作者简介: 严 霞,女, 1991年生,吕梁学院物理与电子信息工程系讲师 e-mail: yanx5765@126.com
表面增强拉曼散射(SERS)技术在农药残留的检测方面具有很大的潜力, 但在痕量和定量分析方面仍存在局限性。 提出了一种基于Au@4-ATP@Au凸多面纳米颗粒(NCPs-Au@4-ATP@Au)为增强基底的农药检测方法。 XRD结果表明, 由于探针分子对金前驱的选择性和诱导性, NCPs-Au@4-ATP@Au纳米颗粒与球形金纳米颗粒晶面结构信息有明显差异, 具体体现在(200)处的强反射峰。 结合扫描电镜与吸收光谱可以确定, NCPs-Au@4-ATP@Au同时具备球形与多面体结构特征。 吸收峰较球形金纳米颗粒有明显红移, 更加接近激发光波长, 这在理论上更有利于SERS信号的增强。 实验证明, 以表面包覆高指数晶面, 同时内嵌4-ATP作为探针分子的NCPs-Au@4-ATP@Au为增强基底, 农药多菌灵(CBZ)的检测限(LODs)达到0.66 nmol·L-1。 通过对CBZ分子的拉曼与SERS光谱位移分析可以初步确定, CBZ分子是通过NH键和C=O键吸附于金纳米颗粒上。 Au@4-ATP@Au利用多凸面结构体提高灵敏度的同时, 以4-ATP作为定标信号, 归一后光谱稳定性和时效性也得到改善。 内标峰强度矫正后光谱稳定性的相对标准偏差(relative standard deviation, RSD)低至7.03%, 半个月内信号强度仅降低5.87%, RSD为2.94%。 结果表明, NCPs-Au@4-ATP@Au提高了SERS在农药检测方面的痕量和定量检测能力, 该基底有望推动SERS在实际中的应用。
Surface Enhanced Raman Scattering (SERS) technology has great potential in detecting pesticide residues, but there are still limitations in trace and quantitative analysis. This paper proposes a pesticide detection strategy based on nano scale convex polyhedrons Au@4-ATP@Au (NCPs-Au@4-ATP@Au). XRD results showed that because of the selectivity and inductance of probe molecules to gold precursors, the crystal surface structure information of NCPs-Au@4-ATP@Au nanoparticles and spherical gold nanoparticles is significantly different, which is reflected in the strong reflection peak at (200). Combined with SEM and absorption spectrum, it can be determined that NCPs-Au@4-ATP@Au has both spherical and polyhedral structure characteristics. Compared with spherical gold nanoparticles, the absorption peak was significantly red shifted and closer to the wavelength of excited light, which was theoretically more conducive to enhancing the SERS signal. Experiments showed with NCPs-Au@4-ATP@Au, which was coated with high index crystal surface and embedded with probe molecule 4-ATP as the enhanced substrate, the Limits of detection (LODs) of Carbendazim (CBZ) reached 0.66 nmol·L-1. According to the Raman and SERS spectral shift CBZ molecules, it can be preliminarily confirmed that CBZ molecules are adsorbed to gold nanoparticles through the NH bond andC=Obond. Au@4-ATP@Au improved the sensitivity because of the multi-convex structure. Meanwhile, with 4-ATP as the calibration signal, the spectral stability and timeliness were also improved. After normalization, spectral stability’s relative standard deviation (RSD) was as low as 7.03%, the signal intensity decreased by 5.87%, and RSD was 2.94% in half a month. The results showed that NCPs-Au@4-ATP@Au improved the trace and quantitative detection ability of SERS in detecting pesticides, and the substrate is expected to promote the practical application of SERS.
