作者简介: 王世霞, 女, 1983年生, 上海理工大学材料与化学学院讲师 e-mail: wangshixia@usst.edu.cn
ZnSe半导体材料是制备光电器件和光催化反应催化剂的重要原材料。 其单体材料具有强光下易变质、 电子-空穴复合等现象。 通过元素掺杂制备ZnSe复合材料, 并与单体材料对比研究了元素掺杂所提升的ZnSe的光学及结构性能。 首先采用水热法实验室制备纯ZnSe和Mn∶Zn加入比分别为5%、 10%、 15%和20%的ZnSe复合材料, 对比材料形貌、 结构, 光吸收和催化性能, 结果显示掺杂比为10%的样品结晶度最高, 杂质成型量最少, 催化性能最佳。 采用Mao-Bell型金刚石压腔结合原位拉曼光谱探究纯ZnSe和掺杂比为10%的样品的高压结构相变行为, 以探究元素掺杂对样品结构性能的影响。 研究结果: (1)扫描电子显微镜(SEM)图显示, 加入Mn元素后制得的ZnSe样品形貌为球状, 与纯样大致相同, 球状颗粒表面有小颗粒负载, 且随着Mn加入量的增加, 表面负载的物质增多; (2)X射线衍射(XRD)图谱表明, ZnSe样品结构为立方闪锌矿结构, 随着Mn 加入量的增加, 样品MnSe特征峰增强, 杂质MnO2成型越完全。 掺杂比为10%的样品ZnSe结晶度高, 杂质成型量少; (3)固体紫外漫反射(UV-Vis)结果表明, 掺杂比为10%的样品对光的吸收边最大, 禁带宽度最小, 为1.65 eV; (4)光催化实验结果显示, 掺杂比为10%的样品催化降解甲基橙的效率最大, 6 h降解85.4%。 研究表明掺杂Mn元素比为10%的ZnSe复合材料, 光吸收和催化性能相对最好。 金刚石压腔结合原位拉曼光谱探究ZnSe样品和掺杂比为10%的样品的高压相变结果表明, (1)纯ZnSe的LO声子模在压力上升到12.3 GPa时基本消失, TO声子模在压力上升到20.8 GPa时消失, 整个加压过程中没有新峰生成, 纯ZnSe发生闪锌矿相向岩盐矿相转变的高压行为; (2)复合材料的TO声子模在6.9 GPa时发生劈裂, 在8.0 GPa时208 cm-1处有新峰出现, 表明在此压力下部分样品由闪锌矿相转变为辰砂矿相。 在10.8 GPa时辰砂矿相的峰消失, 体系发生由辰砂矿相向岩盐矿相转变; 加压至18.8 GPa, LO声子模非常微弱, 几近消失, 此时体系中的闪锌矿相完全转化为岩盐矿相。 研究了不同条件下ZnSe的光催化性能和相变行为, 探究了不同掺杂比对ZnSe光催化性能的影响, 确定掺杂比为10%的ZnSe样品为最佳掺杂比复合材料, 丰富了极端条件下ZnSe的物理化学性质的多样性研究。
ZnSe semiconductor material is an important raw material for preparing optoelectronic devices and photocatalytic reaction catalysts. The monomer material exhibits deterioration under strong light and electron-hole recombination. In this study, ZnSematerials were prepared by element doping, and the optical and structural properties of ZnSe enhanced by element doping were studied and compared with those of monomer materials. Pure ZnSe and Mn/Zn with doping ratios of 5%, 10%, 15%, and 20% were prepared by the hydrothermal method in the laboratory to compare the morphology, structure, light absorption, and catalytic performance of the composite materials. The results showed that the sample with a doping ratio of 10% had the highest crystallinity, the least