作者简介: 陶蒙蒙, 1989年生, 西北核技术研究所激光与物质相互作用全国重点实验室副研究员e-mail: taomengmeng@nint.ac.cn
与传统的窄带扫描吸收光谱技术相比, 宽光谱吸收技术可以获取更宽光谱范围内的丰富吸收数据, 具有很大的技术优势。 宽光谱吸收技术测量系统的硬件与传统的可调谐二极管吸收光谱技术测量系统基本一致, 唯一不同的是宽光谱吸收技术则使用宽带调谐光源。 实际应用中, 宽光谱吸收光源一般都具有较宽的光谱覆盖范围(>20 nm), 而使用全谱段扫描会对数据采集、 存储和处理提出较高的要求, 从而增加系统成本和测量工作量。 因此, 选择合适宽度的光谱扫描区间就成为宽光谱吸收应用中的一个关键问题。 利用等效下能级概念, 提出了针对宽光谱吸收应用的光谱扫描区间选择的数值方法, 并针对1.3 μm波段和2 μm波段开展了扫描区间选择研究。 在1.3 μm波段, 计算给出的优选扫描谱段与文献报道中使用的谱段相重合, 验证了选择方法的可行性和正确性。 在2 μm波段, 在给定工况条件下, 通过实验数据验证了所选择扫描区间在温度反演精度方面的优越性。 针对实际应用中面临的宽工况环境, 通过计算给出了2 μm波段优选的扫描光谱区间。 计算结果表明, 在1.8 μm的短波段和1.9 μm的长波段均存在适用的光谱扫描区间, 其中, 1.86 μm附近测温精度最高; 更宽的扫描带宽有助于降低系统在全光谱范围内的整体测温不确定度。 相关研究可为宽光谱吸收技术在燃烧流场诊断的现场应用提供关键技术指导。
Compared with conventional narrow-band-scanning absorption spectroscopy, hyperspectral absorption spectroscopy shows great technical advantages thanks to more abundant absorption information covering a wider spectral range. In practical hyperspectral absorption applications, the laser source can usually be tuned within a wide spectral span (>20 nm). However, full-span tuning puts very high data acquisition, storage, and processing requirements, leading to a high system cost and mammoth workload. Consequently, scanning band selection with proper bandwidth becomes crucial for hyperspectral absorption applications. Here, a numerical method for scanning band selection is developed based on the frequency-dependent lower-state energy. And favourable scanning bands around 1.3 and 2 μm wavebands are selected. For the 1.3 μm waveband, the selected bands are consistent with those exploited in publications, validating the feasibility and correctness of the method. For the 2 μm waveband, the superiority of the selected bands in temperature measurement is verified with experimental data recorded at given operation conditions. Advantageous scanning bands around 2 μm are provided concerning the wide operation condition in practical applications. Calculations demonstrate that proper scanning bands exist at the 1.8 μm short and 1.9 μm long waveband, with the optimum at 1.86 μm. A larger scanning bandwidth may not result in the best temperature measurement accuracy, but generally, it brings about a smaller and more controllable uncertainty over the whole spectrum. These findings are instructive for field applications of hyperspectral absorption spectroscopy in engine combustion field diagnosis.
