作者简介: 刘 勇, 1998年生, 西华大学航空航天学院硕士研究生 e-mail: liuyong1998@stu.xhu.edu.cn
测量地表反射率对研究地物光谱特征以及卫星地表产品检验具有重要意义。 利用地物光谱仪获得青藏高原阿里地区的沙地地表反射率, 并研究分析其典型光谱特征。 针对Terra和Aqua卫星的中分辨率成像光谱仪(MODIS)的地表反射率产品(MOD09/MYD09)和地表反照率产品(MCD43 A4)开展真实性检验和误差影响分析。 结果表明, 阿里地区戈壁具有典型沙地光谱特征, 各波段的地表反射率数值在0.08~0.35之间, 在300~700 nm光谱范围的地表反射率随波长增大而增加, 而在750~1 750 nm光谱范围的地表反射率变化较小。 与我国敦煌辐射校正场的沙地反射率相比, 光谱曲线相似度很高, 光谱夹角为2.18°。 星地对比的结果受观测几何和大气光照条件的影响, 下午星Aqua产品验证效果优于上午星Terra, 平均误差约为5%, 这与MODIS官方标称的精度相一致。 研究表明, 阿里地区沙地的光谱特征稳定且有代表性, 是我国光学卫星在轨辐射定标和检验的理想场地。
Measuring surface reflectance is crucial for studying the spectral characteristics of ground objects and inspecting satellite surface products. This paper uses a ground spectrometer to measure the sand surface reflectance in the Ali region of the Qinghai-Tibet Plateau, and studies and analyzes its typical spectral characteristics. Conduct authenticity testing and error impact analysis on the surface reflectance products (MOD09/MYD09) and surface albedo products (MCD43 A4) generated by the Moderate Resolution Imaging Spectroradiometer (MODIS) aboard the Terra and Aqua satellites. The results indicate that the Gobi in the Ngari region exhibits typical sand spectral characteristics. The surface reflectance values in each band range from 0.08 to 0.35. The surface reflectance in the 300~700 nm spectral range increases with the wavelength, while in the 750~1 750 nm spectral range, the surface reflectance also increases with the wavelength. The surface reflectance changes less in the nm spectral range. Compared to my country's sand reflectance of the Dunhuang radiation correction field, the spectral curve is very similar, and the spectral angle is 2.18°. The observation geometry and atmospheric lighting conditions influence the results of the star-ground comparison. The validation