作者简介: 吕新妍, 女, 1998年生, 西北大学文化遗产学院硕士研究生 e-mail: 202120969@stumail.nwu.edu.cn
曲龙遗址位于西藏自治区阿里地区, 是一处延续时间极长且遗存类型丰富的人类活动遗迹。 所研究的饰品出土于曲龙遗址塞拉钦波普地点2号墓(M2), 距今约2700~2400年。 由于制作时的加工打磨和长期地下埋藏所遭受的风化侵蚀, 已无法单从外观上判断8个饰件的原料, 因此该研究通过使用超景深显微分析、 傅里叶变换红外光谱技术(FTIR)、 X射线衍射实验分析(XRD)、 热分析技术(TGA-DSC)、 X射线荧光光谱分析(XRF)、 扫描电子显微镜(SEM)以及多孔材密度、 孔隙率、 吸水率测试等多种分析方法不仅确定了饰品的化学成分和原料来源, 而且对其微观形貌、 形制特点、 保存状况等也进行了科学全面的分析。 结果表明: 8个穿孔饰件的原料来自于不同种类淡水贝贝壳的珍珠层, 其主要化学成分是文石型碳酸钙, 也残留有少量有机物及Fe, Ba, Cr和Cu等微量元素; 饰件表面均有打磨痕迹, 钻孔方式为对钻, 且较厚饰件的穿孔为双面桯钻而成; 饰件总体上风化严重, 光泽不再且均有一定程度的酥粉, 开孔孔隙率及吸水率远高于现代贝壳, 出现这些病害的主要原因是有机物流失所导致的贝壳珍珠层文石板片松散杂乱。 研究结论一方面为西藏西部地区象雄时期的饰品选材、 形制、 制作工艺等研究提供了重要信息, 反映了当时社会的用贝情况和审美内涵, 另一方面也为此类出土文物后续的保护修复提供了有益的参考。
The Qulong Site, located in Ngari Prefecture of Tibet Autonomous Region, is a relic of human activities with a long duration and rich types of remains. The ornaments studied in this paper were excavated from tomb No.2(M2) of Sailaqinbopu Locus, the Qulong Site, dating back to about 2700~2400 years ago. Due to the processing and grinding during production and the weathering and erosion suffered by long-term underground burial, it is impossible to judge the raw materials of the eight ornaments only from their appearance. Therefore, ultra-depth of field microscopic analysis, Fourier transform infrared spectroscopy (FTIR), X-ray diffraction experimental analysis (XRD), thermal analysis (TGA-DSC), X-ray fluorescence spectrometry (XRF), Scanning electron microscopy (SEM) and porous material density, porosity, water absorption test were used not only to determine the chemical composition and raw material source of ornaments, but also to scientifically and comprehensively analyze its microscopic morphology, shape and structure characteristics and preservation condition. The results show that the raw materials of eight ornaments come from the pearl layer of different freshwater shellfish shells, and the main components are aragonite calcium carbonate, with a small amount of organic matter and trace elements such as Fe, Ba, Cr, Cu; there are grinding marks on the surface of the ornaments, and the drilling method is drilling from both sides, and holes of thicker ornaments are drilled with a bit; the overall weathering is serious, luster is no longer and all have a certain degree of crisp powder, porosity and water absorption rate of the open holes are higher than the modern shell, and the main reason for these diseases is the loose and disorderly shell pearl layer aragonite plates caused by loss of organic matter. On the one hand, the above research conclusions provide important information on the material selection, shape and production technology of ornaments in the Xiangxiong period in western Tibet, and reflect the situation and aesthetic connotation of shellfish use in society at that time. On the other hand, they also provide valuable reference materials for the subsequent protection and restoration of such unearthed cultural relics.