impurities, and the best catalytic performance. Subsequently, the high-pressure structural phase transformation behavior of pure ZnSe and samples doped with 10% Mn/Zn was investigated by in-situ Raman spectroscopy using Diamond Anvil Cell to explore the effect of element doping on the structural properties of the samples. The results are as follows: (1) Scanning electron microscope (SEM) images show that the morphology of the ZnSe sample prepared with Mn element is spherical and similar to the pure sample. Small particles are on the surface of the spherical particles, and with the increase of Mn addition, more substances are loaded on the surface. (2) X-ray diffraction (XRD) patterns show that the structure of the ZnSe sample is a cubic zinc blende structure. With the increase of Mn addition, the characteristic peak of MnSe in the sample is enhanced and the formation of impurity MnO2 is more completed. The sample with a doping ratio of 10% has a high ZnSe crystallinity and a low impurities formation. (3) Solid-state ultraviolet diffuse reflectance (UV-Vis) results show that the sample with a doping ratio of 10% has the maximum light absorption edge and the smallest bandgap width of 1.65 eV. (4) The results of the photocatalytic experiment show that the sample with a doping ratio of 10% has the highest efficiency in catalyzing the degradation of methyl orange, with a degradation rate of 85.4% in 6 hours. The study demonstrates that the ZnSe composite material doped with 10% Mn element has the best relative optical absorption and catalytic performance. The high-pressure phase transition of ZnSe samples and samples with a doping ratio of 10% were investigated using Diamond Anvil Cells combined with in-situ Raman spectroscopy. The results show that: (1) The LO phonon mode of pure ZnSe disappears at a pressure of 12.3 GPa, and the TO phonon mode disappears at a pressure of 20.8 