农药多菌灵(carbendazim, CBZ)是一种高效、 低毒和广谱的内吸性有机磷并咪唑类杀菌剂, 广泛应用于农作物的生产、 储存及保鲜中, 其残留能引起癌症、 肝细胞功能障碍、 胚胎毒性、 生殖细胞凋亡、 致畸、 不孕、 造血和发育毒性染色体畸变等[1, 2]。 亟需实现痕量农药的准确快速检测。 传统的农药残留分析方法主要包括理化检测法[3](色谱检测技术及其联用技术等)以及生物检测法[4](生物传感器、 酶联免疫测定、 生物芯片等), 这些方法存在复杂的样品前处理过程, 或是成本高、 缺乏普适性。 表面增强拉曼散射(surface enhanced Raman scattering, SERS)法因具有快速、 无损、 高灵敏的检测特征而受到广泛关注, 应用于食品安全、 环境检测等众多领域, 在痕量农药检测方面的应用也如火如荼[5]。 实际产品中残留农药含量低, 分布不均匀, 产品基质复杂, 导致拉曼信号相对较弱且易受荧光和背景噪声干扰, 对SERS光谱数据的影响不容小觑, 加大了农药SERS光谱的定量分析难度。
作为SERS技术的核心, 增强基底即金属纳米颗粒, 其形貌和尺寸是影响探测灵敏度的关键因素。 为了不断提高SERS的灵敏度, 在贵金属纳米颗粒形貌控制方面展开了大量研究, 其中不乏一些多分支结构的纳米颗粒[6]。 这些结构灵敏度高, 但基底稳定性差(RSD >15%)[7]。 在定量研究方面, 信号不稳定是致命的。 为了提高基底稳定性, 研究者将具有强拉曼信号的探针分子包覆在金属纳米颗粒内部, 来矫正纳米颗粒聚集, 激光能量等不稳定因素造成的探测不稳定性, 从而提高SERS定量准确度。 2018年, Lin等制备了Au@4-MBA@Au纳米球, 以4-甲基硫代苯甲酸(4-MBA)为内嵌探针分子, 实现了同批次基底稳定性的RSD=3.54%的研究[8]。 2020年, Hasi等制备了Au@4-MBA@Ag核壳纳米棒, 基底稳定性的RSD=9.74%[9]。 这些将探针分子包覆于基底内部的纳米颗粒虽稳定性好, 但包覆的多为简单的低指数晶面结构, 其灵敏度有待进一步提高。 要实现痕量农药的高精度定量分析, 增强基底应在具备高灵敏度的同时兼备高稳定性, 对贵金属纳米颗粒结构和定标上提出了要求。 本工作以具有高指数晶面和内嵌探针分子的Au@4-ATP@Au凸多面纳米颗粒(nanoscale convex polyhedrons, Au@4-ATP@Au)为增强基底, 对多菌灵进行了痕量、 定量检测与分析。 结果表明, NCPs-Au@4-ATP@Au在痕量农药SERS探测的应用中具有较高的灵敏度和定量精度。
便携式拉曼光谱仪(QE65000, 美国Ocean Optics); 近红外波段窄线宽激光器(FC-785-500-MM, 上海熙隆光电科技有限公司); Y型反射式光纤探头(785 nm RPB, 美国InPhotonics); 紫外可见分光光度计(CHK-2561B, 北京昌科仪自动化科技有限公司); 扫描电子显微镜(GeminSEM 300, 德国ZIESS); X射线衍射仪(D8 ADVANCE, 美国Bruker); Zeta电位分析仪(Zetasizer Nano ZS, 英国Malvern)等。
硼氢化钠(NaBH4, 96.0%), 抗坏血酸(AA, ≥ 99.0%), 十六烷基三甲基溴化铵(CTAB, 99.0%), 十六烷基三甲基氯化铵(CTAC, 97.0%), 多菌灵(C9H9N3O2, 99.0%)阿拉丁试剂有限公司; 氯金酸(HAuCl4·H2O, Au≥ 47.8%), 盐(NaCl, ≥ 99.5%), 亚硝酸钠(NaNO2, ≥ 99.0%), 无水葡萄糖(C6H12O6, AR)中国国药集团; 4-氨基苯硫酚(4-ATP, C6H7NS, 97.0%)上海麦克林生化科技有限公司; 叶绿素(C55H72MgN4O5, C55H72MgN4O6)上海伊卡生物技术有限公司; 氨基酸(C3H7NO3, >99.0%)梯希爱(上海)化成工业发展有限公司。 所有试剂均为分析纯。