与传统的基于窄带DFB(distributed feedback)激光器的可调谐二极管吸收光谱技术(tunable diode laser absorption spectroscopy, TDLAS)相比, 宽光谱吸收技术可以记录宽带波长扫描范围内的介质吸收信息, 具有非常明显的技术优势, 在遥感、 诊断、 环境监测等不同应用领域得到了广泛关注[1, 2, 3, 4]。
宽光谱吸收技术测量系统的硬件与传统的TDLAS测量系统基本一致, 唯一不同的是TDLAS使用调谐带宽十分有限的DFB激光器, 而宽光谱吸收技术则使用宽带调谐光源。 因此, 宽光谱吸收技术的一个关键器件就是宽带调谐、 窄线宽的激光光源。 目前, 宽光谱吸收应用中常用的激光光源包括宽带可调谐半导体激光器[5, 6, 7, 8, 9, 10]、 傅里叶域锁模激光器[11, 12, 13, 14, 15]、 光频梳光源[16, 17, 18, 19, 20]和超连续谱光源[21, 22, 23, 24, 25, 26]等。
在初始的实验应用中, 一般都使用很宽的扫描谱段(> 20 nm)进行宽带吸收光谱测量和参数反演[5, 9, 11, 12, 13, 18, 22, 23, 24, 25, 26]。 2005年, Kranendonk等使用一个宽带调谐的外腔调谐半导体激光器, 利用H2O分子在1 374~1 472 nm约98 nm宽光谱范围内的吸收信息, 实现了对均质压燃发动机内温度和H2O分子浓度的测量[5]。 2007年, 傅里叶域锁模激光器在水的宽光谱吸收测量中得到了第一次验证[11]。 通过测量H2O分子在1 335~1 373 nm约38 nm宽光谱范围内的吸收信号, 获得了发动机燃烧室内的温度信息。 2014年, Rieker等使用一个双频梳光源测量了2 km大气的吸收光谱数据, 获得了1 600~1 670 nm约70 nm宽光谱范围内CO2、 CH4、 H2O、 HDO和13CO2等多种气体分子的吸收谱线信息, 实现了对多气体组分浓度的同时测量[18]。 2015年, 基于超连续谱光源的标准火焰参数定量测量得到首次验证[25]。 实验中, 使用超连续谱光源测得了H2O分子在1 340~1 485 nm光谱范围内的大量吸收谱线, 利用1 409~1 482 nm约73 nm宽光谱范围内的13条特征吸收谱线反演得到了火焰的温度分布以及H2O分子的摩尔分数信息。
虽然宽光谱扫描可以获得气体分子更为丰富的吸收信息, 但是也存在着一些缺点。 一方面, 过宽的扫描光谱范围会影响光源的波长扫描速率。 外腔调谐半导体激光器的典型最大波长扫描速率约为200 nm· s-1 [6, 7], 降低光谱扫描范围可以有效提高光源扫描速率, 从而提升测量系统的时间分辨能力。 另一方面, 在二维层析诊断中, 由于需要采用多路交叉的光束信号进行吸收信息测量, 过宽的扫描范围包含大量冗余的吸收谱线, 会对数采和后续的数据处理系统造成很大的负担[6, 7, 14, 15, 27]。 解决该问题的一个有效的办法就是对光源的光谱扫描范围进行筛选, 以同时确保足够的参数反演精度和高效的数据处理速度。
2009年, Caswell提出了等效下能级的概念, 为吸收光谱测量技术中分立谱线的选择奠定了基础[28]。 之后, An等对基于等效下能级的谱线选择问题进行了系统的研究[29, 30, 31]。 结果表明, 吸收光谱的温度测量不确定度可以表达为等效下能级的一个函数, 利用等效下能级可将谱线选择问题转化为一个数学优化问题, 从而实现了吸收谱线的程序化快速选择。 基于该选择方法, 2013年, Caswell等利用带宽约为1 nm, 中心波长分别位于1 350.50、 1 355.85和1 362.31 nm的三个扫描区间实现了对脉冲爆震燃烧室中气流速度、 温度、 压强以及H2O分子浓度的同时测量[14]。 同年, Ma等选择了1 346~1 363 nm波段内带宽约为2 nm的三个扫描区间对J85发动机燃烧室出口温度分布进行了二维层析诊断[15]。
基于等效下能级的选择方法将谱线选择问题进行了数值化求解, 与传统的基于定性描述的分析法相比[32, 33, 34, 35, 36, 37], 其谱线选择步骤更为清晰, 过程更为通用, 且可实现自动化选择。 但是, 在该方法中, 扫描区间的选择是基于所选择的敏感分立谱线的位置来确定的, 即先选择出温度敏感的分立谱线, 然后在分立谱线周围确定扫描光谱区间。 所以, 该方法并没有考虑扫描区间内其他吸收谱线的影响, 也没有针对连续扫描区间进行优化。