GPa. No new peaks are generated during the entire pressure process, indicating a high-pressure behavior of the pure ZnSe phase transition from the zincblende phase to the rocksalt phase. (2) The TO phonon mode of the composite material splits at 6.9 GPa, and a new peak appears at 208 cm-1 at 8.0 GPa, indicating that some samples transform from the zincblende phase to the wurtzite phase at this pressure. The peak of the wurtzite phase disappears at 10.8 GPa, and the system undergoes a phase transition from the wurtzite phase to the rocksalt phase. When the pressure is increased to 18.8 GPa, the LO phonon mode is very weak and almost disappears, indicating that the zincblende phase in the system has completely transformed into the rocksalt phase. This study investigated the photo-catalytic performance and phase transition behavior of ZnSe under different conditions and explored the effects of different doping ratios on the photo-catalytic performance of ZnSe, determining that the sample with a doping ratio of 10% is the best composite material, which enriches the diversity of the physical and chemical properties of ZnSe under extreme conditions.
ZnSe是一种重要的直接带隙Ⅱ — Ⅵ 族半导体材料, 由于其具有较大的禁带宽度(2.67 eV)和电子束缚能(21 meV)[1]等特点, 被用于制备各类光学器件和光催化降解有机染剂等领域。 不同形貌、 尺寸以及掺杂不同元素的ZnSe材料有着不同的光电性能和催化性能, 有研究通过不同原料和方法制备出不同形貌和尺寸的ZnSe材料, 如ZnSe纳米棒、 ZnSe中空球、 ZnSe微球以及片状ZnSe材料等[2, 3, 4]。 在实验中加入所掺杂的元素可得到ZnSe复合材料, ZnSe材料光催化方面, Sun[5]等制备了均匀分布的锌硒纳米带阵列(NRAs)。 采用阳离子置换法制备了ZnSe-NRAs和ZnSe/CdSe核壳型NRAs, 并保持了带状结构。 与纯的ZnSe-NRAs相比, ZnSe/CdSe核壳型NRAs具有更宽的光吸收范围和更低的载流子复合速率, 因而在降解某些染料方面表现出更强的光催化性能。 Zhao[6]等通过水热法, 将ZnSe纳米粒子负载到具有三维花状结构的MoSe2纳米板上, 成功制备了有较大的接触面积的ZnSe/MoSe2异质结构复合材料, 光催化实验表明, 在最佳复合比(Zn∶ Mo=0.25%)的条件下, 其光电性能表现最佳。 而掺杂Mn的ZnSe则具有形貌可控、 高比容等特性, 是潜在的能量转换和储能材料[7]。
