作者简介: 李 阳, 1996年生, 北京工商大学食品安全大数据技术北京市重点实验室硕士研究生 e-mail: liyang9218@163.com
为无损探究种子成分分布与种子活力变化的内在关系, 以玉米种子主要成分淀粉为研究对象, 将太赫兹时域反射成像技术与移动窗口相关系数法相结合, 无损可视化构建不同活力程度的玉米种子淀粉空间分布图。 以郑单958玉米品种为例, 实验通过人工老化方式(40 ℃, 100%RH)制备老化0、 18、 36、 54、 72 h的种子样本, 采用Terapluse 4000太赫兹时域光谱仪及反射成像附件扫描获取不同老化程度的样本和纯玉米淀粉样品的太赫兹光谱图像。 以16.35 cm-1下THz图像为基准, 采用阈值分割法精确提取种子胚乳、 种胚区域, 通过对比不同组织区域内THz平均吸光度可得胚乳和种胚光谱明显差异, 且胚乳和淀粉纯物质在51.96 cm-1附近存在明显的共同吸收峰。 应用移动窗口相关系数法(窗口宽度为20, 移动步长为10), 逐像素点计算种子太赫兹时域光谱与纯玉米淀粉光谱的-相关系数, 并根据相关系数值以及坐标信息绘制伪彩色热力图, 可视化构建玉米种子淀粉分布图。 实验统计5个老化阶段、 6个谱区窗口的淀粉分布图中相关系数>0.8的像素点占比可得: 在29.83~67.36 cm-1区间内, 种子胚乳和种子区域内的淀粉含量在种子活力下降过程中呈现总体下降趋势, 即种子淀粉含量与活力呈现正相关关系。 实验结果表明: 太赫兹时域光谱反射成像技术结合移动窗口相关系数伪彩色成像分析方法可以初步实现种子活力变化过程中玉米种子淀粉空间分布特性的无损探测, 该技术可为深入研究种子化学成分与其自身活力之间的制约关系, 无损解析种子生命活动与自身生理生态规律变化提供崭新的视角和方法。
To identify the intrinsic relationship between the distribution of seed composition and the change in seed vigour using a nondestructive testing method, this study chooses starch, a major component of corn seeds, as the research object. Combining the terahertz (THz) time-domain spectral reflection imaging technology with moving-window correlation coefficient imaging, a visualised map showing the spatial distribution of starch in corn seeds with different vigour degrees is constructed. Using the Zhengdan 958 corn variety as an example, a test is conducted to apply an artificial ageing method to prepare samples aged 0, 18, 36, 54 and 72 h. Then, the THz spectrometer is used to scan the reflection imaging attachments to obtain THz images of the samples. The THz image at 16.35 cm-1 was used as a benchmark, and the endosperm and seed embryo regions of the seeds were accurately extracted using the threshold segmentation method. By comparing the average absorbance of THz in different tissue regions, it can be obtained that the endosperm and seed embryo spectra differ significantly, and there is an obvious common absorption peak near 51.96 cm-1 for endosperm and starch pure substances. The moving window correlation coefficient method (window width 20, moving step 10) was applied to calculate the correlation coefficient between the terahertz time-domain spectrum of the seeds and the pure maize starch spectrum on a pixel-by-pixel basis and to construct a pseudo-colour heat map based on the correlation coefficient values and the coordinate information to visualise the maize seed starch distribution. Statistics on the percentage of pixel points with a correlation coefficient of >0.8 in the starch distribution map and covering five ageing stages and six spectral region windows lead to the conclusion that within the range of 29.83~67.36 cm-1 of the starch in the endosperm area of the seed exhibits an overall downward trend in vigour decline, presenting a positive correlation with vigour. Test results show that the THz time-domain spectral imaging technology can preliminarily realise the nondestructive detection of the spatial distribution characteristics of starch in corn seeds as seed vigour changes when it is used with the moving-window correlation coefficient pseudo-colour imaging analysis method. This technique provides a new perspective and method for studying the relationship between the chemical composition of seeds and their vitality and for non-destructively analysing changes in the vital activity of seeds and their own physiological and ecological patterns.