曲龙遗址位于西藏自治区阿里地区札达县达巴乡曲龙村, 自2015年开始, 在国家文物局、 西藏自治区文物局的支持下, 陕西省考古研究院、 西藏自治区文物保护研究所和西北大学等单位联合在曲龙遗址进行持续考古调查和发掘工作。 前期工作显示, 曲龙遗址由9 处遗存点构成, 它们或独立或交叉分布于海拔四千多米的象泉河上游两岸[1], 见图1。 有学者认为, 曲龙遗址为西藏西部古代象雄王朝都城“ 琼隆银城” 之所在地[2]。 测年数据显示, 曲龙遗址的年代最早可追溯到公元前8世纪, 而位于琼隆地点的洞室、 佛塔以及出土的生活、 宗教遗物又具有古格王朝(公元9— 17世纪)的特点[1], 可见其延续时间之长。
目前, 联合调查队已经在曲龙遗址发现了大量墓葬、 岩画、 石构遗迹、 窑洞、 院落、 房址、 佛寺、 佛塔、 石器、 木器、 佛像、 玻璃珠、 陶片、 饰件、 动物骨骼及佛教泥塑像擦擦等, 文物类型丰富。 这些遗物遗迹对于揭示青藏高原西部地区古代文明进程、 探究曲龙遗址与丝绸之路穿越喜马拉雅山脉路网的关系都极具研究价值[1]。
研究的这组饰品2019年出土于曲龙遗址塞拉钦波普地点2号墓, 14C测年结果表明, 墓葬距今约2700~2400年。 由于经历过制作时的打磨加工及地下埋藏过程中的风化侵蚀, 从外观上基本已经无法判断这些饰件的原料, 更遑论其来源及制作工艺。 本工作对其中一组8个样品进行科学分析, 试图从化学成分、 微观形貌、 形制特点等出发对上述问题进行研究和探讨。
在技术手段上, 主要采用超景深三维视频显微系统和扫描电子显微镜(SEM)观察饰件的表面形貌, 采用傅里叶变换红外光谱技术(FTIR)、 X射线衍射技术(XRD)和热分析(TGA-DSC)研究样品的矿物学特征, 采用X射线荧光光谱仪(XRF)分析样品的元素组成, 采用多孔材密度、 孔隙率、 吸水率测试仪判断饰件的保存状况及风化原因。
饰品出土于曲龙遗址塞拉钦波普地点2号墓东北角, 墓葬结构为方形土坑墓。 8个穿孔饰件样品见图2, 从左至右依次编号为A, B, C, D, E, F, G和H。 其中, 样品A与B为大致为圆形, 形似双壳纲贝壳, 中有穿孔, 凸面有横纹, 样品C, D, F, G和H为网坠形, 中部凿刻下陷, 两端各有一孔, 均有明显残缺, 样品E为鱼形, 中部有缺失。 每个样品均有不同程度的酥粉, 触之即有粉末掉落。
1.2.1 超景深三维视频显微系统
采用日本HIROX公司KH-8700型超景深三维视频显微系统直接观察样品表面细节, 放大倍数50。
1.2.2 傅里叶变换红外光谱仪
采用德国BRUKER公司TENSOR 27型傅里叶变换红外光谱仪, 波数范围4 000~600 cm-1, 分辨率为4 cm-1。 测试时从样品表面取少量粉末制成溴化钾压片。
1.2.3 X射线衍射仪
采用日本株式会社理学SmartLAB转靶型X射线衍射仪, 将样品固定于制样框中无损检测。
1.2.4 热重分析仪
从样品表面取5~8 mg粉末, 采用METTLER TOLEDO公司TGA-DSC3+同步热分析仪进行测试, 加热速度20 ℃· min-1, 测温范围50~1 000 ℃。
1.2.5 X射线荧光光谱仪
采用德国布鲁克BRUKER公司TRACER Ⅲ -Ⅴ 型便携式X射线荧光光谱仪对样品进行无损分析, 测试模式为TrMudRock, 测试时间90 s。