近年来, 课题组针对宽光谱吸收测量技术开展了系统的研究工作, 基于不同类型的宽带光源实现了对H2O、 CO和CO2等气体分子的宽光谱吸收测量[38, 39, 40, 41, 42]。 尤其是在H2O分子的宽光谱吸收测量方面, 研制了宽带调谐的窄线宽掺铥光纤激光器, 开展了分立谱线的选择研究[42, 43], 测量了H2O分子在2 μ m波段的宽光谱吸收特性, 并实现了对空气温度、 火焰温度以及H2O分子浓度等物理参数的准确反演[38, 39, 40, 41]。 然而, 在之前的研究中, 并未对激光器的扫描光谱范围进行针对性地选择, 而是使用光源的整个光谱扫描范围进行测量(> 40 nm), 给系统的数据采集和处理带来了较大挑战。
本文基于等效下能级概念, 提出了针对宽光谱吸收应用的连续光谱扫描区间选择方法。 分别给出了常温常压和高温常压条件下2 μ m波段的优选扫描光谱范围, 并通过实验数据进行了对比验证, 结果表明使用该方法选择的扫描区间进行温度反演, 可以有效提高系统的测量准确性。 在此基础上, 给出了宽工况条件下2 μ m波段的优选扫描光谱范围, 为宽光谱吸收技术在燃烧流场诊断现场应用中光源扫描范围的设置提供了直接指导。
Caswell和An等提出的谱线选择方法是在等效下能级概念基础上实现的。 与HITRAN数据库中的谱线下能级E不同, 等效下能级E'不是一个固定值, 它表征的是在特定波长位置处所有光谱范围内各个吸收谱线下能级的一个等效综合作用结果, 同时考虑了谱线重叠、 温度、 压强等因素。 等效下能级E'可表示为[28, 29, 30, 31]
$E^{\prime}=\frac{k_{\mathrm{B}} \ln \left[R \sqrt{\frac{T}{T_{\mathrm{ref}}}} \frac{Q(T)}{Q\left(T_{\mathrm{ref}}\right)}\right]}{h c\left(\frac{1}{T_{\mathrm{ref}}}-\frac{1}{T}\right)}$(1)
式(1)中, h为普朗克常数, c为真空中的光速, kB为玻尔兹曼常数, T为温度, Tref为参考温度, Q为配分函数, R为在温度T和Tref下的谱线强度之比。 一般情况下, 参考温度Tref取一个与温度T相近的温度点, 谱线强度比R可通过HITRAN数据库计算求解。
分立谱线测温的不确定度
$\begin{array}{l} \sqrt{\sum_{1}^{N}\left(\frac{\Delta a_{i}}{a_{i}}\right)^{2}\left(\sum_{1}^{N} E^{\prime}{ }_{i}-N E^{\prime}{ }_{i}\right)^{2}} \end{array}$(2)
式(2)中, E'i为谱线处的等效下能级, ai为谱线i的吸收强度, Δ ai为测量噪声, N为吸收谱线总数。
合适的吸收谱线应使系统的温度测量不确定度最小, 因此谱线选择过程就是在给定的光谱范围内寻找目标函数式(2)的最小值。 文献[38, 39]中我们采用了遗传算法进行最优分立谱线的选择。
对于宽带吸收光谱技术而言, 实际应用中一般光源都是连续扫描的。 此时, 整个光谱扫描范围内的所有谱线都会被选择, 而不再是只选择其中特定的若干敏感吸收谱线。 则宽谱扫描情况下, 系统测温不确定度应表示为
$\begin{array}{l} \frac{\Delta T}{T_{\left(N_{\text {all }}\right)}}=\frac{k_{\mathrm{B}} T}{h c\left|\left(\sum_{1}^{N_{\text {all }}} E^{\prime}{ }_{i}\right)^{2}-N_{\text {all }} \sum_{1}^{N_{\text {all }}} E_{i}^{\prime 2}\right|} \times \\ \sqrt{\sum_{1}^{N_{\text {all }}}\left(\frac{\Delta a_{i}}{a_{i}}\right)^{2}\left(\sum_{1}^{N_{\text {all }}} E^{\prime}{ }_{i}-N_{\text {all }} E^{\prime}{ }_{i}\right)^{2}} \end{array}$(3)