NCPs-Au@4-ATP@Au的制备过程采用种子介导的方式[10], 如图1所示。 采用Xia[11]的方法制备粒径约50 nm球形金纳米溶胶; 将球形金纳米溶胶离心清洗后再溶于等体积超纯水中, 取清洗后的60 mL溶胶与200 μL的4-ATP (0.1 mmol·L-1) 混合后27 ℃水浴孵化30 min, 得到Au@4-ATP溶胶; 将得到的Au@4-ATP溶胶离心清洗后再溶于1/3体积的CTAC溶液中(100 mmol·L-1); 在30 mL CTAC溶剂的纳米溶胶中加入1.3 mL的AA溶液(100 mmol·L-1), 并在水浴下将20 mL的HAuCl4(0.5 mmol·L-1)溶液缓慢注入, 当溶液变为蓝色时得到NCPs-Au@4-ATP@Au溶胶; 将得到的NCPs-Au@4-ATP@Au离心清洗3次后, 避光存储于4 ℃冰箱中备用。
CBZ溶液的制备: 用甲醇溶剂配置高浓度(1 mmol·L-1)CBZ母液, 用甲醇稀释到10-6 mol·L-1量级, 再用超纯水将CBZ溶液稀释到所需浓度, 并控制探测溶液中甲醇的含量低于1%, 以避免甲醇与CBZ分子之间的竞争吸附。
SERS探测: 将CBZ溶液, NCPs-Au@4-ATP@Au溶胶, NaCl(5 mol·L-1)按体积比20∶5∶2混合于4 mL容量的石英比色皿中, 将激光到样能量设置为100 mW, 积分时间为10 s, 每条光谱为采集5次的平均值。
利用DFT方法对CBZ分子的几何结构进行优化, 计算选用B3LYP/6-311G++基组。 在分子结构优化后, 计算得到的CBZ分子拉曼光谱为理论真空拉曼光谱, 结果中没有虚波数。 对比实测固体拉曼光谱, 波数的矫正因子确定为0.979 8。 用GaussView5.0软件用于数据与图片输出。 用势能分布(potentoal energy distribution, PED)计算振动模式归属, 得到振动基频的贡献大小。 光谱中每个特征峰是多个振动模式耦合的结果, 每个振动模式占比用贡献度(单位: %)表示。
利用扫描电子显微镜(scanning electron microscope, SEM), 紫外可见吸收光谱, Zeta电势(ζ )和X射线衍射(X-ray diffraction, XRD)对纳米颗粒进行表征。 如图2(a)SEM图所示, 制备的NCPs-Au@4-ATP@Au在顶点处有八个豆荚, 面心处有六个小突起, 为凸多面体结构。 该形貌纳米颗粒的产率大于95%, 相邻两顶点间间距平均为(62.94± 4.62) nm, 其尺寸统计如图2(a)插图所示。 从SEM图可以看出, NCPs-Au@4-ATP@Au在面心处仍保留了球形形貌特征, 可从紫外可见吸收光谱中得到佐证。 图2(b)的紫外可见吸收光谱显示NCPs-Au@4-ATP@Au溶胶在523和646 nm处分别有明显的吸收峰, 其中523 nm处较小的吸收峰就体现了SEM图所显示的球形结构特征[13, 14]。 而在646 nm处吸收峰半宽较窄, 证明NCPs-Au@4-ATP@Au具有较高的均匀性。 可以看出, NCPs-Au@4-ATP@Au在具备球形结构特征的同时, 吸收峰有很明显的红移, 这对于激发光源波长为785 nm的系统, 更有利于局部表面等离子体共振(local surface plasmon resonance, LSPR)和SERS信号的增强。 图2(b)中插图为NCPs-Au@4-ATP@Au溶胶照片。 ζ 是胶体稳定性的一个关键标志。 ζ 值(负或正)越大, 相邻粒子之间的静电斥力水平以及在散射过程中的斥力水平越高, 当ζ 值大于30 mV时, 胶体已达到电稳定状态[12]。 图2(c)表明, NCPs-Au@4-ATP@Au的ζ 势为41.5 mV, 说明胶体是电稳定的。 XRD图像可以证实物质的结晶性质。 图2(d)表明NCPs-Au@4-ATP@Au的XRD谱的2θ在25°~90°范围内, 在38.33°、 44.54°、 64.71°、 77.67°和81.87°有Bragg衍射峰, 这些位置分别对应金纳米颗粒的 (111)、 (200)、 (220)、 (311)和(222)晶面[13]。 与球形金纳米颗粒相比, NCPs-Au@4-ATP@Au的XRD结果展示出一个较强的(200)反射峰[12]。 结果表明, NCPs-Au@4-ATP@Au纳米颗粒与球形金纳米颗粒晶面结构信息有差异, 分析认为在制备过程中探针分子选择、 诱导金前驱特异性生长的结果。
