作者简介: 王道琦, 2000年生, 烟台大学物理与电子信息学院硕士研究生 e-mail: wangdaoqi@s.ytu.edu.cn
1.27 μm波段的O2(a1Δg)气辉辐射具有辐射信号强、 空间跨度大、 自吸收效应弱等诸多内禀优势, 是临近空间大气遥感的重要目标源, 对于中高层大气的动力学及热学特性研究, 全球温室气体探测, 以及臭氧浓度三维层析等卫星遥感具有重要的科学意义和应用价值。 首先基于O2(a1Δg)光化学反应模型, 研究了O2(a1Δg)气辉的产生机制及湮灭机理, 在此基础上, 计算得到了O2(a1Δg)气辉体辐射率廓线, 并基于HITRAN数据库给出的谱线强度及爱因斯坦系数, 提出了两种计算O2(a1Δg)气辉光谱分布的方法。 采用最新的分子光谱参数、 光化学反应速率常数及F10.7太阳紫外通量等参数, 结合光化学反应模型计算得到的O2(a1Δg)气辉体辐射率廓线信息, 借助逐线积分算法, 建立了1.27 μm O2(a1Δg)气辉临边观测辐射传输理论模型, 并分析了自吸收效应对不同临边观测高度处气辉辐射光谱强度的影响。 然后, 利用剥洋葱算法, 对大气图像扫描成像吸收光谱仪(SCIAMACHY)在临边观测模式下测得的O2分子近红外大气带的气辉辐射信号进行处理得到了目标层O2(a1Δg)气辉辐射光谱, 并通过谱积分算法反演得到了O2(a1Δg)气辉的体辐射率廓线信息。 最后通过对比气辉临边观测辐射传输理论模型计算得到的以及SCIAMACHY仪器测量反演得到的1.27 μm O2(a1Δg)辐射光谱及体辐射率廓线信息, 验证1.27 μm O2(a1Δg)气辉临边观测辐射传输理论模型的可靠性与合理性。 基于比对结果, 对O2(a1Δg)气辉临边辐射强度和体辐射率的影响因素进行了分析。 分析结果表明, 在50 km以上的高空区域, 理论计算结果与卫星实测结果吻合性较好, 而随着海拔高度的降低, 两者的偏差逐渐增大, 这是因为在临边观测模式下, 中低空区域的卫星遥感信号受自吸收效应及大气散射效应影响严重。 此外, 与HITRAN数据库给出的谱线强度参数相比, 基于爱因斯坦系数建立的O2(a1Δg)气辉临边辐射模型与卫星实测结果更加吻合。 1.27 μm O2(a1Δg)气辉临边观测辐射传输理论模型的建立, 对于临近空间大气遥感, 奠定了理论基础。
Because the 1.27 μm O2(a1Δg) airglow radiation has the advantages of strong radiation signal, large space span and weak self-absorption effect, it is an important target source for near-space atmospheric remote sensing. In addition, it has important scientific significance and application value, such as research on the dynamics and thermal characteristics of the middle and upper atmosphere, global greenhouse gas detection, and three-dimensional tomography of ozone concentration. Firstly, based on the photochemical model of O2(a1Δg), the generation and annihilation mechanisms of O2(a1Δg) airglow were studied. The volume emission rate profile of O2(a1Δg) airglow was calculated on this basis. Based on the spectral intensity and Einstein coefficients given by HITRAN, two methods for calculating the spectral distribution of O2(a1Δg) airglow were proposed. Using the latest molecular spectral parameters, photochemical reaction rate constant and F10.7 solar ultraviolet flux, combined with the volume emission rate profile information of O2(a1Δg) airglow calculated by photochemical reaction model. The radiative transfer theoretical model of the 1.27 μm O2(a1Δg) airglow in limb-viewing was developed by using a line-by-line integration algorithm. The influence of the self-absorption effect on the spectral intensity of airglow radiation at different tangent heights is analyzed. Then, the O2(a1Δg) airglow radiation spectrum of the target layer is obtained by processing the airglow radiation of the O2 molecule near the infrared atmospheric band measured by scanning imaging absorption spectrometer for atmospheric chartography (SCIAMACHY) under the limb-viewing by onion peeling algorithm. Spectral integration algorithm is used to retrieve the volume emission rate profile of O2(a1Δg) airglow. Finally, the reliability and rationality of the radiative transfer theoretical model of the 1.27 μm O2(a1Δg) airglow in limb-viewing is verified by comparing the radiation spectrum and the volume emission rate profile obtained from the theoretical calculation and retrieval of the SCIAMACHY instrument. Regarding the comparison results, factors that contribute to the limb radiation intensity and volume emission rate of O2(a1Δg) airglow are analyzed. Analyses show that theoretical calculations agree with measured satellite results in the altitude region above 50 km. However, the deviation between the two increases gradually with the decrease of altitude because the satellite remote sensing in the middle and low altitude regions are seriously affected by the self-absorption effect and atmospheric scattering effect in limb-viewing. Additionally, compared with the spectral line intensity parameter given by the HITRAN database, the O2(a1Δg) airglow limb radiation model based on Einstein coefficients is more consistent with the measured satellite results. Establishing the radiative transfer theoretical model of the 1.27 μm O2(a1Δg) airglow in limb-viewing provides a theoretical foundation for atmospheric remote sensing in near space.