式(3)中, Nall为扫描光谱范围内的吸收谱线总数。
与分立谱线选择情况相比, 连续扫描范围的选择不需要使用极值求解算法。 在计算得到各吸收谱线处的等效下能级E'的基础上, 首先确定光谱扫描宽度Γ ; 然后, 依次以谱线λ 1、 λ 2、 …为起点, 计算扫描宽度Γ 内所有谱线的测温不确定度; 最后, 选择其中的最小值, 对应的光谱区间即为最优光谱扫描范围。
实际应用中, 选定的吸收谱线往往需要工作在一个较宽的温度区间内, 因此需要针对宽温度范围开展最优光谱扫描范围选择。 宽温度范围下的测量不确定度是测量温度区间范围内各个温度下测量不确定度之和的平均值, 即
$\frac{\Delta T}{T_{u T}}=\frac{\sum_{T} \frac{\Delta T}{T_{\left(N_{\text {all }}\right.}}}{N_{T}}=\frac{\sum_{T} \frac{k_{\mathrm{B}} T}{h c\left|\left(\sum_{1}^{N_{\text {all }}} E_{i}^{\prime}\right)^{2}-N_{\mathrm{all}} \sum_{1}^{N_{\mathrm{all}}} E_{i}^{\prime}\right|} \sqrt{\sum_{1}^{N_{\mathrm{all}}}\left(\frac{\Delta a_{i}}{a_{i}}\right)^{2}\left(\sum_{1}^{N_{\mathrm{all}}} E_{i}^{\prime}-N_{\mathrm{all}} E_{i}^{\prime}\right)^{2}}}{N_{T}}$(4)
其中, NT为计算中使用的温度数据的个数。 该式即为宽温度范围下光谱扫描范围选择的目标函数。
类似的, 针对温度和压强同时大动态变化的宽工况应用场景, 则有
$\frac{\Delta T}{T_{w T P}}=\frac{\sum_{P} \sum_{T} \frac{\Delta T}{T_{\left(N_{\text {all }}\right)}}}{N_{P} N_{T}}=\frac{\sum_{P} \sum_{T} \frac{k_{\mathrm{B}} T}{h c\left|\left(\sum_{1}^{N_{\text {all }}} E_{i}^{\prime}\right)^{2}-N_{\text {all }} \sum_{1}^{N_{\text {all }}} E_{i}^{\prime 2}\right|} \sqrt{\sum_{1}^{N_{\text {all }}}\left(\frac{\Delta a_{i}}{a_{i}}\right)^{2}\left(\sum_{1}^{N_{\text {all }}} E_{i}^{\prime}-N_{\text {all }} E_{i}^{\prime}\right)^{2}}}{N_{P} N_{T}}$(5)
式(5)中, NP为计算中使用的压强数据的个数。 式(5)即为宽工况条件下光谱扫描范围选择的目标函数。
首先, 针对1.34~1.37 μ m的傅里叶域锁模光纤激光器开展光谱扫描范围选择, 并与文献[14, 15]进行比对, 以验证该选择方法的可行性和正确性。 参考文献[14, 15]中都使用了三台傅里叶域锁模光纤激光器作为宽光谱吸收的扫描光源, 分别选择了三个不同的扫描谱段, 且两者使用的扫描带宽也不同。 具体光谱扫描参数如表1所示。 如无特殊说明, 计算中, 参考温度取为Tref=T-5。 在给定扫描时间条件下, 吸收强度测量噪声Δ a为[31]
$\Delta a=\sqrt{\frac{\Gamma}{2}} \times 10^{-4}$(6)
根据文献中的温度和压强范围, 选择得到的理想扫描谱段如表1所示。 对于文献[14]给出的测量条件, 设定光谱扫描带宽为1 nm, 可筛选得到7个较优的扫描谱段。 各谱段均给出了扫描的起始波长和终止波长, 使用时只需在7个谱段中任意选取1 nm的光谱扫描范围即可。 通过对比可以发现, 文献[14]中的谱段选择结果与本文选择结果有较大重合。 类似的, 针对文献[15]给出的测量条件, 设定2 nm的光谱扫描带宽, 筛选可得4个扫描谱段, 其中三个都与文献中使用的扫描谱段重合, 验证了本文中扫描区间选择方法的正确性。
