作者简介: 肖春艳, 女, 1980年生, 河南理工大学资源环境学院副教授 e-mail: xiaochunyan@hpu.edu.cn
现在众多传感结构模型只能对单变量待测样本折射率进行传感检测, 为实现不同待测样本的高通量检测并降低环境因素的干扰, 提出了一种基于波长调制的变周期亚波长介质光栅多层膜复合结构。 以双周期为例进行分析, 变周期光栅层由两个具有不同光栅周期的介质光栅A和B组成, 通过有限元法对传输特性进行分析, TE偏振入射光以垂直于光栅层表面的方式入射至介质光栅表面, 当在介质光栅区域A和B内分别满足相位匹配条件时, 变周期亚波长介质光栅会形成GMR, 提供两个具有单一窄带的双离散态共振缺陷峰; 由于类F-P腔中含有周期性光子晶体, 光波传播到光子晶体会产生光子禁带, 提供一个较宽频带的连续态。 在满足相位匹配条件时, 变周期亚波长波导结构中形成的双离散态共振缺陷峰与周期性光子晶体多层介质薄膜构成的类F-P腔中形成的连续态发生耦合, 实现双重Fano共振。 然后通过探究波导层厚度 dw和光子晶体周期数N对传感特性的影响, 选择 dw=97 nm和 N=3, 使其达到FOM值最大。 最终因变周期介质光栅层是由两种具有不同介质折射率的材料构成, 在介质光栅区域A和B的光栅凹槽部分可设置两个传感检测单元, 建立基于波长调制的双重Fano共振全电介质传感模型, 设置不同的传感检测区域, 发现双重Fano光谱曲线在不同传感检测区域内都能随着 ns1和 ns2变化, 间接实现了对待测样本折射率的动态检测, 因而可在同一传感结构模型中实现对不同待测样本折射率区间的多变量检测。 结果表明, 在传感检测单元A内, FR1和FR2的FOM值分别为631.53和463.7 RIU-1; 在传感检测单元B内, FOM值分别为480.67和834.04 RIU-1。 所设计的传感结构模型通过结构参数优化, 实现了传感结构的高反射率、 高FOM值和较宽的检测范围, 对双重Fano共振提供了理论参考, 对待测样本折射率的多变量检测具有一定的研究价值。
Currently, many sensing structure models can only sense the refractive index of single variable samples to be measured. In order to achieve high-throughput detection of different samples to be measured and reduce the interference of environmental factors, a variable period subwavelength dielectric grating multilayer composite structure based on wavelength modulation is proposed. Take the double period as an example for analysis. The variable period grating layer is composed of two dielectric gratings, A and B, with different grating periods. The transmission characteristics are analyzed by the finite element method. The TE polarized incident light is incident on the surface of the dielectric grating in a manner perpendicular to the surface of the grating layer. When the phase matching conditions are met in the dielectric grating areas A and B, the variable period subwavelength dielectric grating will form GMR, Providing two double discrete resonance defect peaks with a single narrow band. Because the F-P-like cavity contains a periodic photonic crystal, the photonic band gap will be generated when the light wave propagates to the photonic crystal, providing a wide band continuous state. Under the condition that the phase matching condition is satisfied, the double discrete state resonance defect peak formed in the variable period subwavelength waveguide structure is coupled with the continuous state formed in the F-P-like cavity composed of the periodic photonic crystal multilayer dielectric film, and the double Fano resonance is realized. Then, by exploring the influence of waveguide layer thickness dw and photonic crystal cycle number N on the sensing characteristics, we choose dw=97 nm and N=3 to maximize the FOM value. Finally, the variable period dielectric grating layer is composed of two materials with different dielectric refractive indices, two sensing and detection units can be set in the grating groove part of the dielectric grating areas A and B, and a dual Fano resonance all-dielectric sensing model based on wavelength modulation is established. Different sensing and detection areas are set, and it is found that the dual Fano spectral curve can change with ns1 and ns2 in different sensing and detection areas; the dynamic detection of the refractive index of the sample to be measured is indirectly realized. Therefore, the multivariate detection of different refractive index intervals of the sample to be measured can be realized in the same sensing structure model. The results show that the FOM values of FR1 and FR2 in the sensor detection unit A are 631.53 and 463.7 RIU-1, respectively; in the sensor detection unit B, the FOM is 480.67 and 834.04 RIU-1 respectively. The sensor structure model designed has realized high reflectivity, high FOM value and wide detection range of the sensor structure through structural parameter optimization, which provides a theoretical reference for the dual Fano resonance and has certain research value for the multivariate detection of the sample's refractive index to be measured.