气辉是地球大气中一种微弱但十分重要的光辐射现象。 因易受大气重力波、 潮汐波和行星波等多种大气活动过程调制, 气辉往往充当大气动力学研究的重要示踪剂。 此外, 气辉谱线的频移、 展宽、 强度变化等信息及其分布特征, 为在全球尺度下实现大气风场、 温度场, 以及臭氧浓度的三维分布探测提供了理论依据。 因此, 气辉对于空间物理以及卫星遥感具有重要的科学意义和应用价值。
根据产生气辉辐射的大气成分的不同, 气辉分为原子气辉和分子气辉。 长期以来, 原子气辉被广泛应用于高层大气遥感, 地基气辉成像干涉仪[1](ground-based airglow imager interferometer, GBAII)利用氧原子的绿线(557.7 nm)气辉, 成功探测了地球上空90~100 km的大气风速、 温度和体辐射率。 搭载于ICON卫星上的全球高分辨率热层成像仪[2](Michelson interferometer for global high-resolution thermospheric imaging, MIGHTI)利用氧原子的红线(630.0 nm)和绿线气辉, 完成了大气风廓线的反演。 但由于其辐射高度的局限性, 只能用来探测90 km以上的中高层大气。
O2是大气的主要成分之一, 其含量较为稳定(占比约21%), 且参与大气中很多光化学反应过程, 是实现中低层大气探测的重要示踪剂。 O2分子在762 nm及1.27 μm两个波段有较强的气辉辐射, 分别由(b1
O2红外大气带气辉可以用来反演大气中O3分子的全球三维空间分布。 2017年Martyshenko[4]等利用1.27 μm波段辐射提高了利用宽带发射辐射计的大气廓线测量仪(sounding of the atmosphere using broadband emission radiometry, SABER)在60~80 km高度范围内臭氧浓度的反演精度, 同年, Yankovsky[5]等利用SABER观测到的1.27 μm O2(a1Δg)气辉辐射反演了中间层臭氧的高度分布。 2020年Li[6]等利用光谱仪和红外成像系统(optical spectrograph and infrared imager system, OSIRIS)观测到的1.27 μm O2(a1Δg)气辉辐射反演了日间中间层臭氧浓度。
O2红外大气带气辉是卫星遥感临近空间大气风场温度场的重要目标源。 加拿大StaSci计划部署的中间层成像迈克尔逊干涉仪(mesospheric imaging Michelson interferometer, MIMI)与美国宇航局MIDEX计划支持的波迈克尔逊干涉仪(waves Michelson interferometer, WAMI), 分别采用观测O2(a1Δg)气辉的强、 弱两组气辉谱线(每组3条)探测大气风场及温度场信息, 以实现对地球温度和风的同步测量[7]。 紧随MIMI和WAMI概念的提出, 2019年, Wu[8]等提出了临近空间风温传感干涉仪(near-space wind and temperature sensing interferometer, NWTSI), 拟通过临边模式观测O2 1.27 μm气辉测量临近空间的大气风场和温度场信息, 并论证了风温廓线探测的精确度和时空分辨率。