accuracy of the afternoon star Aqua product is superior to that of the morning star Terra, with an average error of approximately 5%, aligning with the official nominal accuracy of MODIS. Research shows that the spectral characteristics of the sandy land in the Ngari area are stable and representative, making it an ideal site for on-orbit radiation calibration and inspection of our country's optical satellites.
辐射校正场地的反射、 吸收光谱特性对我国光学卫星在轨定标和定量检验等具有重要的意义[1]。 充分利用不同辐射亮度的多类型辐射校正场地开展高频次、 高时效的卫星在轨辐射定标, 也是光学卫星定量化遥感应用的发展趋势[2]。 我国西部高原地区有许多荒漠戈壁, 其地表类型单一、 地势平坦、 植被覆盖较少[3]。 由于海拔较高、 大气稳定和人为活动较少等原因, 一般大气气溶胶光学厚度小于0.3, 水汽含量小于0.5 g· cm-2[4], 非常有利于卫星和地面的地表反射率观测和采集实验。
许多学者曾开展大量关于辐射校正场地表反射特性研究, 促进了卫星辐射定标水平的提高。 Thome等[5]通过Railroad Valley辐射校正场反射率对EO-1和Landsat进行交叉定标, 发现在可见光和近红外波段的一致性均优于4.4%。 Santer等[6]利用La Crau辐射校正场862条现场测量反射率数据对SPOT-HRV进行替代定标, 并完成CNES提供的其他替代校准数据比较。 Barry等[7]通过收集Lake Frame辐射校正场中心区域的地表反射光谱, 开展EO-1在轨定标并验证分析了仪器性能。 为了提高定标效率与业务化应用能力, 学者们也在研究寻找不同亮度等级的辐射校正场地。 郑小兵等[8]使用ASD和SVC光谱辐射计并基于野外参考板反射率因子, 确定了敦煌校正场的地表反射率, 分析了敦煌辐射校正场地表反射率的时间稳定性和空间均一性。 由于敦煌校正场具有的良好地理条件和气候因素, 尤其以戈壁沙地特征为主的地表辐射特性, 对卫星定标具有非常典型的实际应用; 当然, 发现和拓展更多适宜卫星定标的场地作为敦煌校正场的补充, 同样也具有重要的意义。 胡秀清等[9]选取中国西北地区10个典型的辐射定标场, 在卫星过境时利用手持式光谱仪和低空无人机同步测量地表反射率光谱, 系统地比较了各场地光谱特性差异, 并进行参数分析建模研究。 我国西北高原同样具有与敦煌类似的云量稀薄、 光谱稳定、 地势均一的环境特征[10]。 例如青藏高原地区既是我国气候影响的关键地带, 也是我国动植物的基因库, 具有突出、 全球影响的自然环境, 涵盖了许多不同的地表类型。 此外, 青藏高原被称为地球的“ 第三极” , 是世界上海拔最高、 面积最大的高原, 但由于高原气候和地理条件的限制, 对高原典型沙地的光谱特征缺乏网格单元尺度的研究, 从空间角度上评估高原地区地表的长期变化仍然具有挑战性[11, 12, 13, 14]。 总之, 对青藏高原区域的实地地表光谱观测较少, 因此有必要研究中国高原沙地地表的光谱特征及卫星遥感监测研究。
本文基于我国阿里地区噶尔县狮泉河盆地开展地表反射率光谱采集实验, 获得戈壁地表的沙地光谱数据, 研究典型地表光谱特征, 并对Terra和Aqua卫星MODIS地表反射率产品(MOD09/MYD09)和地表反照率产品(MCD43 A4)Nadir BRDF-Adjusted Reflectance(NBAR)参数开展真实性检验和误差影响分析。