图3(a, b)分别为CBZ的分子结构编号以及DFT优化的几何构型, 其中图3(b)上图为分子结构侧视图。 可以看出, 除了H22, H23外, 所有原子均在一个平面内, 且H22, H23关于分子平面对称。 H22和H23关于分子平面的夹角及二面角D(17, 19, 20, 22), D(17, 19, 20, 23)分别为-60.677°和60.677°。
| 图3 多菌灵分子 (a): 结构与编号; (b): DFT优化的几何构型Fig.3 Molecule structure of carbendazim (a): Structure and numbering; (b): Optimized geometry by DFT |
图4为DFT计算的真空下CBZ理论拉曼光谱和实验测得固体CBZ拉曼光谱。 CBZ分子的实验光谱和修正后的计算光谱峰位、 峰强信息吻合。 由于理论光谱基于单分子真空环境, 实际探测为晶态大气环境, 部分光谱信息有所偏移。
| 图4 CBZ拉曼光谱 DFT拟合(绿线), 固体(黄线)Fig.4 Raman spectra of CBZ fitted by DFT (green line); solid (yellow line) |
实验测得CBZ分子的主要拉曼特征峰为562, 617, 721, 845, 890, 958, 1 016, 1 154, 1 225, 1 269, 1 325, 1 458, 1 473, 1 572, 1 584, 1 616和1 653 cm-1, DFT计算得到的为561, 629, 736, 834, 887, 983, 1 013, 1 171, 1 236, 1 260, 1 322, 1 456, 1 481, 1 577, 1 591, 1 622和1 642 cm-1, 主要峰位归属见表1。 CBZ的强拉曼特征峰位分别在617, 721, 1 016, 1 269和1 473 cm-1处, 这些峰位归属为多个化学键伸缩振动(ν)和弯曲振动(δ)的耦合。 其中617 cm-1处为νC3C4, νC5C6, δC5N11C14和δC4N12C14的振动组合, 721 cm-1处为δC4N12C14, δN11C14N12和νO19C17的组合, 1 016 cm-1处为δC3C4N12, δC6C5N11, δC5N11C14和δC4N12C14的组合, 1 269 cm-1处为δH13N11C14, νC2C3, δH9C3C2和νN11C5的组合, 1 473 cm-1处为δH7C1C2, νC2C3, δH8C2C3和δH16N15C17的组合。
| 表1 CBZ主要拉曼特征峰峰位归属 Table 1 The main vibration attribution of theoretical and experimental spectra of CBZ |
NCPs-Au@4-ATP@Au溶胶, 溶胶与CBZ溶液混合后的SERS光谱以及固体CBZ拉曼光谱见图5。 由于内嵌4-ATP分子, NCPs-Au@4-ATP@Au溶胶在382, 1 079和1 580 cm-1处表现出强的信号, 其中382和1 079 cm-1处的峰与CBZ的SERS特征峰没有重叠, 1 580 cm-1处的特征峰与CBZ分子在1 584 cm-1处的特征峰重叠。 与NCPs-Au@4-ATP@Au溶胶混合后, CBZ主要SERS特征峰在568, 634, 732, 1 004, 1 029, 1 107, 1 148, 1 223, 1 263, 1 316, 1 369, 1 461, 1 525和1 612 cm-1。
