MA光谱仪, 光谱范围为650~950 nm, 光谱间隔2 nm。 仪器的光源由两盏10瓦卤钨灯组成, 两盏光源的夹角为100° 。 在H100F探头前盖内安装了聚四氟乙烯参比, 用于仪器的校准和参比光谱采集。 在正式采集样品光谱前, 首先记录参考光谱和暗电流光谱, 积分时间为150 ms。 随后, 移除前盖, 将秋月梨样品紧密且稳定地放置在探头上, 记录样品光谱, 积分时间为150 ms。 光谱由Lab-laboratory软件(V1.5)记录, 直接转化为吸光度光谱。 每枚秋月梨样品沿着赤道线旋转90° 采集光谱, 每个样品收集四条光谱数据点, 每点均对应测量SSC值。
将秋月梨沿赤道每隔90° 用黑色马克笔做一标记, 以此标记为中心切出四块梨片, 去皮榨汁。 将果汁滴在折光仪上(PAL-1, Atago, Japan), 重复测量三次, 作为该采样点的SSC值。 折光仪的测量范围为0~53%, 精度为± 0.2%。
根据Choi等[19]研究结论, 选择700~930 nm进行光谱分析。 采用Savitzky-Golay二阶导数处理, 平滑点数为11, 多项式阶次2。 采用偏最小二乘法(PLS)建模, 模型的主成分因子(f)采用留5法交叉验证优化。 EPO是基于PLS算法的, 其核心是计算光谱差矩阵, 以获得穿透水果组织进入检测器的纯光谱信号, 将同一样品在两种不同测试条件下所测得的光谱进行对应波长相减, 生成光谱差矩阵, 作为EPO校正使用。 通过光谱差矩阵计算出的校正系数, 对光谱矩阵进行校正, 其中EPO的关键参数为g, 在1~20内进行优化。 此外, 采用全局模型, 即将生成差异矩阵的原始光谱矩阵合并到建模集中重新建模, 可以提升模型的泛化能力。 模型评价参数包括: 交叉验证确定系数(
如图1所示, 样品的光谱和SSC测量从7月27日开始, 随着时间的推移SSC逐渐增加, 然而, 在8月3日采收的样品测得的SSC值达到了最低值, 这个变化可能是由采样样品的差异引起的。 光谱曲线的变化趋势与SSC的变化趋势基本一致, 整体呈下降趋势。 采用700和930 nm处的漫反射光谱值来表征光谱曲线的变化。 其中, 700 nm处的漫反射值与叶绿素相关并逐渐降低[图1(a)], 主要原因是秋月梨成熟过程中, 表皮颜色会从青褐色逐渐转变为黄色。 Afonso等[22]报道, 在果实成熟过程中, 叶绿素逐渐降解, 果实表皮的绿色逐渐消失。 960 nm处的光谱值与水分的吸收有关[23], 由于H100F仪器波长范围的限制, 采用930 nm来反映随水分含量的变化[图1(b)]。 采收于8月26日后样品的光谱值出现略微增长趋势, 这主要是由于秋月梨在成熟过程中SSC与水含量呈现负相关所导致[2]。
| 图1 SSC在700 nm(a)和930 nm(b)处的漫反射光谱随开花天数的变化曲线Fig.1 The variation curves of the diffuse reflectance spectra of SSC at 700 nm (a) and 930 nm (b) with the time since flowering |
果实成熟过程中700和930 nm处的漫反射光谱曲线变化趋势分为两个阶段, 采收于8月26日后样品的SSC增长趋势放缓(图1), 这主要与果实理化性质的变化有关。 水果的漫反射光谱包含吸光度和散射信息, 且以散射效应为主[24]。 果实在成熟过程中硬度下降, 漫反射光谱值在一个拐点后先下降后稳定[22]。 这一现象揭示了秋月梨在成熟过程中, 其品质指标如糖分含量等会在达到某一时点后随着采收日期的推移而稳定。 根据国家标准GB/T 10650— 2008[1]对鲜梨的要求, 可溶性固形物(SSC)含量达到或超过12%被视为秋月梨的适宜采收标准。 因此, 利用手持式近红外光谱仪(NIRS)能够有效地预测最佳采收时间[2]。