此外, 1.27 μm O2(a1Δg)波段在碳卫星遥感方面也发挥着关键作用。 日本的GOSAT碳卫星、 美国的OCO-2碳卫星, 以及我国自主研制并发射的TanSat和GMI碳卫星, 都是通过测量CO2近红外强、 弱吸收带(2.0和1.6 μm)的吸收光谱反演大气CO2的浓度信息, 为消除气溶胶及地表压强对CO2浓度廓线反演精度的影响, 均增加O2分子A带光谱通道, 以获得更加准确的CO2混合比信息[9]。 由于1.27 μm附近的O2吸收带要弱于0.76 μm, 并且1.27 μm波段在波长上更接近CO2吸收波段(1.6和2.0 μm), 因此基于1.27 μm O2(a1Δg)波段建立辐射传输模型更加准确, 也减少了因大气路径光谱变化而带来的不确定性。 近年来, 利用1.27 μm O2(a1Δg)波段反演CO2混合比柱的可行性不断得到验证。 2018年, 美国布法罗大学的Sun[10]等利用大气图像扫描成像吸收光谱仪(scanning imaging absorption spectrometer for atmospheric chartography, SCIAMACHY)评估了O2(a1Δg)波段在温室气体星载遥感应用中的可行性及优越性。 2020年, 法国国家科学研究中心的Bertaux[11]等在MicroCarb光学概念中评估了O2(a1Δg)对提高CO2混合比柱反演精度的贡献。
本工作旨在建立O2(a1Δg)气辉的临边观测辐射传输模型, 为地球大气遥感, 尤其是为临近空间大气风场温度场、 臭氧浓度, 及温室气体的卫星探测及反演提供科学参考。
在地球大气中, O2分子第一激发态a1Δg的产生过程主要有两个: O3的紫外光解, 以及O(1D)的能量转移。 其中, O3分子的紫外光解是O2(a1Δg)产生的直接过程, 在80 km以下的中低空区域占主导地位; 而O(1D)的能量转移是O2(a1Δg)产生的间接过程, 在80 km以上的高空区域占主导地位。 O3分子在吸收太阳紫外辐射后被光解产生1个O2分子和1个O原子, 其中O2分子处于第一激发态a1Δg, 通过自发辐射跃迁至基态O2(X3
O3光解机制, 是O3分子在Hartley光谱带吸收太阳紫外辐射后, 在光解离过程中形成高能级态的O2(a1Δg), 反应方程式如式(1)所示
O(1D)的能量转移机制, 是O3分子在Hartley带及O2分子在Schumann-Runge带、 Lyman带光解产生的高能级态O(1D)与基态O2(X3
共振吸收机制, 是基态O2分子吸收1.27 μm波段的太阳辐射光谱, 通过能级跃迁, 产生第一激发态O2分子, 反应方程式如式(6)所示
O2(a1Δg)态的O2分子在不断产生的同时也在不断损耗, 能级寿命为65 min, 其损耗过程包含两种机制, 一是自发辐射, 二是与大气中性分子发生碰撞湮灭。 O2(a1Δg)损耗过程中发生的反应为
其中, O2(a1Δg)自发辐射过程中伴随的1.27 μm辐射即为氧气红外大气波段气辉。
在假设光化学平衡的情况下, O2(a1Δg)分子的数密度可由式(9)给出[12]
式(9)中, X={O2, N2, O}, Y={N2, O2, CO2, O3, O}, A为爱因斯坦系数, ϕ 为量子效率, 0.54< ϕ η < 1.0, R为光解速率, R1=8.1× 10-3, R2=5.35× 10-9, R3=3.2× 10-11exp(70/T), K为O2(b1
激发态O2(a1Δg, v')分子一般通过振动、 电子猝灭和辐射等方式跃迁到O2(X3∑ g, v″)基态。 由于激发态O2(a1Δg, v'≥ 1)猝灭为O2(a1Δg, v'=0)态的速度比电子态跃迁的速度快很多。 因此, 激发态O2(a1Δg, v'≥ 1)的振动分布可以忽略不计, O2(a1Δg)分子的数密度约等于O2(a1Δg, v'=0)分子的数密度。
1.27 μm O2(a1Δg)气辉的体辐射率η 1.27 μm, 可由它的第一激发态分子数密度
图2所示为O2(a1Δg)分子和O2(a1Δg)分子在v'=0, v'=1, v'=2处的体辐射率分布图。 可以看出, 在v'=0处的体辐射率和O2(a1Δg)分子的体辐射率大致吻合。 同时由于海拔40~60 km区域内臭氧含量高, 因此体辐射率在该区域达到最大值。