| 图5 固体CBZ拉曼光谱(绿线), CBZ的SERS光谱(紫色), 空白基底光谱(黄线)Fig.5 Raman spectrum of solid CBZ (green line), SERS spectrum of CBZ (purple), spectrum of blank substrate (yellow line) |
SERS光谱与固体CBZ拉曼光谱相比617, 721, 1 016和1 325 cm-1处特征峰偏移到了634, 732, 1 029和1 316 cm-1处。 这些位置处的振动主要与νC3C4(22), νC5C6(21), δC5N11C14(19), δC4N12C14(16), δC3C4N12(14), δC6C5N11(14), δH8C2C3(18), δH9C3C2(17)和δH10C6C1(16)有关。 这些振动归属CBZ分子环Ⅰ和环Ⅱ上原子的振动。 在SERS光谱中没有探测到1 572, 1 584和1 653 cm-1处的特征峰, 这些特征峰的振动与νC1C6(13), νN15C14(12), δH16N15C17(10), δN11C14N12(11), δC5N11C14(14), νO18C17(17)和νC6C5(11)有关。 另外在1 004和1 525 cm-1处, SERS信号明显而固体拉曼信号难以识别, 这与δC3C4N12(14), δC6C5N11(14), δC5N11C14(12), δC4N12C14(10), δH16N15C17(18), δH8C2C3(11)有关。 特征峰位移和强度的改变可能是环Ⅰ, 环Ⅱ上原子以及环外N15和O18参与了Au表面的相互作用。 由此可以推断, CBZ分子是通过位置15的—NH键和位置17的C=O键吸附到金纳米颗粒上, 且环Ⅰ和环Ⅱ靠近金表面(如图6所示)。
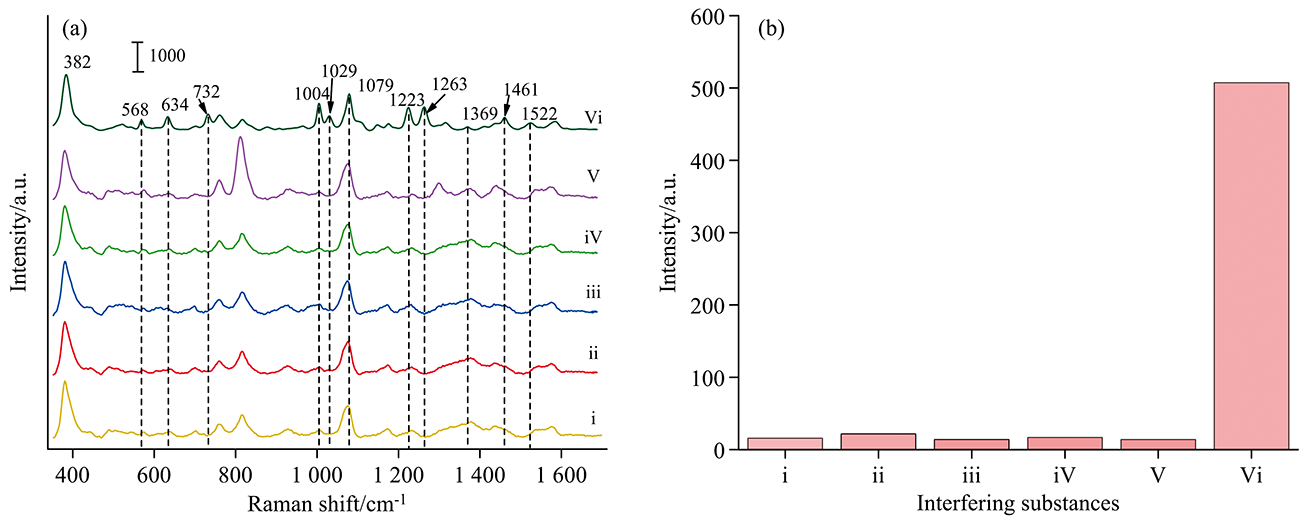
将纳米溶胶与农产品农药残留环境下各种潜在可溶性干扰物质混合来测试NCPs-Au@4-ATP@Au的选择性。 以NCPs-Au@4-ATP@Au作为SERS增强基底, 农产品中潜在可溶性干扰物质与CBZ的SERS光谱以及各类物质光谱在1029cm-1处的峰强分布见图7(a, b)。 可以看出只有CBZ在568, 634, 732, 1 004, 1 029, 1 107, 1 223, 1 263, 1 369, 1 461和1 525 cm-1等处有明显的SERS信号。 但在相应的波数下, 农产品中潜在的可溶性物质, 包含含氮物质(NaNO2), 氨基酸, 叶绿素和葡萄糖均未观察到明显的SERS信号。 这表明NCPs-Au@4-ATP@Au对CBZ具有较好的选择性, 有望用于农产品中CBZ残留的检测中。
SERS增强基底的稳定性是制约SERS技术定量分析的关键因素。 将探针分子嵌入到增强基底中, 减少探针分子与目标分子之间的竞争吸附, 可以提高定量精度。 为了测试探针分子的内标矫正作用, 对以NCPs-Au@4-ATP@Au为增强基底, CBZ溶液(100 nmol·L-1)SERS光谱的稳定性和时效性进行了探测与分析。 图8(a)和(b)分别为连续采集20次CBZ的SERS光谱以及以探针分子4-ATP在1 079 cm-1处峰强强度归一后, CBZ在1 029 cm-1处的峰强分布。 没有进行强度归一时, 光谱的RSD为9.64%, 在经过强度归一后, RSD降为7.03%。 这证明将探针分子内嵌于增强基底内部可有效提高SERS探测的稳定性。
在进行强度归一后, NCPs-Au@4-ATP@Au长时间保存仍具有很好的稳定性。 图8(c)和(d)分别为同一批次不同保存天数NCPs-Au@4-ATP@Au为基底, CBZ溶液(100 nmol·L-1)的SERS光谱和CBZ在1 029 cm-1处经归一后的强度分布。 半个月内, 经过归一后, CBZ在1 029 cm-1处的RSD为2.94%, 没有归一时, RSD为6.57%。 另外, 归一后, 半个月内CBZ的信号强度降低了8.55%, 而没有归一时降低了22.29%。 这表明, 经过内标分子的强度归一后, CBZ的SERS探测稳定性得到改善, 这有利于农药SERS探测的定量分析。