近年来, 高压科学在地质学、 物理学、 化学和材料学等学科取得了较大的进展, 高压条件下易得到新能源材料以及特殊材料等[8, 9, 10]。 ZnSe从ZB结构到RS结构的相变发生在约13 GPa[11, 12], ZB结构中TO和LO声子模在5 GPa的不连续性, 理论研究也证实了, ZB→ RS的相变发生在10~15 GPa的压力下[12]。 实验和理论研究提高了对ZnSe高压下相变机理的理解, 对于ZB结构在5 680和9 GPa时发生的相变还需进一步研究验证。 本研究在前人研究思路上, 将Mn元素掺杂进纯ZnSe, 研究Mn∶ Zn不同掺杂比复合样品的光催化性能以及最佳掺杂比10%样品的高压相变行为, 拓展了ZnSe的光学性质和其结构多样性研究。
实验所用试剂包括亚硒酸钠(Na2SeO3, 纯度≥ 80%)、 无水乙醇(CH3CH2OH, 纯度95%)、 水合肼(N2H4· H2O, 纯度≥ 98%)、 硝酸锰溶液(Mn(NO3)2, 质量分数为50%)、 甲基橙(C14H14N3NaO3S, AR级)、 二水合乙酸锌(Zn(Ac)2· 2H2O, 纯度≥ 98%)和氢氧化钠(NaOH, 纯度≥ 96%)。 其中氢氧化钠购自上海阿拉丁生化科技股份有限公司, 其余试剂购自国药集团化学试剂有限公司。
所使用分析测试仪器为Ultima Ⅳ 型粉末 X 射线衍射仪(XRD, 日本 Rigaku 公司)、 Magella 400型场发射扫描电镜(SEM, 美国赛默飞世尔公司)、 LabRAM HR Evolutin型拉曼光谱仪(Raman, 日本HORIBA 科学仪器公司)和UV-3600(plus)型紫外-可见分光光度计(UV-Vis, 日本岛津公司)。
分别称取0.44 g Zn(Ac)2· 2H2O和Na2SeO3于四个烧杯中, 加入60 mL去离子水放在恒温加热磁力搅拌器中搅拌, 待搅拌均匀后每个烧杯加入1.6 g NaOH继续搅拌, 待NaOH彻底溶解后量取20 mL水合肼加入到反应体系之中, 再继续搅拌。 待整个体系充分混合之后, 分别加入不同剂量的质量分数为50%的Mn(NO3)2溶液, 使得Mn∶ Zn的摩尔加入比分别为5%、 10%、 15%和20%。 将四份溶液依次放入带聚四氟乙烯内衬的不锈钢反应釜, 放入烘箱中, 设置反应温度180 ℃, 反应时间6 h。 反应结束后洗涤、 离心、 干燥, 即得不同掺杂比例Mn∶ ZnSe复合材料样品。 按上述实验方案制备, 不加硝酸锰溶液, 其余操作同上, 制得纯ZnSe样品。
光催化降解实验利用氙光灯模拟太阳光源, 对甲基橙溶液进行降解。 分别称取40 mg待测样品作为光催化剂, 将其充分分散到甲基橙溶液中。 暗反应1 h, 使反应溶液达到吸附脱附平衡, 随后将光源打开, 间隔抽滤样品, 通过紫外-可见分光光度计在甲基橙溶液的最大吸收波长处测其吸光度, 计算出甲基橙溶液的降解率。
高压实验采用Mao-Bell型金刚石压腔。 上下金刚石砧面直径800 μm, 垫片选择高硬度的T301不锈钢片, 垫片预压厚度80 μm, 打孔直径150 μm。 本实验不采用传压介质, 将样品粉末加入少量红宝石粉末充分研磨并混合均匀, 在显微镜下进行样品的填装, 多次少量反复使两砧面对样品进行压实传压。
图1为不同样品的SEM图。 从图1(a, b)中可以观察到, 纯ZnSe样品为球状, 粒径大多在0.8~1.5 μm之间。 从图1(c— j)图中可以看出, Mn掺杂ZnSe样品形貌大致为球状, 表面有物质负载, 且随着掺杂比的增大表面物质越多。
图2为不同样品的XRD图。 如图所示, 纯样在27.21° 、 45.11° 、 53.32° 、 65.70° 以及72.42° 处有五个特征峰, 分别对应于ZnSe晶面指数(JCPDS NO.37-1463)的(111)、 (220)、 (311)、 (400)和(331), 表明所制得ZnSe纯样为立方闪锌矿结构。 不同掺杂比例样品在19.18° 、 28.96° 、 32.20° 、 36.02° 、 38.08° 、 58.34° 和59.24° 出现新峰。 28.96° 、 32.20° 以及59.24° 处的峰分别对应于α -MnSe(NaCl结构)晶面指数(JCPDS NO.11-0683)的(111)、 (200)以及(222)[13]; 36.02° 和58.34° 处的峰分别对应于γ -MnSe(六方纤锌矿结构)晶面指数的(102)和(202)[14]。 结果表明Mn原子已经掺杂进入ZnSe晶格结构中。 19.18° 和38.08° 处的峰既不是ZnSe的晶面峰也不是MnSe的晶面峰, 进一步对合成过程进行分析, 由于Mn极易与O结合形成MnO2, 19.18° 和38.08° 处的峰对应于MnO2晶面指数(JCPDS NO.44-0141)的(200)和(211)[15]。 