1.2.6 扫描电子显微镜
采用捷克TESCAN公司VEGA-3XMU型扫描电子显微镜, 加速电压20 kV。 测试时用导电胶将样品固定。
1.2.7 多孔材密度、 孔隙率、 吸水率测试仪
采用秒准科学仪器有限公司MZ-C300多孔材密度、 孔隙率、 吸水率测试仪。
饰件样品的超景深摄影照片见图3。 从图3(a— d)分别可以看出, 样品A, B, C, D和F的正反两面形貌相似, 均存在打磨痕迹, 说明样品整体都被打磨过(其余样品表面形貌同A, B, C, D和F相似), 样品A与B的横纹上有黑色颗粒聚集, 推测纹路是天然形成的。 使用游标卡尺测量样品外孔径的结果见表1。 样品A与B较其他样品厚度更薄, 其穿孔并非规整的圆形, 且正反面没有孔径大小的差别, 但可见到由于对钻错位形成的台痕, 因此穿孔是多次对钻而成[图3(f), (g)]。 样品C的反面外孔径稍大于正面外孔径, 样品D的正反外孔径数值相近, 且照片显示C与D的孔壁均呈向内凸起的弧形[图3(h), (i)], 因为桯钻会导致打孔外口阔而内壁逐步缩小, 所以可以确定样品C和D的穿孔是双向桯钻而成。
| 表1 样品外孔径 Table 1 The outer aperture of samples |
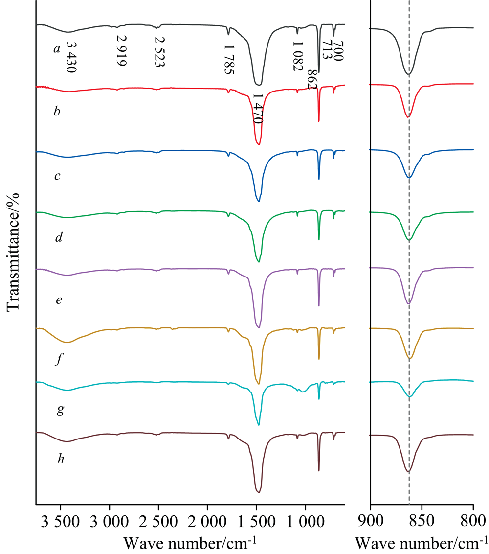
红外光谱测试结果见图4。 3 430 cm-1附近的吸收峰为水分子— OH的反对称振动吸收峰, 2 919 cm-1附近的吸收峰表明存在碳氢有机化合物, 2 523 cm-1附近的峰是含氨基的有机物振动引起的。 1 785, 1 470, 1 082, 862, 713和700 cm-1的吸收峰为文石型碳酸钙的特征吸收峰, 其中1 785 cm-1处的吸收峰是文石型碳酸根的C=O振动峰, 1 470 cm-1附近的强吸收峰是文石型碳酸钙晶体的ν 3特征吸收峰, 代表C— O键的反对称伸缩振动, 862 cm-1附近的吸收峰为文石晶体的ν 2吸收峰, 与C— O键的弯曲振动有关, 在713和700 cm-1处出现的双峰ν 4为碳酸根离子面内弯曲振动产生的吸收峰[3]。
文石是碳酸钙的准稳态同质多像体, 按成因可将其分为生物成因文石和无机成因文石, 前者存在于许多无脊椎动物骨骼中, 后者是地质作用形成或者人工合成。 比较不同成因和来源的文石的红外光谱, 发现珍珠及贝壳珍珠层文石的谱图较其他种类文石有其独有的特征— — 珍珠及珍珠层文石面外弯曲振动ν 2的频率平均值为863.6 cm-1, 珊瑚文石及无机文石的ν 2的频率分别为855.7和854.5 cm-1左右[4, 5], 而这组饰件的ν 2的频率在862.0 cm-1附近, 属于前者。 由此可知8个饰件样品的主要成分皆为文石型碳酸钙, 且其中含有少量含氨基有机化合物, 应当是贝壳里所含的氨基酸[6], 故其制作材料应取自贝壳的珍珠层。
一般来说, 贝壳有三层结构: 外层角质层, 中层壳层和内层珍珠层。 角质层由壳质素构成, 壳层由柱状方解石构成, 珍珠层由叶状文石构成, 且会随身体的增长而加厚[6]。
贝壳珍珠层质地坚硬, 因具有珠光效果而显得晶莹美观, 在我国古代常用其制作颈饰、 头饰、 螺钿等工艺品和装饰品[7]。