1 nm扫描带宽下典型的测温不确定度随扫描起始波长的变化关系如图1所示。 图1中可见, 测温精度较高的区域集中在1.35~1.36 μ m波段, 而且各谱段的分布并不是连续的(如图1中的插图所示), 因此表1中所选择的相邻扫描谱段虽然有重叠, 但并不能合并。
针对2 μ m波段可调谐窄线宽掺铥光纤激光光源在宽光谱吸收技术中的应用, 开展光谱扫描范围选择研究, 重点针对现有光源所在的1.84~1.97 μ m波段选择合适的扫描区间[38, 39, 40, 41]。 计算中设置2、 5和10 nm三个扫描带宽。 实际应用中, 针对小带宽, 可采用与参考文献[14, 15]类似的做法, 即多个小的扫描谱段联用; 而对于大带宽, 仅使用单一大扫描区间即可。
2.2.1 给定工况条件下的扫描范围选择与实验验证
(1) 常温常压
常温常压条件下不同带宽的扫描谱段选择结果如表2所示。 表中分别给出了优选谱段和最优谱段。 最优谱段对应测温精度最高的扫描区间; 优选谱段测温精度与最优谱段基本相当, 因此, 实际应用中, 选择优选谱段即可。 可以看出, 测温精度较高的区域主要分布在两个波段, 即1.85~1.88 μ m波段和1.90~1.91 μ m波段, 其中, 1.85~1.88 μ m波段更优; 宽带宽的优选扫描区间覆盖窄带宽的选择结果。
| 表2 常温常压条件下不同带宽的扫描谱段选择结果 Table 2 Band selection results with different bandwidths at room temperature and atmospheric pressure |
为了验证选择结果的可靠性, 在实验室使用2 μ m波段宽带调谐光源对常温常压空气中H2O分子的宽光谱吸收特性进行了测量, 得到的典型吸收信号如图2所示。 其中, 图2(a)为H2O分子在1.8 μ m短波段的吸收数据, 图2(b)为1.9 μ m长波段的吸收数据。
| 图2 常温常压条件下空气中测得的H2O分子典型吸收数据 (a): 1.8 μ m短波段; (b): 1.9 μ m长波段Fig.2 Recorded absorption data of H2O in air at room temperature and atmospheric pressure (a): 1.8 μ m waveband; (b): 1.9 μ m waveband |
利用图2中的吸收数据, 以5 nm带宽为例, 分别使用表2中任一优选谱段和随机选择的一段谱段对空气温度进行了反演, 结果如图3所示。 计算中选择的优选谱段为1 873~1 878 nm, 反演得到的空气温度在[295.8 K, 300.8 K]范围内波动, 平均值为297.8 K, 标准差为1.0 K; 随机选择的反演谱段为1 912~1 917 nm, 反演得到的空气温度在[295.6 K, 302.3 K]范围内波动, 平均值为299.1 K, 标准差为2.1 K; 对比可见, 优选谱段温度反演结果明显优于普通谱段, 验证了该选择方法的可靠性。
(2) 高温常压
1 300 K常压条件下不同带宽的扫描谱段选择结果如表3所示。 表3中可以看出, 测温精度较高的区域主要分布在两个波段, 即1.84~1.88 μ m波段和1.93~1.97 μ m波段, 其中, 1.84~1.88 μ m波段更优; 宽带宽的优选扫描区间覆盖窄带宽的选择结果。
| 表3 1 300 K常压条件下不同带宽的扫描谱段选择结果 Table 3 Band selection results with different bandwidths at 1 300 K and atmospheric pressure |
为了进一步验证选择结果的可靠性, 在实验室使用2 μ m波段宽带调谐光源对常压下高温火焰中H2O分子的宽光谱吸收特性进行了测量, 测量结果如图4所示。 测量中光源扫描光谱范围覆盖1 910~1 970 nm约60 nm区间。 与常温下的吸收谱线相比可以看出, 高温下, H2O分子在1.9 μ m波段存在大量吸收谱线, 尤其是大量强度较弱的吸收谱线。