采用700~930 nm范围内的二阶导数(2D)光谱进行建模和模型验证, 700 nm之前的波段不用于建模, 主要是排除叶绿素对果实光谱的干扰[19], 930 nm之后的波段被舍弃主要是排除水分含量对果实光谱的干扰[23], 水分会给光谱的漫反射造成影响, 使光谱值有一定程度的下降。 因此, 需要排除700 nm之前和930 nm之后的波段, 排除叶绿素和水分对实验预测模型的干扰, 提高模型的性能。
另外, 通过对比漫反射光谱与其二阶导数光谱图, 在秋月梨的二阶导数光谱[图2(b)]中, 700 nm附近出现的吸收峰主要关联于叶绿素a的存在[19]。 而740 nm处的吸收峰则主要反映了CH2基团四倍拉伸振动的特征[26]。 此外, 836 nm 处的峰值归因于水分子的O— H振动[27]。 至于924 nm 附近的吸收峰, 它主要与CH和CH2基团的三频拉伸振动有关[22, 26]。 二阶导数处理不仅有效去除了基线漂移, 还显著增强了光谱中的特征信号[28], 因此, 在模型构建与校正过程中, 采用二阶导数光谱。
2.2.1 校正
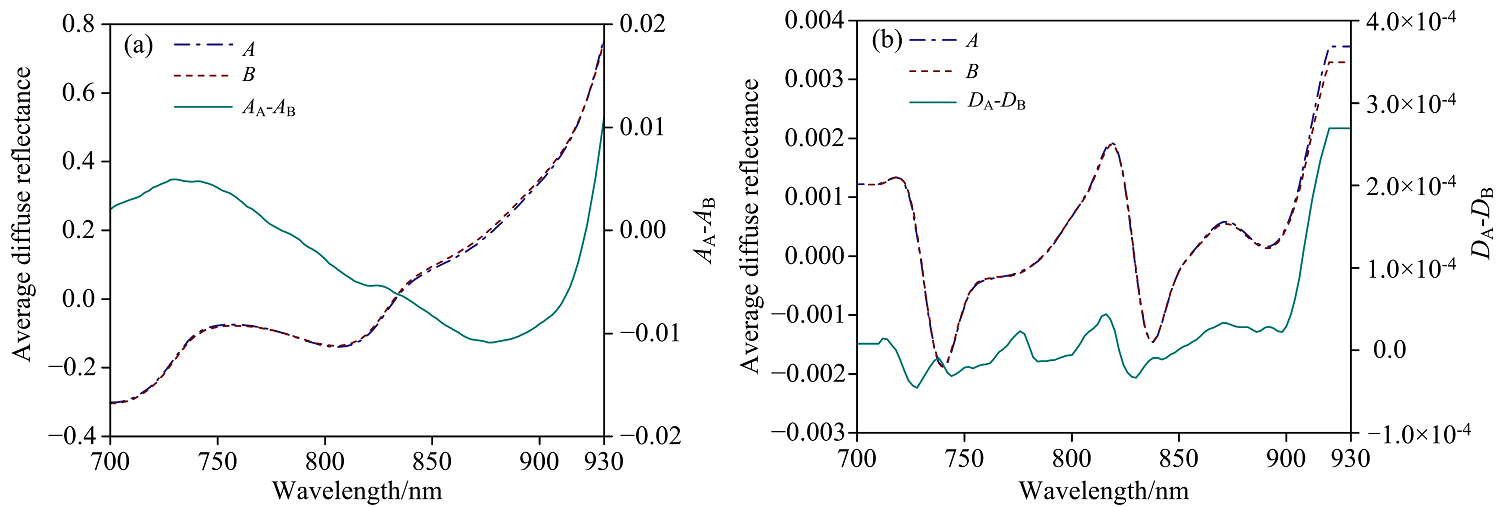
同一型号仪器之间也会因为安装精度以及元器件造成差异, 如图3所示为仪器A和B对秋月梨(n=80)在实验室环境中测得的平均漫反射光谱和二阶导数光谱, 仪器之间的差异在原始漫反射光谱中并不明显[图3(a)], 但是在2D光谱的部分波段, 900~930 nm之间存在明显差异[图3(b)]。 在室内环境中使用仪器A对仪器B进行预测取得了较差的结果, 远不如仪器A对仪器A的预测结果(表2, 第1行), 因此, 研究采用EPO和全局模型对仪器差异进行校正。 使用EPO方法后, 模型的准确性获得极大的提升的同时, 使仪器A对仪器A和B之间的预测差异获得了很大程度的减小(第2行)。 使用全局模型获得了最佳结果, 模型的
| 图3 秋月梨在不同仪器条件下的平均漫反射(a)和二阶导数光谱(b)Fig.3 The average diffuse reflectance spectra (a) and second derivative spectra (b) of Autumn Moon pear under different instrumental conditions |
2.2.2 验证
在实验室环境中, 选取在2019年到2020年之间用仪器A测得的秋月梨光谱数据作为建模集合, 对用仪器B测得2023年采收的6个批次的SSC进行外部验证。 从RPD来看, 全局模型的RPD值较高(表2, 第3行),
| 表2 在实验室环境中对仪器台间差异模型校正的预测结果 Table 2 The prediction results of the model calibration for inter-instrument differences in the laboratory environment |
2.3.1 校正
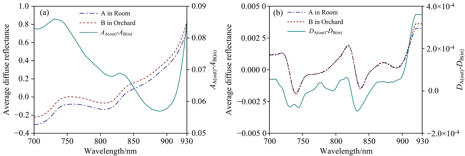