农作物种子成分分布及其含量的不同决定了种子在萌发、 成熟、 劣变等生理活动过程中所表现出的生化特性和机能存在显著差异。 淀粉是玉米种子的重要成分, 其含量通常可达种子的60%~75%[1, 2, 3]。 探究种子活力变化过程中玉米种子淀粉分布变化规律, 对于种子活力机制研究, 预防种子活力丧失、 促进农业生产具有极为重要的意义。
传统的种子活力变化过程中的成分检测大都以化学实验方法为主, 存在试样破坏性、 操作复杂等弊端[4, 5], 难以满足现代农业发展提出的快速、 无损的检测需求, 且鲜有种子成分分布研究。 近年来, 太赫兹(Terahertz, THz)时域光谱及成像技术[6, 7, 8]以其丰富的图谱特性、 安全性和穿透性, 迅速成为农业快速无损检测领域的研究热点[9, 10, 11, 12], 极有潜力成为继近红外、 X光技术之后的一项新兴补充技术。
步正延等[13]提出一种基于THz时域光谱成像技术的大豆叶片水分含量测定方法。 实验利用THz透射成像系统采集0~2 THz范围内96份大豆叶片的光谱图像; 采用自适应阈值分割方法对3个水分敏感特征波段下的叶片图像进行分割, 划分出叶片特征组、 叶脉特征组和叶肉特征组; 分别采用MLR、 BP和LS-SVM算法建立叶片水分含量预测模型, 其中基于叶肉特征组的LS-SVM模型预测集的决定系数和均方根误差分别为0.963 2和0.046 5。 Nakajima等[14]采集了绿豆种子萌发后1~7 d的吸光度谱(3.0~13.5 THz), 基于淀粉共价振动THz特征频率(9.0 THz)建立绿豆幼苗淀粉含量预测模型, 相关系数可达0.98。 利用THz技术进行作物成分检测理论上是可行的, 但现有研究大都采用粉碎压片的形式制样, 直接应用THz时域成像技术非破坏性检测作物成分鲜有研究报道。
本工作将THz光谱反射成像技术与移动窗口相关系数成像法相结合, 探索无损可视化构建玉米种子淀粉空间分布图的可行性, 拟通过统计分析不同活力阶段的种子淀粉分布图探索种子活力变化与种子成分分布的内在关系, 以期为无损探测和解析种子生理活动提供崭新的视角和方法。
实验以郑单958玉米品种为例, 采用种子老化箱, 在温度为40 ℃、 100% RH(相对湿度)条件下将种子样本分批老化0、 18、 36、 54、 72 h, 如图1(a)所示。
|  | 图1 样本制备 (a): 老化玉米种子样本; (b): 纯淀粉标样Fig.1 Sample preparation (a): Aged corn seed sample; (b): Pure starch specimen | 
纯淀粉标样所需的玉米淀粉及聚乙烯粉末均购自于赛谱锐思公司, 将玉米淀粉与高密度聚乙烯粉末按照1:1的比例进行充分混合, 在压片机下制成厚度约为1 mm的薄片样本, 图1(b)所示。
采用英国Teraview公司的TeraPulse 4000太赫兹时域光谱仪以及反射成像附件, 参数设定如下: 成像区域为20 mm× 20 mm, 横/纵向步长为200 μ m。
将老化0、 18、 36、 54、 72 h的玉米种子样本(胚朝下)及纯淀粉标样分别置于反射成像系统中心位置, 单个像素点扫描3次取平均。 环境温度为22 ℃。 图2所示为反射成像采集实验。
相关系数成像法[15]以某一条光谱为标准, 计算图像上每一个像素点的光谱与标准光谱的相关系数来衡量两个变量因素的相关密切程度, 再根据相关系数值进行伪彩色成像。 相关系数计算如式(1)所示
 
式(1)中, x和y分别为玉米种子单像素点光谱和纯淀粉标样光谱,  
采用上述相关系数成像法计算种子各像素点光谱与纯淀粉标样光谱之间的相关系数, 对相关系数进行伪彩色成像得到种子淀粉分布图。
单个样本的THz反射成像数据集共包含0~269.5 cm-1区间内281个波长的灰度图像(如图3所示), 灰度值即为样本在该波长处的吸光度值。 在> 70 cm-1后的图像质量较差, 种子轮廓信息几乎被噪点淹没, 因此仅保留0~70 cm-1区间内71个波长的灰度图像做后续分析。