接下来对NCPs-Au@4-ATP@Au为SERS增强基底, CBZ的探测灵敏度进行了研究。 图9(a)为梯度浓度(0.8~100 mmol·L-1)CBZ溶液的典型SERS光谱。 随着浓度的降低, CBZ在568, 732, 1 029, 1 233, 1 263, 1 369, 1 461和1 522 cm-1等处的SERS信号逐渐变弱。 但当浓度降低为0.8 nmol·L-1时, 在1 029 cm-1处的信号仍可识别。 对CBZ溶液的进一步的定量分析表明, 在CBZ溶液浓度低于10 nmol·L-1时, 1 029 cm-1处的特征峰强度与溶液浓度呈良好的线性相关性[图9(b)黄线], 其线性拟合方程和相关系数见表2。 根据计算公式[式(1)]
式(1)中σ 为空白NCPs-Au@4-ATP@Au多次探测的标准偏差, k为线性拟合曲线的斜率。 以1 029 cm-1处的特征峰进行计算, CBZ溶液的检测限(limits of detection, LODs)为0.66 nmol·L-1, 其与其他增强基底的探测结果对比如表3所示。 结果表明NCPs-Au@4-ATP@Au为增强基底, CBZ的检测灵敏度达到国际先进水平, 该基底有望用于农药残留的实际快速检测中。
| 表2 低浓度范围(<10 nmol·L-1), CBZ在1 029 cm-1处归一前后峰强与浓度的拟合参数 Table 2 Normalized and unnormalized linear regression equation of CBZ based on NCPs-Au@4-ATP@Au at low concentration range (<10 nmol·L-1) |
| 表3 不同SERS增强基底CBZ的检测限对比 Table 3 Comparison of LODs of CBZ with different SERS enhanced substrates |
回归相关系数是评价定量分析准确性的重要指标之一。 图9(b)绿线和黄线分别为浓度低于10 nmol·L-1时, CBZ溶液在1 029 cm-1处的SERS峰强与浓度的线性拟合曲线和1 029 cm-1处特征峰强度以1 079 cm-1处峰强归一后强度与溶液浓度的拟合曲线。 未归一时, CBZ在1 029 cm-1处的信号强度与浓度的相关系数R2=0.970 9, 归一后, R2=0.994 5。 CBZ在以内标分子在382 cm-1处峰强归一后, 1 029 cm-1处的SERS峰强与浓度的线性拟合R2=0.982 7, 拟合度低于以1 079 cm-1处归一的拟合, 也是以1 079 cm-1处强度进行强度归一分析的原因。 R2的提高表明, 经内标分子的强度归一后, CBZ的SERS光谱定量准确性得到了提高, 这有助于推动SERS技术在农药残留快速检测方向的实际应用。
利用具有凸多面结构且内嵌探针分子的NCPs-Au@4-ATP@Au, 实现了CBZ的痕量检测, 检测灵敏度达国际先进水平。 以4-ATP为定标信号, 将低浓度CBZ峰强矫正后的强度与浓度的拟合相关系数提高到0.99以上。 结果表明, NCPs-Au@4-ATP@Au在CBZ的SERS探测中, 具有较高灵敏度和稳定性, 有望突破SERS技术定量难点, 全面推动SERS技术在痕量农药监测方面的应用。
| [1] |
|
| [2] |
|
| [3] |
|
| [4] |
|
| [5] |
|
| [6] |
|
| [7] |
|
| [8] |
|
| [9] |
|
| [10] |
|
| [11] |
|
| [12] |
|
| [13] |
|
| [14] |
|
| [15] |
|
| [16] |
|
| [17] |
|
| [18] |
|
| [19] |
|
| [20] |
|
| [21] |
|