利用图4中的吸收数据, 以5 nm带宽为例, 分别使用表3中任一优选谱段和随机选择的一段谱段对火焰温度进行了反演, 结果如图5所示。 计算中选择的优选谱段为1 953~1 958 nm, 反演得到的空气温度在[1 260.5 K, 1 382.2 K]范围内波动, 平均值为1 322.1 K, 标准差为35.4 K; 随机选择的反演谱段为1 966~1 971 nm, 反演得到的空气温度在[1 134.2 K, 1 447.9 K]范围内波动, 平均值为1 331.6 K, 标准差为103.9 K; 对比可见, 优选谱段温度反演结果明显优于普通谱段, 进一步验证了该选择方法的可靠性。
2.2.2 宽工况条件下的扫描范围选择
(1) 常压宽温度范围
由式(3)可知, 测温不确定度与温度呈正比关系, 即随着温度的提高, 测温不确定度也会变大。 图6给出了常压环境中不同温度下的最优扫描区间对应的温度测量不确定度结果。 其中, 图6(a)中设定固定的扫描时间, 即依据式(6)设定吸收强度测量噪声Δ a与带宽Γ 的平方根呈正比关系; 图6(b)中设定固定的吸收强度测量噪声Δ a, 即Δ a=1× 10-4, 作为对比。
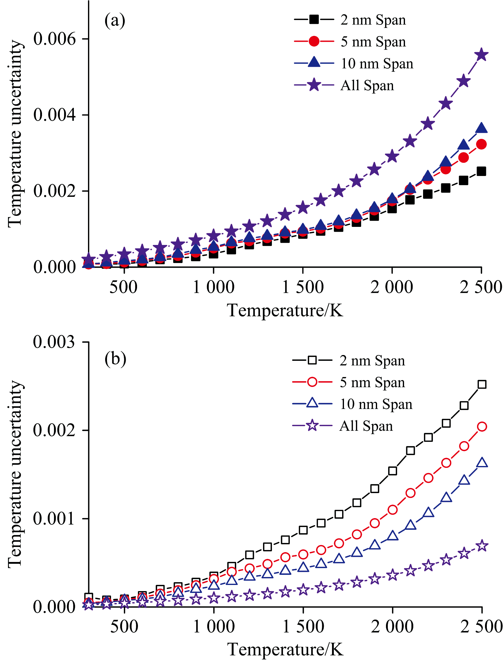
由图6可以看出, 随着温度的提高, 系统的温度测量不确定度逐渐提升。 图6(a)中, 当设定固定的扫描时间时, 测量噪声Δ a与带宽Γ 的平方根呈正比, 随着带宽的增加, 测量噪声Δ a也会逐渐增加。 对于2、 5和10 nm扫描带宽, 在2 000 K以内, 其最优测温不确定度几乎相当; 在2 000 K以上, 随着扫描带宽的增加, 系统测温不确定度呈下降趋势; 当使用1 840~1 970 nm全谱段进行测温时, 系统测温误差最大, 在2 500 K时, 其测温误差是2 nm带宽的2倍。 图6(b)中, 当测量噪声Δ a为固定值时, 系统测温精度随着扫描带宽的增加会有显著提升, 在2 500 K时, 使用全谱段的测温与2 nm带宽相比, 测温精度提高了约4倍。
图7中给出了常压环境不同温度下的最优扫描区间选择结果。 可以看出, 在大部分温度范围内, 不同扫描带宽的最优扫描区间是重合的, 即宽带宽的选择结果覆盖窄带宽的选择结果; 另外, 对于不同扫描带宽而言, 最优扫描区间都是具有一定的温度适用范围的。 例如, 对于10 nm扫描带宽, 1 867.8~1 877.8 nm的扫描区间在1 500~2 400 K的广阔温度范围内都是最优选择。
对于300~2 500 K整个宽温度范围而言, 不同扫描带宽下测温不确定度随扫描起始波长的变化情况如图8所示。 可以明显地看出, 就不同扫描带宽而言, 随着扫描带宽的增加, 全光谱范围内的整体测温误差得到了显著的抑制; 2 nm扫描带宽下, 系统最大不确定度达1.76%, 而在5和10 nm扫描带宽下, 该值分别降为0.63%和0.40%。 因此, 实际应用中, 在测温精度相近的情况下, 应优先选择使用宽带光谱进行扫描, 以保证系统整体的测量稳定性。
另外, 就不同扫描波段而言, 在1.86 μ m附近的短波段系统测温性能最为优异。 不同扫描带宽下筛选出的优选扫描谱段如表4所示。 可见, 在1.84~1.88 μ m的短波段和1.95~1.97 μ m的长波段均可以找到较为适用的扫描区间, 而1.86 μ m附近是2 μ m波段最优的测温扫描区间。
| 表4 300~2 500 K宽温度范围下不同扫描带宽的扫描谱段选择结果 Table 4 Selection results for 300~2 500 K temperature range and atmospheric pressure |
综合考虑300~2 500 K宽温度范围内的扫描区间选择结果, 不同带宽下的最优测温不确定度如图9所示。 当采用固定扫描时间时, 不同扫描带宽下的最优测温精度相差不大, 最优扫描带宽约为3 nm; 当采用固定噪声时, 随着扫描带宽的增加, 系统测温精度不断提升。
(2) 宽工况条件
对于300~2 500 K、 1~20 atm的宽工况条件而言, 不同扫描带宽下测温不确定度随扫描起始波长的变化情况如图10所示。 与图8中宽温度范围下的计算结果类似, 更大的扫描带宽可以使系统在整体上获得更为可控且稳定的测温误差; 系统测温精度最高的区域位于1.86 μ m附近的短波段, 且不同带宽的最优测温精度十分相近。