以与非目标区域区分较为明显的16.35 cm-1的灰度图像为基准, 采用阈值分割方法剔除背景, 提取种子种胚、 胚乳以及纯淀粉标样区域。
以老化0 h样本为例, 图4所示为玉米种子样本中提取的胚乳、 种胚及纯淀粉标样区域内计算得到的THz吸光度平均谱。 其中红色实线所示的胚乳在28.86和51.96 cm-1处存在明显吸收峰; 蓝色实线所示的种胚在0~70 cm-1范围内无明显吸收峰; 黑色实线所示的淀粉纯物质在3.84以及51.96 cm-1有明显的吸收峰。 从图4中可见胚乳和种胚光谱差异明显, 这是由于两者所含的主要成分不同导致的: 玉米种子胚乳成分以淀粉为主, 而种胚成分则以蛋白和脂肪为主。 胚乳和淀粉纯物质在51.96 cm-1附近存在明显的共同吸收峰, 也从侧面反映了胚乳中主要成分以含淀粉为主。
以老化0 h的种子样本为例, 应用移动窗口相关系数成像法构建淀粉可视化分布图, 步骤如下:
①移动窗口划分: 不同区间的光谱信息所反映的种子成分信息不同, 为找到能够表征淀粉成分的合适谱区窗口, 实验设窗口宽度为20, 移动步长为10, 在0~70 cm-1范围内划分得到如下6个子窗口: 1— 21(0~19.24 cm-1), 11— 31(9.62~28.87 cm-1), 21— 41(20.21~38.49 cm-1), 31— 51(29.83~48.11 cm-1), 41— 61(38.49~57.74 cm-1), 51— 71(48.11~67.36 cm-1);
②相关系数计算: 采用式(1)分别计算玉米种子各像素点与淀粉纯物质光谱在6个子窗口中的相关系数;
③伪彩色成像: 根据相关系数值以及坐标信息绘制伪彩色热力图, 以相关系数值大小划分色阶, 其中相关系数为1用红色表示, 表明该像素点成分主要为淀粉, 相关系数为0用蓝色表示, 表明该像素点成分与淀粉基本无关, 最终6个子窗口的玉米种子-淀粉纯物质相关系数值可视化分布图如图5(a— f)所示。
图5(d)— (f)能够较为明显地分辨种胚和胚乳区域淀粉分布情况, 其中胚乳区域内的相关系数大多在0.5~1.0之间, 而种胚区域内的相关系数大多在0~0.5之间。 胚乳区域大部分呈现红色, 表明淀粉主要分布在胚乳区域, 与实际情况较为相符。
当0.8< r< 1时, 像素点光谱与纯淀粉光谱存在强相关性, 可判定该像素点成分主要为淀粉。 定义式(2)即目标区域内相关系数> 0.8的像素点占比来量化统计不同活力阶段的淀粉分布变化。 Ratior> 0.8值越大表明种子淀粉含量越高。
 
由于淀粉在胚乳和种胚中含量存在显著差异, 为精细化分析不同活力阶段胚乳和种胚中淀粉的分布变化, 实验分别针对胚乳、 种胚、 整粒的Ratior> 0.8进行统计分析。
2.3.1 胚乳淀粉分布分析
根据式(2)计算相关系数> 0.8的像素点占胚乳比Ratior> 0.8, 统计信息如表1所示。
|  | 表1 胚乳Ratior> 0.8统计信息表 Table 1 Statistical information of endosperm Ratior> 0.8 | 
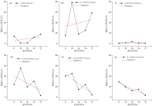
根据表1可得图6所示胚乳Ratior> 0.8折线图。 在6个子窗口下, 可以直观的观察到Ratior> 0.8在不同老化阶段的数值并线性拟合出Ratior> 0.8的趋势线。 (a)— (f)窗口Ratior> 0.8没有统一的变化趋势。 然而根据2.2节移动窗口相关系数成像分析可得, 子窗口(d)— (f)的淀粉可视化分布图与淀粉实际分布情况较为相符。 因此这里重点分析子窗口(d)— (f)下淀粉分布变化情况: 随着老化时间增加, 活力逐渐下降过程中, 三个子窗口中的Ratior> 0.8也在不断变化, 可能是淀粉在分解过程中直链淀粉增加与支链淀粉减少相互抵消所导致; 三个子窗口中淀粉含量分布总体上均呈下降趋势, 与种子活力下降成正相关关系。
|  | 图6 胚乳Ratior> 0.8折线图 (a), (b), (c), (d), (e), (f)为窗口Fig.6 Line chart of endosperm Ratior> 0.8 (a), (b), (c), (d), (e), (f) is windows | 