利用在亚波长介质光栅结构中产生的共振模式来突破衍射极限, 可实现光学结构的微型化和集成化[1, 2, 3, 4]。 根据亚波长光栅复合传感结构所形成的共振谱线线形的不同, 通常可将亚波长介质光栅传感结构划分为具有对称线形谱线的传感结构[5]和具有非对称线形谱线的传感结构[6]。 目前, 大多数亚波长介质光栅传感结构利用其Lorentz共振谱线对待测样本进行传感特性分析, 结构相对复杂, 集成度较低[7]。 与具有对称线型Lorentz光谱曲线的传感结构相比, 具有非对称线形共振谱线的传感结构在结构设计方面表现出高度集成化, 并在光学特性方面表现出较高的灵敏度和较强的电场局域能力[8]。 法诺(Fano)共振效应源于原子系统中谱线较窄的离散态(也称作“ 亮模式” )和谱线较宽的连续态(也称作“ 暗模式” )之间发生的相长相消干涉, 可在特定频段处出现零吸收现象, 从而产生一种非对称线形[9, 10]。 若在亚波长介质光栅结构中引入非对称的Fano共振可使结构更为集成化, 以Fano共振光谱曲线的位置信息作为直接观察对象来间接反映待测样本物理信息的动态变化。
近年来, 关于非对称Fano共振传感结构的研究受到了广泛关注。 国内外学者相继提出了基于棱镜耦合的金属薄膜多层介质复合结构实现Fano共振[11]; 石墨烯和棱镜构成光栅耦合的多层介质薄膜Otto光学折射率传感器激发Fano共振[12]; 基于硅-绝缘体(SOI)晶片的亚波长光栅波导与侧微环耦合实现Fano共振[13]; 基于全光栅环形跑道谐振器的折射率传感器在全电介质结构中实现Fano共振[14]。 上述研究主要是基于单重Fano共振而实现的单变量检测, 若要实现高通量检测则需通过双重乃至多重Fano共振传感结构的研究来打破其局限性。 Li等[15]提出了一种基于二维光子晶体波导-双耦合微腔的复合传感结构, 利用双耦合微腔与波导之间的互相耦合实现了双重Fano共振; Chen等[16] 提出了一种由两个相同的短截线谐振器和一个矩形腔组成的金属-绝缘体-金属(MIM)波导结构, 利用短截线谐振器与矩形腔之间产生的模式特征进行互相耦合并形成双重Fano共振。 研究发现, 在传感结构选择方面, 大多数传感结构是通过棱镜耦合模式实现Fano共振, 而利用亚波长电介质光栅作为离散态形成单元, 在多层电介质薄膜结构中实现Fano共振的研究较少。 在材料选择方面, 金属/电介质复合结构中在发生Fano共振时, 电子的迁移使得部分能量以热能的形式损耗掉, 并没有完全地透过结构, 因而Fano共振的共振峰宽较大, 透射率较小, 导致Fano共振品质因子Q值较小, 较低的透射率也导致Fano共振的调制深度Δ T较小, 这也使得Fano共振结构的研究聚焦于全电介质材料。
基于此, 本文提出了一种基于变周期亚波长波导光栅的全电介质多层薄膜复合传感结构。 通过有限元法分析该结构的传输特性发现, 在变周期亚波长波导光栅中形成的双离散缺陷峰会与在含周期性光子晶体的Fabry-perot Cavity(F-P)腔中形成的连续态发生耦合并形成双重Fano共振。 根据亚波长波导光栅的弱调制条件设置双传感检测区, 建立共振波长与待测样本折射率之间的关系模型, 从而实现对不同折射率区间待测样本的多变量检测。
所提出的基于变周期亚波长介质光栅的多层膜复合传感结构如图1所示, 该结构主要由变周期亚波长介质光栅和含周期性光子晶体的类F-P腔组成。 在变周期亚波长介质光栅结构中, 变周期光栅层分别由两个具有不同光栅周期的介质光栅区域A和B组成。 其中, 介质光栅区域A采用电介质材料SiO2, 折射率为
考虑到该结构在介质光栅区域A和B都需要满足光波导的形成条件, 波导层采用的电介质材料与介质光栅区域B相同, 厚度为dw=100 nm。 耦合层采用的电介质材料为MgF2, 折射率为
在基于多层介质薄膜的连续态结构单元的设计过程中, 由于F-P腔和周期性光子晶体能够对光子进行局域, 并能获得具有较宽频谱的光滑光谱曲线, 则F-P腔和周期性光子晶体在多层介质薄膜结构中常作为连续态结构单元。 本文将周期性光子晶体与F-P腔相结合, 设计了含周期性光子晶体的类F-P腔结构来提高其连续态光谱特性。 根据全电介质多层薄膜的等效折射率公式neff=(nAdA+nBdB)/(dA+dB), 可将周期性光子晶体等效为一层电介质层, 被视为F-P腔的中间层, 且其有效折射率分别大于上下层的介质折射率(neff> nc), 因此, 在F-P腔中嵌入周期性光子晶体可被看作为类F-P结构。