本次实验地点位于中国青藏高原阿里地区狮泉河流域的盆地, 地理位置为东经80° 09', 北纬32° 50'。 该地区属高寒荒漠型气候, 平均海拔在4 500 m以上, 空气稀薄, 极度低温、 干旱, 日照时间长且辐射强[15]。 狮泉河盆地位于巴康塔木切隆山和孔龙琚山之间, 是一个长约30 km、 宽约10 km的狭长地带(图1), 其地势平坦, 地表均一。 由于环境恶劣和土地贫瘠, 植被覆盖度较低, 地表面以砾石和细沙颗粒覆盖为主, 是开展地表反射率光谱采集的理想地点。
地面反射率光谱是在一定的下行辐照和观测方向之下, 目标地物的反射辐亮度与处于同等光照条件下的理想漫反射板的反射辐亮度比值[16]。 实验仪器选用标定后的地物光谱仪(ASD FieldSpec 4)测量, 其光谱范围在400~2 500 nm之间, 光谱分辨率为1 nm, 辐射定标精度优于2.5%, 视场角约为8° , 能够实现在100 ms内全光谱范围的数据采集。
地表反射光谱采集时间为2022年8月2日至8月15日下午时段, 测量选择晴朗少云和风力较小的天气下进行。 光谱采样要求在视场范围内避免太阳直接照射, 依次进行“ 白板— 地物— 白板” 垂直向下测量, 针对有云或者少云的情况, 保证“ 白板— 地物— 白板” 每组测量间隔时间尽量控制在大约10 s以内。 实验采样范围大约为800 m× 800 m, 随机选取5个点位进行3组重复光谱采集, 记地表反射率采集光谱数值为DNasd(λ ), 白板测量数值记为DNp(λ ), 再乘以白板反射率ρ p(λ )(通过实验室内定标测量获得), 得到地表反射率光谱ρ asd(λ ), 计算见式(1)。 由于地表反射的复杂性以及太阳光照条件的变化, 对五个点位的测量数据进行平均, 以减少短时间内人工测量或者环境变化引起的测量误差。 由于1 400和1 900 nm处水汽吸收带的影响, 对地表反射率光谱出现剧烈波动, 需要进行平滑处理, 采用Savitzky-Golay方法进行光谱平滑[17], 处理结果如图2所示。
美国Terra和Aqua卫星的MODIS包含36个光谱波段, 从0.4 μ m(可见光)到14.4 μ m(热红外)全光谱覆盖, 能提供高精度的陆地、 大气、 海洋等多种物理参数产品。 我们选择MODIS的地表反射率产品(MOD09/MYD09)与地表反照率产品(MCD43 A4)开展星地验证。 选取卫星过境狮泉河盆地的影像进行分析, 由于这些地表产品的空间分辨率均为500 m, 因此相对的5个地面采样点大约对应于MODIS产品影像的单个像元。 2022年8月2日至8月15日期间的8个过境时刻影像对信息, 如表1所示。 数据下载于NASA网站(https://ladsweb.modaps.e-osdis.nasa.gov/search/order)。
| 表1 Terra和Aqua卫星过境情况和地面光谱采集时间 Table 1 Terra and Aqua satellite transit condition and ground spectrum measurement time |
1.3.1 地表反射率产品
地表反射率产品(MOD09/MYD09)由MODIS L1B辐亮度产品进行大气校正后得到的地表反射率Pm(λ )。 它代表在没有大气散射或吸收情况下的地面测量的反射比[18], 其定义如式(2)所示。 MOD09提供了3种不同空间分辨率(250、 500和1 000 m)的地表反射率, 考虑光谱范围和空间分辨率的实际需求, 本文研究选择空间分辨率为500 m的7个波段(B1: 466 nm、 B2: 553 nm、 B3: 646 nm、 B4: 856 nm、 B5: 1 248 nm、 B6: 1 629 nm、 B7: 2 113 nm)地表反射率参数数据集, 其中包括经纬度和质量码等参数。
式(2)中, Lr(θ r, φ r, λ )为传感器在方向(θ r, φ r)上观测得到的地表反射辐亮度, Ei(θ i, φ i, λ )为太阳从方向(θ i, φ i)照射时的地表下行辐照度。
1.3.2 BRDF/Albedo产品
地球表面存在各向异性散射辐射, 尤其是在太阳辐照度较短波长下, 方向性特征更加明显[19, 20]。 双向反射分布函数(bidirectional reflectance distribution function, BRDF)描述了入射点附近面元上的反射辐亮度与入射到该表面上的下行辐照度的比值[21], 函数由几何光学散射核、 体散射核和各向同性散射核三部分的线性组合关系组成, 表示为