| 图10 300~2 500 K、 1~20 atm宽工况条件下测温不确定度随起始扫描波长变化关系 图中黑色实线、 红色虚线和蓝色点线分别代表2、 5和10 nm的扫描带宽Fig.10 Variation of temperature uncertainty against the start wavelength for a wide operation condition featuring a 300~2 500 K temperature range and a 1~20 atm pressure range The black solid, the red dashed and the blue dotted represent the uncertainties for scanning bandwidths of 2, 5 and 10 nm, respectively |
表5给出了宽工况条件下不同扫描带宽的优选扫描谱段和最优扫描谱段。 与表4对比可以发现, 与宽温度范围的应用场景相似, 宽工况条件下, 系统在1.84~1.88 μ m的短波段和1.95~1.97 μ m的长波段均可以找到较为适用的扫描区间, 但最优扫描区间仍位于1.86 μ m附近。
| 表5 300~2 500 K、 1~20 atm宽工况条件下不同扫描带宽的扫描谱段选择结果 Table 5 Selection results for different bandwidths under a wide operation condition featuring a 300~2 500 K temperature range and a 1~20 atm pressure range |
图11给出了宽工况条件下最优扫描区间对应的最优测温不确定度信息。 不同带宽下的测温不确定度变化趋势与图9中宽温度范围下的计算结果较为一致。 在采用固定扫描时间时, 扫描带宽在1 nm以上时, 不同扫描带宽下的最优测温精度相近, 存在一个最优扫描带宽, 约为3 nm。 当采用固定噪声时, 系统测温精度会随着扫描带宽的增加而不断提升。
通过上述研究可以发现, 针对宽光谱吸收应用, 基于等效下能级概念的谱线选择数值方法是开展光谱扫描区间选择的有效手段。 通过常温和高温条件下的选择结果对比可见, 温度是影响最优扫描光谱范围的最关键因素; 通过常压宽温度范围和宽工况条件的选择结果对比可见, 与温度相比, 压强对最优扫描光谱范围的影响相对较弱。 总的来说, 利用2 μ m波段光源开展宽工况条件下的宽光谱吸收测量应用时, 应优先选择1.86 μ m附近的扫描区间, 以保证较高的温度测量精度; 为了兼顾测温精度和系统整体的测量稳定性, 扫描带宽选择3~10 nm较为合适。
基于等效下能级概念, 利用谱线选择的数值方法, 实现了对2 μ m波段宽光谱吸收应用中光谱扫描区间的选择。 结果表明, 宽工况条件下, 1.8 μ m波段是最优的扫描区间, 尤以1.86 μ m附近的测温精度最高, 在1.9 μ m波段也存在一个较优的扫描区间; 温度是影响扫描区间选择的关键因素, 而压强的影响则较弱。 在固定噪声条件下, 扫描带宽越大, 系统测量不确定度越小; 在固定扫描时间条件下, 存在一个最优扫描带宽, 约为3 nm; 总的来说, 更大的扫描带宽有助于降低系统的整体测量误差。 在实际应用中, 针对待测环境的温度范围, 通过选择合适的扫描区间和扫描带宽, 可以有效降低系统的测温不确定度。
| [1] |
|
| [2] |
|
| [3] |
|
| [4] |
|
| [5] |
|
| [6] |
|
| [7] |
|
| [8] |
|
| [9] |
|
| [10] |
|
| [11] |
|
| [12] |
|
| [13] |
|
| [14] |
|
| [15] |
|
| [16] |
|
| [17] |
|
| [18] |
|
| [19] |
|
| [20] |
|
| [21] |
|
| [22] |
|
| [23] |
|
| [24] |
|
| [25] |
|
| [26] |
|
| [27] |
|
| [28] |
|
| [29] |
|
| [30] |
|
| [31] |
|
| [32] |
|
| [33] |
|
| [34] |
|
| [35] |
|
| [36] |
|
| [37] |
|
| [38] |
|
| [39] |
|
| [40] |
|
| [41] |
|
| [42] |
|
| [43] |
|