| 图2 O2 (a1Δg)以及O2 (a1Δg)分子在v'=0, v'=1, v'=2振动带的体辐射率Fig.2 The volume emission rate (VER) of O2 (a1Δg) and O2 (a1Δg) molecules at v'=0, v'=1, v'=2 |
由1.2节可知, O2(a1Δg, v'=0)在O2(a1Δg)辐射带内占主导地位, 因此, O2(a1Δg)气辉的光谱分布取决于O2(a1Δg, v'=0)态的转动能级分布及其各自的谱线线形, 并且其转动跃迁受温度影响[15]。
每条转动谱线J的辐射率可以由该振转能级的爱因斯坦系数A(J)与上能级的相对布局比重的乘积计算得到, 即[16]
式(11)中, Qtot(T)为振动态的总配分函数, Q(J', T)为转动谱线J的配分函数, 由大气温度T决定, 分别表示为
式中, EJ'为上态能量, kB是玻尔兹曼常数, h是普朗克常数, c是光速。
图3给出了O2(a1Δg)态分子各转动谱线J对应波长函数的辐射率, 以右刻度显示, 辐射谱线以绿色标记。 为了便于比较, 图3同时绘制了HITRAN数据库给出的O2(a1Δg)态分子各转动谱线J对应的吸收线强度, 以左刻度显示, 并用红线标记。 在图中可以清晰的观测到辐射光谱与吸收光谱的分布稍有不同。 这是因为辐射光谱与吸收光谱分别由爱因斯坦A系数及B系数决定, A、 B系数之间的关系可以表示为
式(14)和式(15)中, AJ'J″为自发辐射, 单位为s-1, BJ″J'为吸收, BJ'J″为激发辐射, 单位为cm3· (J· s2)-1, gJ'和gJ″分别为上能级和下能级的统计权值。
| 图3 O2(a1Δg)分子的辐射速率和HITRAN数据库的吸收线强度Fig.3 The emission rate of O2(a1Δg) molecule and absorption line strength of HITRAN database |
振动-跃迁的爱因斯坦系数和吸收系数相互关联。 在吸收线强度的理论计算中, 根据Simeckova等提出的公式, 将不同温度下的线强度Sv(J', T)与具体转动谱线J的爱因斯坦系数A(J)联系起来, 即可表示为[11]
式(16)中, v0表示转动谱线J的中心波长。
由式(11)、 式(12)及式(16)可以计算得到每条转动谱线的辐射率ε (J')与吸收线强度Sv(J', T)的比值
图4中所示为不同温度下O2(a1Δg)态各转动谱线对应波长的辐射率和吸收线强度的比值。 可以看出, 该比值是一个与温度相关的值, 并随跃迁总角动量单调变化。 长波跃迁谱线的比值大于短波跃迁谱线, 而比值的斜率随温度升高而减小。
与对地观测模式相比, 临边观测的垂直分辨率相对较高, 受背景辐射影响较小, 是获取大气参数垂直廓线信息的重要观测模式。 临边观测卫星测得的信号是地球大气各层辐射信息在卫星载荷视线方向上沿路径的积分结果。 对于原子气辉的临边观测, 视线方向的总辐射一般为各层体辐射率的Abel型积分。 而对于1.27 μm波段的O2(a1Δg)气辉, 由于自吸收效应的存在, Abel型积分算法已不再适用, 其在波数v处跃迁产生的单频辐射I(v, zobs)可根据式(18)计算
式(18)中, z为临边最远的点zs与观察点zobs之间沿视线的某一位置, η 1.27 μm为1.27 μm O2(a1Δg)气辉的体辐射率, fJ(z)=
式(19)中, α (v)为分子吸收系数, n(z)为氧分子的数密度。
对于多层大气而言, 每个观测方向都定义了一条射线路径。 图5为临边观测几何路径模型。 假设由大气层和射线路径相交所定义的路径段具有相同的辐射和吸收特性。 利用逐层分析, 对沿视向路径z的积分可以看作为许多离散层n辐射强度的加和。 每一层都看作是近似均匀的, 并以适当的平均温度和压力来表征。 因此, 涉及式(19)透射率并基于逐层分析的临边辐射传输方程可以表示为