图2为可作为连续态结构单元的含周期性光子晶体的多层膜、 F-P腔及周期性光子晶体三种结构的光谱曲线对比图。
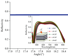
可以发现, 与F-P腔和周期性光子晶体相比, 含周期性光子晶体的类F-P腔结构具有更宽频带和更高反射率的连续谱。 由于该光子禁带连续谱的反射率在0.72左右, 周期性光子晶体对光子并没有起到完美局域的作用, 仅是增强了类F-P腔对光子的局域程度, 这表明嵌入周期性光子晶体到F-P腔中可起到拓宽连续谱的作用, 可为Fano共振的形成提供更宽的选频区域。 如图3所示, 当入射角由0° 到40° 变化时, 光子禁带连续谱发生红移, 入射光的固定波长均符合连续谱的选频区域, 这使得入射光在满足固定波长的条件下以不同角度入射时, 可在角度范围内为Fano共振的形成提供一个具有较宽频带的连续态光谱曲线。
变周期介质光栅表面的介质材料在同一介质光栅区域下呈变周期性结构排列, 多个不同的光栅周期均小于入射波长(这里仅以双周期为例进行分析, Λ 1, Λ 2< λ 0, λ 0=632.8 nm), 从而形成多个不同的亚波长结构。 即根据等效介质理论可以将介质光栅区域A和B分别等效为均匀介质薄膜, 其等效折射率在入射光采用TE偏振入射时可被描述为[17]
式(1)中, ni分别表示在介质光栅区域A和B内的光栅介质材料折射率
当TE偏振入射光以垂直于光栅层表面的方式入射至介质光栅表面时, 由于变周期亚波长介质光栅的调制作用, 会使得在介质光栅表面同时发生反射和透射。 另介质光栅区域A和B具有不同的光栅周期, 在波导层内会形成不同的衍射波, 其衍射效应可表示为[18]
式(2)中, Λ j可分别表示在不同介质光栅区域A和B内的光栅周期Λ 1、 Λ 2; ϕ i可表示为在不同介质光栅区域A和B内的衍射角; θ 表示入射角; m表示介质光栅的衍射级数。
当满足传播约束条件时, 入射光经过介质光栅区域A和B会产生不同衍射波, 在波导层内发生多次全反射, 进而激发波导的传播模式, 形成导模。 入射光因衍射效应会在不同介质光栅区域产生次级衍射光, 并平行于反射光, 在满足相位匹配条件下会发生干涉, 形成导模共振(guided mode resonance, GMR)[19, 20]。 在不同介质光栅区域下的相位匹配条件可以表示为
式(3)中, 2
当在介质光栅区域A和B内分别满足相位匹配条件时, 变周期亚波长介质光栅会形成GMR, 导致在波导层内局域大量电磁场能量, 使得在不同介质光栅区域内的反射光能量急剧增加, 从而在不同共振波长处形成离散态共振峰, 可为Fano共振的形成提供两个具有单一窄带频率的双离散态缺陷峰, 如图4所示。
变周期亚波长波导光栅结构可以通过在不同共振波长处产生GMR来提供双离散态缺陷峰, 类F-P腔可以利用周期性光子晶体形成光子禁带提供连续态, 两者在满足相位匹配条件的情况下, 具有窄带频率的双离散缺陷峰会与连续态中相应的频率成分发生耦合, 形成双重Fano共振, 如图5(a)中FR1和FR2光谱曲线所示。 相位匹配关系如图5(b)所示, 当λ =664.03 nm和λ =667.58 nm时, 入射光在变周期亚波长波导光栅和类F-P腔内传播的相位差几乎达到π , 相位相反, 这表明在不同介质光栅周期区域内形成的双离散态缺陷峰与连续态之间发生相消干涉, 在双重Fano共振光谱曲线波谷处的反射率约为0.05, 如图5(a)所示。 双重Fano共振光谱曲线波谷处的电磁场能量分布如图5(c)和(d)所示, 在不同介质光栅区域和波导层内都局域了大部分电磁场能量, 也有部分电磁场能量局域在不同介质光栅区域内的传感检测单元表面, 这表明传感检测单元在不同共振波长范围内都得到表面电磁场增强, 从而可实现在不同介质折射率区间内对待测样本折射率的传感特性分析。 随着在不同传感检测单元内待测样本折射率的变化, 双离散态缺陷峰会在一定波长范围内发生漂移, 其与连续态之间的耦合成分也会发生变化, 即可在不同共振波长范围内获得非对称的双重Fano共振光谱曲线, 进而能实现对不同待测样本折射率的动态检测。