进一步分析Mn∶ ZnSe掺杂比为15%和20%的样品发现, ZnSe的晶面峰的相对强度变化幅度不大, 但是MnSe和MnO2的晶面峰的相对强度越来越大, 且又在50.92° 、 56.14° 、 56.58° 、 64.82° 、 66.28° 以及68.86° 处出现了新峰, 其中56.14° 和68.86° 对应于α -MnSe晶面指数的(311)和(400), 50.92° 和66.28° 对应于WZ-MnSe晶面指数的(200)和(203), 56.56° 和64.82° 对应于MnO2晶面指数的(600)和(002)。 说明随着Mn掺杂量变大, 体系中的MnSe结晶度越高, 但同时杂质MnO2成型也越来越完全, 杂质量越来越多。 因此在制备Mn∶ ZnSe复合材料时Mn的加入量越多并不代表着材料性能越优异, 有必要进一步探究Mn加入量与材料光催化性能之间的关系。
对纯ZnSe和不同Mn元素掺杂比例Mn∶ ZnSe复合材料通过紫外-可见分光光度计研究其对光的吸收性能。 图3为纯ZnSe与不同比例Mn掺杂ZnSe的UV-Vis谱图。 图谱显示, 样品的吸收边依次为658.6、 675.2、 750.1、 726.5以及694.6 nm。 相较于纯的球状ZnSe的吸收边, 掺杂了Mn的ZnSe复合材料拓宽了对光的响应, 有利于光催化氧化活性的提高, 并且掺杂比例10%时吸收边最大, 说明在此条件下合成的Mn∶ ZnSe复合材料对光的吸收性能最佳。 根据带隙与带边的计算公式计算出四种复合材料的禁带宽度分别为1.88、 1.84、 1.65、 1.71以及1.78 eV。 Mn的掺杂降低了催化剂的禁带宽度, 有利于光生电子-空穴的产生, 从而进一步提高了催化剂的光催化氧化性能。
进一步探究Mn∶ Zn的最佳掺杂比, 对不同加入比制得的复合材料进行光催化降解实验。 图4为Mn∶ Zn不同加入比制得样品降解甲基橙溶液的效率曲线, 经过6 h的光催化实验后, 掺杂比为5%、 10%、 15%以及20%的样品对甲基橙溶液的降解率分别为61.4%、 85.4%、 77.2%以及71.7%。 结果表明, Mn∶ ZnSe复合材料的光催化性能随着Mn加入量的增加先提升后下降, 在加入比为10%时光催化性能最佳。 产生这一现象的原因是随着Mn加入量的增加, 产生的具有氧化还原作用的光生电子-空穴数量增加, 从而使降解率升高, 继续增加Mn的加入量时, 催化剂表面的活性位点被覆盖, 反而降低了Mn∶ ZnSe复合材料的降解率。 值得注意的是, 掺杂比为5%时制备的复合材料的光催化降解效率反而不如纯样, 这是由于加入比过低时, 掺杂元素会成为电子空穴的复合中心, 从而降低复合材料的光催化活性。
| 图4 纯ZnSe与不同掺杂比样品的光催化降解曲线2.5 纯ZnSe和Mn掺杂ZnSe复合材料高压结构相变Fig.4 Photocatalytic degradation curve of pure ZnSe and ZnSe with different doping ratios |
图5为球状ZnSe纯样在不同压力下的Raman谱图。 如图5所示, 常压下ZnSe在203和252 cm-1处有两个明显的Raman散射峰, 分别是ZnSe的TO声子模和LO声子模, 峰型窄且尖锐, 表明样品的结晶度和纯度都较高。 随着压力的增加, 两个峰均出现了明显的宽化, 且不断向高频方向移动, 这是由于压力的作用导致样品颗粒更细, 晶体的晶格间距减小, 相互作用增强引起的。 从图中可以看出, 当压力升至4.1 GPa时, TO声子模的相对强度超过了LO声子模, 并且随着压力的升高峰强差越来越大, 说明ZnSe在高压下横光学波的振动幅度比纵光学波大。 当压力升高至12.3 GPa时, LO声子模的Raman峰基本上消失, 这时TO声子模逐渐红移到了250 cm-1附近。 当压力进一步升高至20.8 GPa时, TO声子模消失, 这时晶体完成了从立方闪锌矿相向非晶化方向的岩盐矿相转变。 整个过程中没有新的拉曼峰出现, 表明随体系压力增大, 发生了闪锌矿相到岩盐矿相的结构相变。
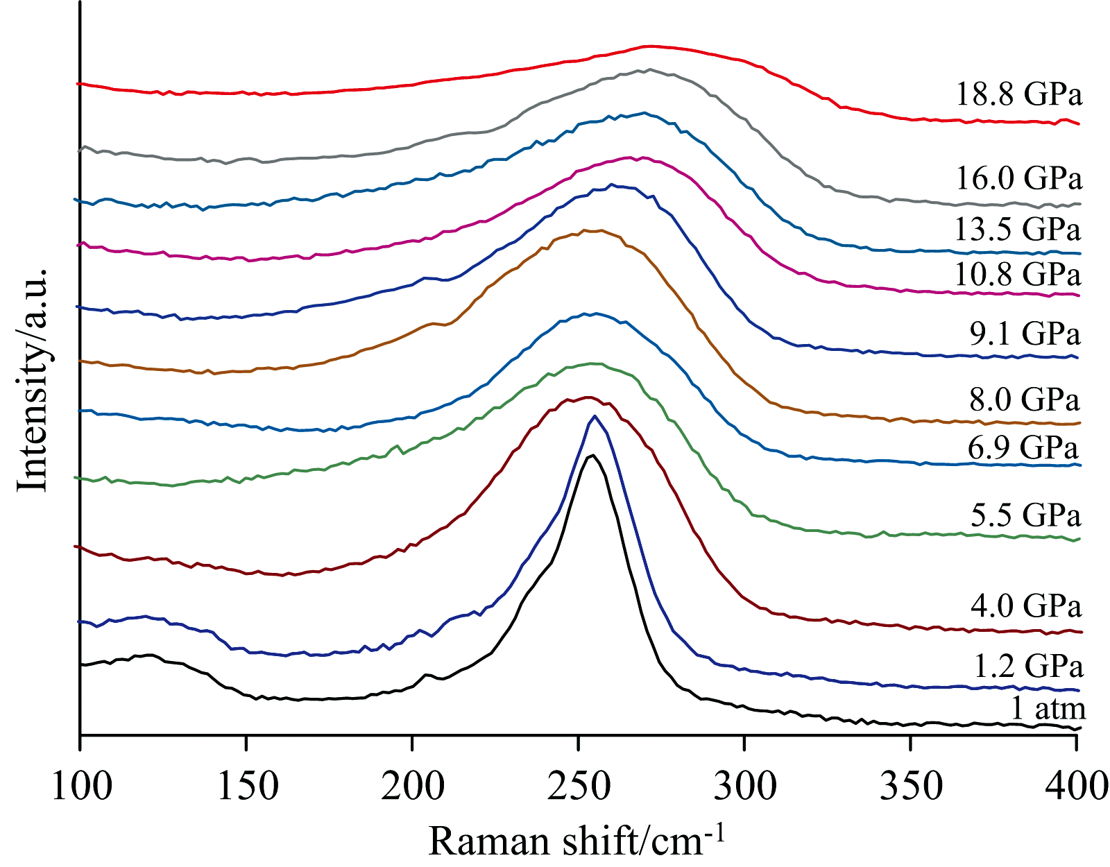