式(20)中, J为转动谱线, R(v)为辐射源函数, un是第n层的氧分子的数量。
在1.27 μm O2(a1Δg)气辉临边光谱辐射的模拟计算过程中, 我们对0~200 km高度范围内的大气层以1 km为间隔进行分层。 其中, O、 O2、 N2、 CO2的初始浓度和温度廓线数据均来自MISIS 2.0模型[17], 计算精度在1%~5%以内。 图6所示为计算得到的1.27 μm波段O2(a1Δg)气辉在30、 50、 70和90 km的切线高度上的有、 无自吸收效应的临边辐射光谱。 可以看出, 自吸收效应在高空(高达约70 km)较弱, 在低空较为显著。 此外, 谱线强度的分布随着高度的增加也发生变化, 这是由于不同海拔高度有着不同的大气温度导致玻尔兹曼分布有所差异以及谱线自吸收效应共同引起的。
| 图6 1.27 μm O2(a1Δg)气辉在不同切线高度上的有、 无自吸收效应的临边辐射光谱Fig.6 1.27 μm O2(a1Δg) airglow limb spectra with and without the effect of self-absorption effect at different tangent heights |
图7所示为1.27 μm波段O2(a1Δg)气辉在临边观测模式下的总辐射强度, 以及有无考虑自吸收效应时的目标层辐射强度。 可以看出, 在较高空域的切线高度(70 km以上), 切线高度上的光谱亮度更接近于临边光谱亮度, 且自吸收效应几乎不产生影响。 而在低海拔, 切线高度上的辐射亮度相对较小, 自吸收效应影响明显。 这一现象主要由两个因素造成, 其一是O2数密度随高度降低而增大, 因此低空具有较强的自吸收效应, 另外一个是在海拔越低的区域, O2(a1Δg)体辐射率越小(见图2)。
搭载于Envisat卫星上的SCIAMACHY是一个八通道光栅光谱仪, 能够以临边、 对地、 掩星三种模式测量240~2 380 nm范围内地球大气和地表的散射、 透射及辐射光谱信息[18]。 在临边观测模式下, SCIAMACHY一般观测近地面至93 km的空间区域。 而从2008年7月到2012年4月, 该仪器每月定期两次以临边模式观测地球大气的中间层和低热层区域。 对于海拔50~150 km高度区域, 其使用30个临边切点观测中层和下层热层。
本研究使用SCIAMACHY数据集8.02版本的1b级光谱数据, 并借助SCIAMACHY命令行工具SciaL1c对临边观测光谱数据进行校准。 提取光谱通道6(1 050~1 700 nm)中1 230~1 320 nm波段的近红外光谱数据, 验证第二节建立的O2(a1Δg)气辉临边观测辐射传输模型。
在临边观测模式下, SCIAMACHY仪器可以获取近地面到150 km空间范围内的大气辐射信息, 垂直分辨率约为3.3 km, 对于目标层, 其视场角对应的空间区域的半高宽约为2.6 km, 沿轨的水平分辨率约为400 km, 跨轨的水平分辨率约为240 km。
SCIAMACHY仪器在1.27 μm波段具有很高的光谱分辨率(λ /dλ ≈ 850), 且能够覆盖整个O2(a1Δg)气辉谱带。 图8(a)所示为2011年2月10日SCIAMACHY在日间测得的O2(a1Δg)气辉辐射光谱强度(轨道编号46789), 而图8(b)显示了相同轨道的暮气辉光谱, 两个子图中的4条谱线分别对应的临边高度为50、 60、 70和80 km。 可以看出, SCIAMACHY仪器在1.27 μm波段的O2(a1Δg)气辉谱带内具有较高信噪比, 但其在该波段的所有测量光谱都有两个坏点, 分别位于1 262.267和1 282.128 nm处(见图8)。 为了校正这两个波长的数据, 一般将它们的值替换为周围两个像素的平均值, 以减小后期光谱积分处理获取体辐射率时的系统误差。