2.3.2 种胚淀粉分布分析
与2.3.1节分析类似, 首先根据式(2)计算相关系数r> 0.8的像素点占种胚比Ratior> 0.8, 统计信息如表2所示。
|  | 表2 种胚Ratior> 0.8统计信息表 Table 2 Statistical information of embryo Ratior> 0.8 | 
根据表2得到图7所示种胚Ratior> 0.8折线图。 种胚的Ratior> 0.8总体上小于胚乳的Ratior> 0.8, 这与淀粉实际分布情况相符。 种胚6个子窗口的Ratior> 0.8也没有统一的变化趋势。 选取与胚乳分析相同的子窗口(d)— (f)可得: 随着老化时间延长, 活力逐渐下降过程中, 三个子窗口中的Ratior> 0.8也在不断变化, 可能是淀粉在分解过程中直链淀粉增加与支链淀粉减少相互抵消所导致; (d)、 (e)子窗口中淀粉含量拟合曲线呈下降趋势, 与种子活力下降成正相关关系, 但(f)窗口例外, 尽管72 h的Ratior> 0.8小于0 h的Ratior> 0.8, 但拟合曲线整体呈上升趋势。
|  | 图7 种胚Ratior> 0.8折线图 (a), (b), (c), (d), (e), (f)为窗口Fig.7 Line chart of embryo Ratior> 0.8 (a), (b), (c), (d), (e), (f) is windows | 
2.3.3 种子淀粉分布分析
图8所示为整粒种子相关系数> 0.8的像素点占整体比的折线图。 同样在(d)— (f)窗口, 可以得到和胚乳中淀粉分布相似结论, 即随着种子老化进程的加剧, Ratior> 0.8逐渐减小, 与拟合曲线变化趋势线一致, 与种子活力下降成正比关系。
|  | 图8 种子Ratior> 0.8折线图 (a), (b), (c), (d), (e), (f)为窗口Fig.8 Line chart of seed Ratior> 0.8 (a), (b), (c), (d), (e), (f) is windows | 
综合2.3.1— 2.3.3节胚乳、 种胚以及整粒种子淀粉分布Ratior> 0.8可得: 表征淀粉变化的特征波段位于(d)— (f)窗口即29.83~67.36 cm-1范围内, 与纯淀粉标样光谱特征吸收峰波段位置基本一致(50~60 cm-1之间); 在该特征谱区窗口内, 胚乳和整粒种子的Ratior> 0.8振荡下降, 且拟合趋势线线斜率< 0, 表明淀粉含量随着活力下降在不断降低, 这与文献[16]中结论一致: 即玉米种子随着老化时间的延长直链淀粉含量增加, 支链淀粉含量下降, 总淀粉含量呈下降的趋势。
应用THz时域光谱反射成像技术结合相关系数成像法无损可视化构建玉米种子淀粉分布图: ①在29.83~67.36 cm-1特征谱区内, 淀粉分布与实际情况相符, 即淀粉主要分布在胚乳区域; ②在上述特征谱区内, 随着老化进程的加剧, 种子活力不断下降, 统计不同活力阶段的胚乳、 种胚和整粒种子的相关系数> 0.8的像素点占比可得, 胚乳和整粒种子的Ratior> 0.8不断下降, 拟合趋势线斜率< 0, 淀粉含量总体下降, 与种子活力变化呈正相关关系。 研究结果表明: THz时域光谱成像技术结合移动窗口相关系数伪彩色成像分析方法可以初步实现种子活力变化过程中玉米种子淀粉空间分布特性的无损探测, 该技术有望为无损解析种子生理生态变化提供崭新的视角和方法。
| [1] |  | 
| [2] |  | 
| [3] |  | 
| [4] |  | 
| [5] |  | 
| [6] |  | 
| [7] |  | 
| [8] |  | 
| [9] |  | 
| [10] |  | 
| [11] |  | 
| [12] |  | 
| [13] |  | 
| [14] |  | 
| [15] |  | 
| [16] |  | 

 
				