式(3)中, Kgeo(θ s, θ v, σ )为几何光学散射核, Kvol(θ s, θ v, σ )为体散射核, fiso、 fgeo、 fvol分别表示各向同性散射核、 几何光学散射核、 体散射核所占的权重。 因此, 基于式(3)可进一步计算得到某天当地太阳正午天顶角度处的星下观测地表反射率, 即NBAR。 该参数是植被指数研究和土地覆盖分类工作的一个重要输入参数[22], 本文也将之与实际测量的地面光谱反射率进行比较与讨论。
1.4.1 时空与光谱匹配
星地对比验证需要进行时空与光谱匹配。 以采集时间和地理位置为约束条件, 匹配提取MODIS地表参数产品的波段数值。 MOD09/MYD09是单景影像, Geolocation Field科学数据集可用于精确查找卫星的观测几何。 MCD43A1/A4产品均采用SIN投影方式存储数据, 全球区域划共分为460块影像瓦片, 赤道瓦片的大小为10° × 10° , 每块瓦片又可划分为2 400× 2 400网格。 提取地表BRDF/Albedo参数时需要换算感兴趣区所对应的经纬度区域, 且地面测量时刻与下午星Aqua的过境时刻接近, 保证前后时差在20 min以内, 如表1所示。
由于MODIS观测波段带宽约为20~30 nm, 而光谱仪采集的光谱分辨率约为1 nm, 因此利用传感器光谱响应函数对地表反射率光谱进行卷积, 获得等效波段反射率
式(4)中, SRf(λ )为光谱响应函数, λ 1和λ 2为波段带宽的下限值和上限值, ρ asd(λ )为测量地面光谱反射率。
1.4.2 地表参数定量比较
相对偏差: 通过计算地面波段反射率与卫星地表参数匹配样本的相对差异, 评估参数反演精度, 计算公式如式(5)
式(5)中, ρ '(λ )为光谱卷积后的等效地表波段反射率, ρ sat(λ )为卫星观测的地表反射率参数。
2.1.1 光谱特征
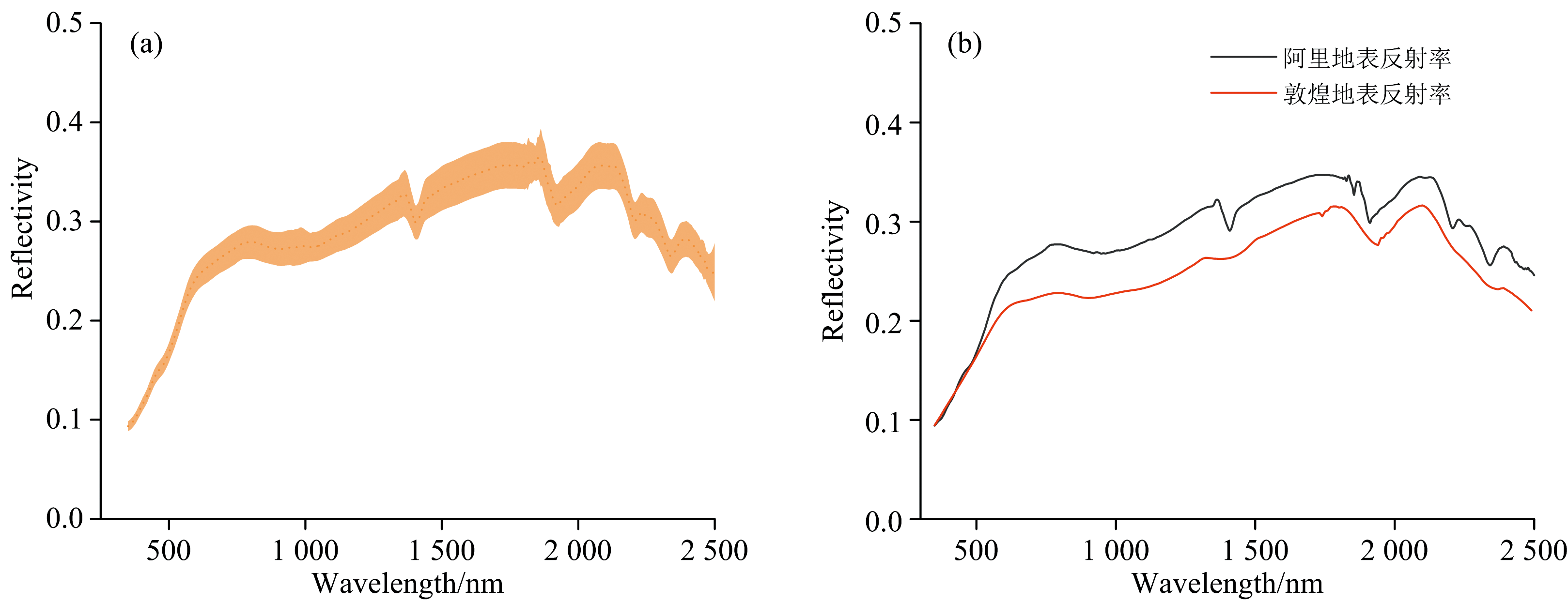
狮泉河盆地的地表是典型戈壁沙地的光谱特征, 如图3(a)所示。 该曲线由实验区5个采样点多日平均计算得到, 地表反射率值为0.3左右, 属中等亮度的反射率地表。 从光谱变化上看, 采集数据在936、 1 350和1 800 nm有不同程度的波动, 水汽吸收特征明显。 在350~2 500 nm的范围内, 地表反射率随波长增加而数值增大。 沙地的光谱在可见光部分(350~750 nm)地表反射率增长较快, 从0.08增加到0.25左右; 在近红外部分(750~1 750 nm), 光谱出现肩部特征, 数值随波长增加而变化缓慢, 约在0.25~0.35; 在短波红外部分(1 750~2 500 nm), 地表反射率从0.35减少到0.25。
| 图3 (a) 地面光谱曲线平均值和标准差; (b) 阿里地区地表反射率与敦煌地表反射率对比Fig.3 (a) Mean and standard deviation of ground spectral curve; (b) Comparison of surface reflectance between Ali and Dunhuang |
5个采样点的平均光谱反射率的标准差小于2.5%, 其中可见光部分(350~750 nm)的标准差最小, 约为0.5%~1%; 近红外部分(750~1 750 nm)的标准差最高值为2.5%; 近红外部分(1 750~2 500 nm)的标准差从2.5%逐渐减小。 根据实验测量的数据结果表明, 阿里地区狮泉河盆地的戈壁沙地辐射特性均一, 且多次测量的样本具有良好的稳定性。
2.1.2 与敦煌历史地表反射率对比
将实验结果与敦煌辐射校正场2006年地表反射率光谱对比, 发现敦煌戈壁的亮度等级比实验区地表更暗[如图3(b)所示], 地表反射率值整体在0.25左右。 从光谱曲线变化趋势上看, 两者在可见光部分反射率数值都呈陡增趋势, 在近红外部分随波长增加而缓慢增大, 而在短波红外地表反射率逐渐减小; 同时, 度量地面采集光谱数据之间的光谱相似度, 可以通过计算两光谱向量间的夹角度量光谱相似性, 夹角越小, 两光谱越相似[24], 通过计算两者的光谱夹角, 结果为2.18° , 表明二者的光谱曲线具有相似性和趋势一致性。