需要指出的是, 除了气辉辐射信号, SCIAMACHY仪器在临边观测模式下不可避免的会同时探测到地球大气的多次散射信号。 大气散射光谱一般与气辉辐射光谱相互交叠, 且临边观测高度越低, 大气散射光谱的影响一般越大。 为了获取纯净的气辉辐射信号, 需要将大气散射背景从SCIAMACHY测得的总辐射信号中扣除。 各临边高度的大气散射背景均可用最高点对应的信号近似, 在扣除前, 需要按照各层临边辐射光谱的带外信号强度进行缩放, 以确保光谱强度校准后, 带外光谱强度为零。 对于1.27 μm波段的O2(a1Δg)气辉谱带, 其光谱范围覆盖1 240~1 300 nm, 因此, 可以利用SCIAMACHY仪器光谱通道6的1 210~1 240 nm以及1 300~1 340 nm两个带外光谱区域的信号进行背景强度校正。 图8所示的临边辐射光谱信号已经做背景强度校正处理。
实际观测时, 临边观测的每条路径均含有从地球大气层中不同层所贡献的信息, 如图5所示。 每层的特征在于体辐射率不同。 所以无论正演仿真, 或者反演算法, 均需要考虑视线方向上各层参数的影响。 首先为单个视线建立模型, 然后将推广到所有视线。 SCIAMACHY第m视线路径观测到的光谱强度记为Lm, 在忽略自吸收的情况下, 可写成沿该行视线的积分形式
$L_{m}(v)=\int_{-\infty}^{\infty} \eta(s) D(v, s) \mathrm{d} s$(21)
式(21)中, D(v)为谱线的多普勒线型, η (s)为体辐射率, s是沿视线的距离。 此处假设大气是球对称的。
使用I(v)替换掉η (s)D(v, s)表示出光谱切线高度处的光谱强度, 且将切线高度处的光谱强度作为未知数, 并通过将方程(21)中的积分近似为求和, 则可将该积分问题离散化, 称为代数求和形式
式(22)中, N是高度层的数量, wmn是由于积分近似求和规则决定的权重。
式(22)中的非线性方程存在唯一解, 可由一个类似于反置换的过程获得, 通常称为“ 剥洋葱” 。 直观地讲, 这一思路是, 顶部高度的信息可以通过顶部测量直接获得, 因为顶部测量结果没有其他高度层的贡献。 而对于第二目标层, 需要从第二个高度层测量的信号中去除顶部高度层的贡献, 依次类推。 从数学的角度讲, 这类反演可以写成
式(23)和式(24)中, 描述了临边观测中仅包含来自视线m切线高度的辐射强度。 反演从m=0开始, 迭代依次进行。
使用上述介绍的“ 剥洋葱” 技术对图8所示的临边观测辐射光谱信号进行处理, 计算后得到的50、 60、 70和80 km四个目标层的辐射光谱信号如图9所示, 其中图9(a)和(b)分别为日间O2(a1Δg)和暮光O2(a1Δg)的辐射光谱信号。 可以看出日间O2(a1Δg)大约在50 km切点高度处最强, 而最强的暮光O2(a1Δg)辐射强度则位于80 km附近的海拔高度范围。 根据气辉辐射机制, 不同切点高度的辐射强度主要是由O3分子的光解效率及其密度决定。 在日间, 太阳光几乎垂直入射大气层, 光程相对较小, 因此, O2(a1Δg)气辉的峰值出现在相对较低的空域, 而在日暮时分, 太阳光倾斜入射大气层, 光程相对较长, 所以, O2(a1Δg)气辉的峰值会往高空区域移动。
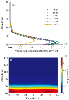