对于所提出的双重Fano共振全电介质传感模型, 通过分析结构参数对FR1和FR2光谱曲线的影响, 优化器性能系数(figure of merit, FOM)值, 在波长调制的传感分析模式下获得了具有高FOM值的双重Fano共振传感结构模型。
波导层作为变周期亚波长波导光栅的主要介质层, 当波导层厚度dw的大小改变时, 其相位匹配条件会发生变化, 使得双离散态缺陷峰的位置发生变化, 与连续态之间的耦合特性也会发生变化, 如图6所示。 分别探究在不同传感检测单元下波导层厚度变化对结构模型传感特性的影响。 当dw=97 nm时, FR1和FR2光谱曲线的FOM值在不同的传感区域内均可达到最大值, 因此设定dw=97 nm。
波导层和周期性光子晶体作为类F-P腔的主要介质层, 光子晶体周期层数N直接影响类F-P腔对光子的局域程度, 进而影响类F-P腔与变周期亚波长波导光栅之间的耦合程度和传感特性, 如图7所示。 当N由3到6以步长为1变化时, 在不同传感检测区域, FR1和FR2光谱曲线的FOM值均随着N的增大而逐渐变小, 当N=3时, FOM值在该光子晶体周期层数范围内均达到最大值, 与dw=97 nm时的FOM值大小保持一致, 因此在结构参数优化中, 选定N=3。
因变周期介质光栅层均是由两种具有不同介质折射率的材料构成的, 即根据亚波长波导光栅的弱调制条件可知, 在介质光栅区域A和B的光栅凹槽部分可设置两个传感检测单元A、 B, 介质折射率检测区间分别约为1.05~1.449和1.449~1.759。 根据介质折射率传感检测区间可分别在传感检测单元A和B设置ns1和ns2, 取值范围为1.1~1.104、 1.48~1.484, 间隔均为0.001。 由如图8(a)可知, 在传感检测单元A中, 随着ns1的增大, 双重Fano共振光谱曲线发生了红移。 如图8(b)所示, ns1与双重Fano共振光谱曲线的共振波长之间均呈良好的线性关系, ns1与FR1、 FR2光谱曲线之间的拟合公式分别为λ s1-FR1=73ns1+580.733和λ s1-FR2=73.7ns1+583.553, 波长灵敏度分别为Ss1-FR1=73 nm· RIU-1和Ss1-FR2=73.7 nm· RIU-1。
由如图9(a)和(b)可知, 传感检测单元B与传感检测单元A具有相同的特征, 故ns2与FR1、 FR2波长之间的拟合关系为λ s2-FR1=72.8ns2+553.289和λ s2-FR2=147.5ns2+446.323, 波长灵敏度分别为Ss2-FR1=72.8 nm· RIU-1、 Ss2-FR2=147.5 nm· RIU-1。
由于双重Fano光谱曲线在不同传感检测区域内都能随着ns1或ns2变化, 这表明该传感结构模型可以通过对双重Fano共振光谱曲线偏移量的分析, 间接实现对待测样本折射率的动态检测, 因此, 可在同一传感结构模型中实现对不同待测样本折射率区间的多变量检测, 同时扩宽了传感检测区间。
将含周期性光子晶体的全电介质多层薄膜和变周期介质光栅相结合, 提出了一种基于变周期亚波长波导光栅的全电介质多层膜复合结构。 变周期亚波长波导光栅在满足一定光栅参量和入射条件下会在不同共振波长区间内产生GMR, 并提供双离散态缺陷峰, 与在类F-P腔中形成的连续态发生耦合, 实现了双重Fano共振。 建立基于波长调制的双重Fano共振全电介质传感模型, 设置不同的传感检测区域, 根据亚波长波导光栅的弱调制条件实现了对不同待测样本折射率区间的多变量检测。 结果表明, 在传感检测单元A内, FR1和FR2的FOM值分别为631.53和463.7 RIU-1; 在传感检测单元B内, FOM值分别为480.67和834.04 RIU-1。 所设计的传感结构模型为在基于全电介质多层薄膜的传感模型结构中获得高反射率和高FOM值的双重Fano共振提供了一定的理论参考, 对待测样本折射率的多变量检测具有一定的研究价值。
| [1] |
|
| [2] |
|
| [3] |
|
| [4] |
|
| [5] |
|
| [6] |
|
| [7] |
|
| [8] |
|
| [9] |
|
| [10] |
|
| [11] |
|
| [12] |
|
| [13] |
|
| [14] |
|
| [15] |
|
| [16] |
|
| [17] |
|
| [18] |
|
| [19] |
|
| [20] |
|