变异系数(CV=σ /
2.3.1 地面测量与MODIS地表反射率对比
地表测量的地表反射率与MODIS地表反射率对比如图4所示, 具体数值如表2所示。 与Aqua卫星对比的平均误差分别为6.2%, 而与Terra卫星对比的误差则为6.5%。 根据对比结果, 可以直观地发现, 误差集中分布在400~700和2 100~2 200 nm两个波段, 分别为8%和9%, 而在800~900和1 200~1 300 nm两个波段对比结果较好, 误差分别为3.6%和4%。 7个波段对比结果显示在800~1 600 nm波段星地对比结果较好且稳定, 标准偏差约为0.5%。 由于观测时间差异, 观测条件和大气环境的不同, 对比验证结果有差异, 与Aqua卫星对比平均误差分别为4.0%、 12.3%、 4.3%、 4.2%, 而与Terra卫星对比平均误差为5.2%、 12.0%、 3.1%和5.7%, 地面测量与Aqua卫星对比结果误差大都小于5%。
| 表2 MODIS第1— 7波段地表反射率与地面等效波段反射率对比 Table 2 Comparison of surface reflectance and equivalent ground reflectance in bands 1— 7 of MODIS |
| 图4 Terra和Aqua卫星地表反射率与地面采集光谱直接对比Fig.4 Comparison of surface reflectance spectra from the Terra and Aqua satellites with ground measurement |
2.3.2 地面测量反射率与NBAR参数对比
与MODIS地表反射率对比同理, 地面测量反射率与NBAR参数的对比, 结果如表3所示。 由结果可知, 8月2日与8月3日的对比结果平均误差分别3.3%和2.9%, 和卫星观测反射率星地直接对比结果进行比较, 该平均误差分别降低了1.3%和9.4%, 尤其在8月3日星地对比误差降低效果显著, 而8月4日与13日对比结果分别提高了3.4%和3.3%; 通过调整反射率, 单一波段星地对比结果误差能达到小于1%, 且星地对比结果较好波段从800~1 600 nm提升到500~1 600 nm, 平均误差小于4%。
| 表3 MODIS波段1— 7的地表反射率(MCD43A4)与地面等效波段反射率对比 Table 3 Comparison of surface reflectance (MCD43A4) in MODIS bands 1— 7 with corresponding reflectance |
2.4.1 BRDF特性影响分析
根据式(3)利用MCD43A1产品参数计算得到不同观测天顶角和观测方位角下的地表BRDF值, 如图5所示。 图中由绿色到红色, 反射率数值从0.2~0.3(B1)逐渐增大, 通过不同天的反射率对比, 同一天的地表反射率分布随观测角度的变化具有相似或对称分布, 在数值上有所差异, 这是因为随着时间的变化, 太阳的光照条件及观测角度变化两个主要原因引起的差异。 图中五角星代表卫星, 半圆圆心处代表垂直观测(图中默认未标识)。 8月2日ρ A整体大于ρ T, 是由于Terra观测角(9.09° , 154.63° )相比于Aqua的观测角(48.45° , 20.96° )处于反射率数值分布更低的区域, 导致整体反射率低于Aqua观测反射率数值。 同样, 8月3日基于卫星观测角度差异, 但Aqua/Terra卫星二者观测角整体与地面垂直观测角差异较大, 因此对比结果误差均偏大。 8月4日, Terra观测角(16.13° , 18.87° )与地面垂直测量角度具有更好的一致性, Terra星地对比验证结果优于Aqua卫星。 同样, 8月13日二者的反射率分布趋于一致, 而Aqua卫星观测角更贴近于地面测量角, 该天Aqua星地对比验证效果更好。