针对图9所示的目标层气辉辐射光谱, 在1 260~1 280 nm范围内, 逐层进行光谱辐射强度的谱积分, 即可得到O2(a1Δg)波段气辉的体辐射率廓线。 同一个卫星轨道的不同维度下的日间O2(a1Δg)气辉体辐射率剖面如图10(a)所示, 图10(b)显示了O2(a1Δg)体辐射率的纬度-高度分布情况。 可以看出, SCIAMACHY观测到的O2(a1Δg)体辐射率在日间的峰值高度大约50 km附近, 随着海拔的升高, 体辐射率逐渐减小, 在75~95 km的空间区域, O2(a1Δg)的体辐射率会出现一个小峰值, 其强度比50 km处的体辐射率至少小一个数量级。 50 km处的体辐射率峰值主要是O3分子的紫外光解效应产生的, 而75~95 km区域的第二峰值则源于两个方面, 其一是O3分子在此区域出现第二浓度峰值, 其二是O(1D)的能量转移作用的影响在此高度达到最大。
利用SCIAMACHY仪器在临边观测模式下获得的1.27 μm波段的光谱数据(见3.2小节), 以及根据3.3小节反演的体辐射率廓线信息, 可以对比验证本文在第2节建立的O2(a1Δg)气辉临边观测辐射传输模型的准确性。 SCIAMACHY仪器在临边观测模式下可以获取近地面到150 km空间范围内的大气辐射光谱信息, 考虑到SCIAMACHY仪器在临边观测模式下, 其较低观测区域的测量光谱容易受到大气散射及自吸收效应的双重影响, 而在较高空域, 又存在信噪比较低的问题, 因此, 理论结果与观测结果的对比区域限制在40~100 km空间高度范围内。
如3.2小节所述, SCIAMACHY仪器在O2(a1Δg)气辉所处的1.27 μm波段, 其光谱分辨率约为1.5 nm。 而本文在第2节建立的O2(a1Δg)气辉临边观测辐射传输理论模型采用的是逐线积分方法, 其光谱分辨率为0.001 cm-1(约0.000 16 nm)。 为了对比的严谨性, 需要在考虑SCIAMACHY仪器实际光谱分辨能力的基础上, 利用卷积计算的方法理论仿真光谱数据进行降分辨率处理, 使其光谱分辨率与SCIAMACHY仪器的观测数据一致。
图11(a)中蓝线所示为2011年2月10日, SCIAMACHY仪器在临边观测模式下探测到的O2(a1Δg)气辉65 km处的辐射光谱, 目标层对应的经纬度为西经31.5° 、 南纬74.4° , 当地时间为早晨八点左右, 此时太阳高度角为60° 。 为便于比较分析, 利用第2节建立的O2(a1Δg)气辉临边观测辐射传输模型计算得到的理论光谱也同时展现在图11(a)中, 其中红线及黑线分别代表转动谱线的光谱分布由爱因斯坦系数及谱线强度, 即式(11)及式(16)得到。 可以看出, 无论是谱带形状, 还是光谱强度, 理论计算结果与SCIAMACHY仪器的观测结果, 均表现出良好的一致性, 由此可以证明第2节建立的O2(a1Δg)气辉临边观测辐射传输理论模型的正确性。
为了比较爱因斯坦系数及谱线强度两个参数计算气辉辐射转动光谱分布的准确性, 图11(b)分别展示了两种情况下, 仪器观测结果与理论计算结果的比值随波长的变化关系。 可以看出, 相对于谱线强度获得的转动光谱分布, 采用爱因斯坦系数计算得到的O2(a1Δg)气辉辐射光谱与SCIAMACHY仪器的观测结果的吻合性更好。 SCIAMACHY仪器的观测结果与采用谱线强度计算得到的O2(a1Δg)气辉辐射光谱的比值随波长的增大而增加, 该结果与本文1.3的理论分析结果一致(见图4)。
为了进一步验证第2节所述的O2(a1Δg)气辉临边观测辐射传输理论模型的准确性, 我们对基于爱因斯坦系数计算得到的临边辐射光谱, 以及SCIAMACHY仪器在临边观测模式下探测的气辉辐射光谱, 采用上述的剥洋葱算法获得目标层的辐射光谱, 并在1 240~1 300 nm波段范围内进行光谱积分, 进而得到O2(a1Δg)气辉体辐射率的理论计算结果及仪器观测的反演结果, 以对比其在40~100 km高度范围内的吻合情况。 图12(a)所示为采用2011年2月SCIAMACHY获得的部分临边观测结果反演得到的体辐射率廓线, 以及相同时间及经纬度条件下的理论计算结果, 红、 绿、 蓝三组廓线分别对应太阳天顶角为25° ~35° , 55° ~65° , 80° ~90° 三种典型情况, 实线所示廓线为SCIAMACHY仪器反演得到的体辐射率, 而虚线所示为O2(a1Δg)气辉辐射传输模型计算得到的。 可以看出, 整体上, 理论计算结果与仪器的观测结果具有较好的吻合性, 氧气近红外大气波段体辐射率随太阳天顶角的增加而减小, 这是因为天顶角越小, O3分子及O2分子的光解效率越高, 因此O2(a1Δg)气辉的体辐射率也相对较强。