图6为Mn∶ ZnSe掺杂量为10%制得的样品在不同压力下的Raman谱图。 常压下Mn掺杂样品的拉曼光谱与纯的球状ZnSe相比, 拉曼特征峰的位置和形状没有太大变化, 都是在203和251 cm-1处附近, 这两个拉曼散射峰对应于ZnSe的TO声子模和LO声子模, 表明合成的掺杂Mn的ZnSe微球为立方闪锌矿相。 然而峰型较纯样出现了明显宽化, 且203 cm-1拉曼散射峰相对强度明结合减弱。 由图2纯ZnSe与Mn掺杂ZnSe样品的XRD谱图可知, 体系中加入Mn元素后取代了部分Zn进入到了晶格内, 使得Mn与O结合形成MnO2, 出现了19.18° 和38.08° 处的MnO2晶面峰, 同时降低了体系的球状ZnSe样品纯度, 导致ZnSe在203 cm-1 Raman散射峰的降低。
随着体系压力的增加, TO声子模往低频移动, LO声子模往高频率移动, 从1.2 GPa开始, TO声子模和LO声子模开始出现明显的宽化现象, 峰的强度也开始逐渐减弱, 这和纯的球状ZnSe在加压过程中的表现一致, 也是由于压力的作用引起的。 随着体系压力进一步增加到6.9 GPa时, 203 cm-1处的拉曼散射峰突然消失, 这与纯样表现不一致, 可能由于TO声子模发生了劈裂。 ZnSe体材料在4.7 GPa时, 203 cm-1附近的峰会由于TO声子模发生劈裂而产生相变, 从而导致该拉曼散射峰消失, 当压力上升到8.0 GPa时, 在208 cm-1处产生了一个新的拉曼散射峰, 我们认为这个峰是由于闪锌矿相向辰砂矿相发生相变而出现的。 低频率的散射峰的出现是声子模软化所导致的TO声子模发生了劈裂, 且随着压力的增加向低频方向移动。 随着体系压力继续增加, 208 cm-1处的峰逐渐弱化, 并且越来越宽。 当压力上升到10.8 GPa时消失, 说明辰砂矿相发生相变, 彻底转化为岩盐矿相, 此时ZnSe的LO声子模并没有发生劈裂, 说明体系中岩盐矿相和闪锌矿相并存。 观察拉曼谱可以发现, 在压力为13.5 GPa时原本在251 cm-1的拉曼散射峰逐渐红移到268 cm-1, 相比于常压状态已经有了非常明显的偏移, 并且峰非常宽, 这说明体系中的ZnSe样品已经有一部分发生了非晶化的转变, 再一次证明了体系处于岩盐矿相和闪锌矿相并存的状态。 当压力上升到18.8 GPa时, LO声子模已经非常微弱, 可以说明此时体系中的闪锌矿相基本都转化为岩盐矿相, 还有一小部分的闪锌矿相存在的原因可能是由于DAC高压装置加压过程中压力不均, 无法使得体系内的样品全部都加到高压所致。
将纯样与掺杂了Mn元素的样品进一步对比发现, 纯样的TO声子模一直到压力上升到20.8 GPa时才消失, LO声子模在12.3 GPa时消失; 而掺杂了Mn元素的样品的TO声子模在4.0 GPa附近即发生了劈裂消失, LO声子模在18.8 GPa时还有部分存在, 且在加压过程中还有其他峰产生。 造成这一现象的原因可能是由于Mn元素掺杂进入ZnSe晶体内部后使得ZnSe晶格膨胀, 导致六配位的微晶畴形核的无序和局域化, 使得掺杂了Mn元素的样品更容易发生相变。 而相变的过程可能伴随着新性能出现, 因此Mn∶ ZnSe复合材料相比于ZnSe纯样更具有在高压下的研究价值和前景。
对纯ZnSe和不同掺杂比ZnSe样品进行了光学性能和光催化性能分析; 同时采用金刚石压腔结合高压拉曼光谱作为研究手段, 对纯ZnSe和掺杂比为10%的样品进行了高压相变研究。 研究结果如下:
(1)将Mn掺杂在ZnSe样品表面后, 对光的吸收性能均有一定的增加, 提高了对可见光的利用率, 有效提高了ZnSe的催化性能。 且Mn∶ Zn加入比为10%制得的样品吸收边最大, 禁带宽度最小。
(2)球状ZnSe纯样的LO声子模在压力上升到12.3 GPa时基本消失, TO声子模在压力上升到20.8 GPa时消失, 整个加压过程中没有新峰生成, 只有从闪锌矿相向岩盐矿相转变的相变。
(3)掺杂比为10%的样品TO声子模在6.9 GPa时发生劈裂, 8.0 GPa时208 cm-1处有新峰出现, 此压力下部分样品由闪锌矿相转变为辰砂矿相; 10.8 GPa时辰砂矿相的峰消失, 体系中发生了由辰砂矿相向岩盐矿相转变的相变过程; 18.8 GPa时体系中的闪锌矿相转化为岩盐矿相。
| [1] |
|
| [2] |
|
| [3] |
|
| [4] |
|
| [5] |
|
| [6] |
|
| [7] |
|
| [8] |
|
| [9] |
|
| [10] |
|
| [11] |
|
| [12] |
|
| [13] |
|
| [14] |
|
| [15] |
|