在果园测量过程中, 环境光与水果组织的相互作用也会影响手持NIRS仪器的精度。 如图所示为仪器A和B对秋月梨(n=80)在实验室环境和果园环境中测得的平均漫反射光谱[图4(a)]和二阶导数光谱[图4(b)], 可以明显看到在700~930 nm的波长范围内, 在室外环境中使用仪器B测量得到的平均光谱高于在实验室环境中使用仪器B所测, 在900~930 nm的波长范围内, 在室外环境中使用仪器B测量得到的平均2D光谱高于在实验室环境中使用仪器B所测。 使用仪器A在室内的环境中对仪器B进行预测, 无论是室内还是室外都得到了较差的结果(表3, 第1、 2行)。 孙旭东等[29]采用全局模型、 EPO对葡萄光谱进行环境光校正时, 模型的RPD和偏差取得了较好的结果, 本次实验也采用同样的方法在同时考虑环境光和仪器的差异对秋月梨光谱进行PLS建模和验证, 结果如表3所示, 在对秋月梨光谱数据进行2D预处理后, 采用EPO去除环境光和仪器的差异, 由于建立对果园和实验室模型预测的差异矩阵是分别采用在果园环境和实验室环境中所测得的光谱数据, 所以对果园和实验室的预测结果非常接近, 也表明了模型的稳定性(表3, 第3、 4行)。 采用全局模型获得了预测的最佳结果, 对使用仪器B在果园和实验室环境中预测的决定系数(
| 图4 秋月梨在不同仪器和室内外条件下的平均漫反射(a)和二阶导数光谱(b)Fig.4 The average diffuse reflectance spectra (a) and second derivative spectra (b) of Autumn Moon pear under different instrumental and indoor/outdoor conditions |
| 表3 同时考虑仪器台间差异和环境光影响对秋月梨模型校正的预测结果 Table 3 The prediction results of the model calibration for Autumn Moon pear, considering both inter-instrument variations and the influence of ambient light |
全局模型, 是将用于差异矩阵中的新样品添加到建模集合中, 再对模型进行预测, 根据先前的研究[29], 比例从1%开始逐渐增加至15%, 图5(a)和(b)分别为对实验室和果园环境中决定系数(
基于对全局模型比例的分析和与EPO预测结果的对比, 将差异矩阵中的新样品添加到建模集合, 添加的比例为建模集合的15%, 被验证为是在考虑环境光和仪器差异校正对秋月梨进行采收期预测的最佳方法。
2.3.2 验证
PLSR模型的外部验证容易受到采收日期和其他因素的共同影响, 在采收期变化方面, 水果的品质属性是动态变化的。 因此, 采收日期的变化对模型的外部验证提出了挑战。 在本研究中, 主要考虑到两个因素对预测的影响, 在实验室环境对实验室、 果园环境进行预测, 分别考虑到了仅有仪器之间的差异、 仪器和环境光同时存在的差异。 采用全局模型、 EPO预测采收期为7月27日到9月1日共六个批次秋月梨, 采收期为8月26日和9月1日的样品预测结果较好, 其中采用全局模型预测的模型性能最好(表4, 第5、 6、 11、 12行)。
| 表4 同时考虑仪器台间差异和环境光影响对8月26日和9月1日的模型预测的结果 Table 4 The predictions for samples harvested on August 26th and September 1st with consideration for both inter-instrument variations and sunlight effects |
模型在外部验证会受到仪器的影响, 使用全局模型对8月26日[图6(a)]和9月1日[图6(b)]在实验室环境中进行预测, 获得的模型性能分别的决定系数(
模型的外部验证在会受到仪器和环境光的影响, 使用全局模型对8月26[图6(c)]和9月1日[图6(d)]在果园环境中进行预测, 获得的模型性能分别的决定系数(