图12(b)表示SCIAMACHY观测结果与模型计算结果的相对差异。 可以看出, 对于高、 中、 低三种太阳高度角情况, 在45~65 km的空间范围内, 辐射传输模型的理论计算结果与SCIAMACHY仪器的反演结果都具有更好的一致性。 理论计算结果与仪器观测结果的差异随着空间高度的降低而增加, 这主要由两个原因造成, 即低空的自吸收效应和大气散射效应。 而在80~90 km的高空区域, 理论计算结果与SCIAMACHY仪器的反演结果之间的差异随空间高度变化的随机性很大, 这主要是SCIAMACHY仪器在高空区域信噪比低造成的。 在70~80 km的空间区域, 理论结果与观测结果之间的差异出现峰值(大于30%), 这是因为在该空间区域, O2(a1Δg)气辉的主要来源依然是O3分子的紫外光解, 理论计算结果的准确性十分依赖大气模式中O3分子的浓度廓线信息的准确性。 而随着空间高度的增加, O3分子浓度廓线信息的观测数据越缺乏且误差越大; 此外, 由于高空环境的复杂型, O3分子浓度变化的随机性也会随高度增加而增大。 这两个原因都会使得大气模式的准确性随空间高度增加而降低, 进而造成理论结果与观测结果之间的差异在70~80 km的高空区域出现峰值的现象。
针对1.27 μm O2(a1Δg)气辉在临边观测模式下的辐射传输特性进行了理论研究和实验验证。 首先根据O2(a1Δg)的光化学模型, 计算了其体辐射率, 利用逐线积分算法, 建立了1.27 μm O2(a1Δg)气辉临边观测辐射光谱计算模型, 该模型采用了最新的大气模式、 分子光谱参数、 化学反应速率常数和太阳通量等, 并基于辐射传输模型计算得到了O2(a1Δg)气辉的临边观测光谱亮度, 同时研究了气辉的光谱分布特征以及气辉谱线线型随高度的变化规律, 并分析了自吸收效应, 以及太阳高度角对O2(a1Δg)气辉辐射特性的具体影响。 然后, 采用剥洋葱算法对SCIAMACHY仪器在1.27 μm波段的临边观测光谱进行处理, 得到了各目标层的O2(a1Δg)气辉辐射光谱强度, 并进而计算了O2(a1Δg)气辉体辐射率的垂直廓线。 最后, 通过对比O2(a1Δg)气辉临边辐射传输模型的理论计算结果与SCIAMACHY仪器的临边观测反演结果, 验证了1.27 μm O2(a1Δg)气辉临边辐射传输模型的可靠性和准确性。
1.27 μm O2(a1Δg)气辉所具备的辐射信号强、 空间跨度大、 自吸收效应弱等内禀优势, 表明其在大气遥感应用中的巨大科学价值和工程意义。 在未来的研究工作中, 我们一方面将进一步挖掘O2(a1Δg)气辉深层次的物理原理, 不断优化1.27 μm O2(a1Δg)气辉临边观测辐射传输理论模型; 另一方面, 也将积极探索O2(a1Δg)气辉辐射模型在临近空间大气风场温度场卫星遥感、 全球碳卫星遥感, 以及O3分子浓度三维层析等卫星遥感领域的工程应用研究。
| [1] |
|
| [2] |
|
| [3] |
|
| [4] |
|
| [5] |
|
| [6] |
|
| [7] |
|
| [8] |
|
| [9] |
|
| [10] |
|
| [11] |
|
| [12] |
|
| [13] |
|
| [14] |
|
| [15] |
|
| [16] |
|
| [17] |
|
| [18] |
|