| 图5 基于MODIS双向反射分布参数模拟的Aqua、 Terra地表反射率半球分布Fig.5 Hemispherical distribution of Aqua and Terra surface reflectance based on MODIS bidirectional reflectance distribution parameter simulation |
同时, 为了分析实验区域地表的稳定性, 分别选取2020年、 2021年和2022年8月2日的MODIS地表BRDF产品并基于二向反射模型(式3)计算卫星观测几何下的BRDF值。 结果为: 7个波段(B1∶ B7)BRDF的标准差分别为1.23%、 1.16%、 0.30%、 1.02%、 0.85%、 0.71%、 1.16%, 总体小于2%, 表明该地表具有较稳定的地表反射特性。
2.4.2 多波段平均误差对比分析
通过每天的多波段平均误差计算结果, 如图6所示。 星地对比平均误差整体小于5%, 这与MODIS地表反射率产品的标称误差5%具有很好的一致性, 并且误差较为稳定。 8月2日、 4日、 13日的星地对比平均误差均在5%左右, 8月3日卫星观测角与地面垂直测量偏离较大, 造成星地对比误差相比于其他天误差大7%左右。 NBAR是根据BRDF调整太阳天顶角为0° 后的地表反射率, 对比2日和3日, NBAR星地对比平均误差低于4%, 4日和13日对比效果略差。 由此表明, NBAR对于大角度观测差异调整结果更好, 对于近天顶角观测的调整效果比较有限, 对于时间同步更重要。 此外, 对于8月4日与13日, 在调整了太阳角度之后, 大气环境中云量占据主导影响因素, 当大气存在时, 大气对太阳光的反射和散射就会增强[25], 参考MODIS历史卫星影像可知, 对于星下点反射率对比, 8月4日与13日星地误差对比误差会增大, 是抛开观测角度因素之后, 扩大了云量对到达地面辐射能量的影响, 进而造成星地对比误差结果不降反升的结果。
基于对中国青藏高原阿里地区狮泉河盆地的地物光谱采集实验, 通过光谱特征分析等方法, 分析了狮泉河盆地沙地的光谱特性并与敦煌场地典型光谱进行比较; 同时, 基于地表二向反射模型分析了观测几何对MODIS地表反射率产品(MOD09/MYD09)与地表测量光谱对比误差的影响, 进一步研究了调整下的卫星观测地表反射率(NBAR)的星地对比情况。 主要结论如下:
(1)阿里地区实验测量的沙地光谱反射率介于0.1~0.35左右。 通过不同采样点的多日平均光谱反射率, 采集样本的标准偏差小于2.5%, 表明该地区的沙地地表光谱特征稳定性较好, 阿里地区狮泉河盆地具有典型的沙地地表特征, 适宜开展高原地区地表辐射特性研究和卫星产品检验。
(2)通过对阿里地区测量的地表反射率与敦煌场地表反射率进行对比, 利用光谱角计算结果发现两者光谱角为2.18° , 地面光谱特征相似性较高。 研究结果表明阿里地区的沙地地表光谱具有一定的代表性, 可以对我国光学遥感卫星在轨辐射定标和检验提供理想场地参考。
(3)通过卫星观测地表反射率产品与地面测量反射率进行星地对比, 不同波段之间的对比结果看出, 在800~1 600 nm波段Aqua整体对比结果更好且误差稳定, 标准偏差约为0.5%; 而通过多日平均误差对比, Aqua星地对比验证结果总体平均误差小于5%, 与NASA的验证结果5%具有一致性。
(4)基于地表BRDF模型计算地表调整反射率(NBAR)并进行星地对比发现, Aqua与Terra星地对比平均误差分别降低1.3%和9.4%。 通过调整不同观测几何能减少由于太阳观测角度不同引起的星地对比误差, 且对于大角度观测的调整效果更好。
| [1] |
|
| [2] |
|
| [3] |
|
| [4] |
|
| [5] |
|
| [6] |
|
| [7] |
|
| [8] |
|
| [9] |
|
| [10] |
|
| [11] |
|
| [12] |
|
| [13] |
|
| [14] |
|
| [15] |
|
| [16] |
|
| [17] |
|
| [18] |
|
| [19] |
|
| [20] |
|
| [21] |
|
| [22] |
|
| [23] |
|
| [24] |
|
| [25] |
|