最佳采收期有利于提高果实采收品质。 中国国家标准(GB/T 10650— 2008 鲜梨)[1]规定, 丰水梨的可溶性固形物含量应高于12%; 秋月梨是2002年从日本引进的, 与丰水梨同属砂梨一类, 按照国标规定, 应参照丰水梨的标准进行采收。 无论是预测实验室还是果园环境的模型, 随着采收日期的变化, SSC大于12%比例的曲线趋势[图7(a)]与SSC变化趋势相符[图7(b)], 且都与真实测得的SSC趋势保持一致。 截止到8月17日, 树上大部分果实都不符合标准要求。 从8月26日开始, 预测的室内模型有61.7%的树上果实符合标准要求, 预测的室外模型有55%的树上果实符合要求, 这被认为是本季节的最佳采收日期。 最佳采收期受时间和气候的影响, 如果降水和云层覆盖形式的天气发生在果实发育的后期阶段, 会影响果实质量[30], 同一物种在温暖的气候环境中生长, 与极寒气候相比, 有着更好的颜色和更高的SSC[31], 在今后对秋月梨最佳采收期的预测中, 需要将气候带来的干扰也考虑进去。
在果园中使用手持式NIRS仪受光照强度的影响较大, 受同一型号不同仪器的影响则比较小。 白参比光谱和样品光谱同时受到环境光水平变化的影响[29]。 不同的水果会因为表皮厚度、 内部结构、 目标分析物的浓度等差异导致太阳光产生的漫反射不同[32], 进而影响在果园环境建立的模型的准确性。 因此, 实验室开发的手持式NIRS仪器模型需要转移到实际使用条件中[7]。 此外, 在不同的环境中对同一样品进行检测, 往往会使用两台同一型号的不同仪器, 进而忽略仪器之间的差异, 同一型号的仪器之间也会因为安装精密度有差异而造成在实际测量中会产生微小差异。 所以, 在模型转移的过程中也需要将仪器差异考虑进去。 在目前的研究中, 全局模型可以同时考虑到多个因素, 相较于局部模型有着更全面和鲁棒性好的优点。
考虑到光照强度差异和仪器差异两个因素, 研究在使用EPO方法对外界因素进行去除的同时, 添加了全局模型的方法。 由于手持NIRS光谱仪会受到外界因素的干扰, 实验中应该排除这两个因素以外的其他干扰, 在果园和实验室对样品测量时要保证位置测量的一致性, 并且尽可能的减少测量的时间间隔以免水果内部成分发生变化。 接下来, 将采用全局模型来校正其他多个因素影响的组合, 如环境光、 仪器和温度。 全局模型校正后NIRS模型显示了一个可靠的结果, 支持使用手持式NIRS仪器在不破坏水果的情况下来评估商业种植秋月梨果实的最佳采收期。 为了获得最佳采收日期的可靠判断, 还需考虑气候对手持式近红外光谱仪的影响, 鉴于不同气候条件会影响光照强度以及水果表面的含水量, 在后续实验中, 需考虑更多的因素和实现对模型的进一步优化。
验证了环境光影响和仪器台间差校正能提高数学模型的预测能力。
(1)实验室建好的模型的预测能力, 受到仪器台间差和环境光变化的影响。
(2)全局模型和外部参数正交化校正均提高了数学模型的预测能力, 全局模型最优、 外部参数正交化校正次之。
(3)手持式仪器能预测秋月梨的最佳采收期, 提高采收到优质果实的比例, 为果园最佳采收期无损预测提供了可行方法。
| [1] |
|
| [2] |
|
| [3] |
|
| [4] |
|
| [5] |
|
| [6] |
|
| [7] |
|
| [8] |
|
| [9] |
|
| [10] |
|
| [11] |
|
| [12] |
|
| [13] |
|
| [14] |
|
| [15] |
|
| [16] |
|
| [17] |
|
| [18] |
|
| [19] |
|
| [20] |
|
| [21] |
|
| [22] |
|
| [23] |
|
| [24] |
|
| [25] |
|
| [26] |
|
| [27] |
|
| [28] |
|
| [29] |
|
| [30] |
|
| [31] |
|
| [32] |
|