XRD测试结果见图5。 由谱图可以看出, 8个样品的主要物相是文石型碳酸钙, 这与FTIR的结果一致。 但样品A和B与其他样品的衍射结果有明显区别。 A在(111)晶面所对应的衍射峰最强, (012)和(112)晶面对应的衍射峰较强; B在(012)晶面所对应的衍射峰最强, (113)和(112)晶面对应的衍射峰较强; C, D, E, F, G和H在(012)晶面所对应的衍射峰最强, (002)和(113)晶面对应的衍射峰较强。 一些学者对现代双壳类贝壳的珍珠层的文石晶体进行了研究, 发现它们都表现出很强的择优取向, 只出现一个强衍射峰(002), 而一些淡水双壳类贝壳除了出现(002)衍射峰外, 还出现较强的(012)衍射峰[8, 9, 10]。 这组样品的测试结果中, (002)衍射峰的强度明显减弱, 应该与其在埋藏环境中的老化有关。 因为它们都出现了最强或较强的衍射峰(012), 所以推测饰件的原料均来自于淡水贝类, 且从谱图的特征来看, A, B与C, H可能取自不同种类的贝。
取微量各样品进行TGA-DSC测试, 结果分别见图6(a— h)。 样品失重主要分为两个阶段: (1)400 ℃之前的缓慢失重, 主要是由于样品的脱水和有机物的分解, 样品的失重在2%~5%之间, 除样品C有一个宽缓的吸热峰外, 而其余检测样品的吸热峰并不明显, 分析认为有机物成分燃烧所出现的放热峰抵消了文石晶相转变的吸热谷, 换言之, 其余样品保留的有机质含量多于C; (2)600~800 ℃的碳酸钙分解阶段, 在此处均有吸热峰, 样品A失重约为65%, 样品B失重约为75%, 其他检测样品失重在31%~45%之间, 可见各个样品的碳酸钙含量有所差别。 不同来源的文石型碳酸钙发生晶相转变的温度并不相同, 地质成因文石的相变温度为420~527 ℃[11, 12], 人工合成文石的相变温度为450 ℃[13], 珍珠和贝壳珍珠层文石的相变温度最低, 为360~410 ℃[14, 15], 进一步证明了这组饰品的原料为贝壳珍珠层。
贝壳珍珠层的无机成分主要为文石型碳酸钙, 占比90%以上, 其次为氧化钠、 二氧化硅、 氧化镁及三氧化二铝等, 此外还有10多种微量和痕量元素, 如锶、 钾、 铁、 铷、 铅、 锌、 铜、 锰、 铬、 钒、 磷等[6]。
XRF测试结果见表2, 饰件样品的Ca元素含量最多, 其他微量元素含量较少。 贝壳的珍珠层和珍珠是由一部分性质相同的上皮组织分泌而形成的, 因此化学成分和物化性质相似[6]。 总结前人的研究, 虽然各种贝壳和珍珠的微量元素均有所不同, 但海水贝壳/珍珠比淡水贝壳/珍珠明显富Na, K, Mg, Sr, Br和I而贫Mn[10, 16, 17, 18]。 由图7(A— H)分别可以看出, 就Mn和Sr元素含量而言, 代表8个饰件样品的点(有的点因为数值相同重叠)都更靠近淡水贝壳/珍珠, 因此制作饰品的贝壳非常可能是淡水贝类的贝壳, 这与XRD的分析结果一致。 另外, 图7中有个别海贝的Mn元素含量较大, 分析认为因它们的生长环境与其他海水贝壳/珍珠不同所造成, 因为在水环境中较富集的元素, 在贝壳/珍珠中也明显较丰富[6]。
| 表2 饰件的XRF测试结果(%) Table 2 XRF test results of ornaments(%) |
| 图7 淡水贝壳/珍珠、 海水贝壳/珍珠和 饰件样品的Mn, Sr元素含量分布图 注: 淡水贝壳/珍珠和海水贝壳/珍珠数据来源于孙家美[18]及李立平[16]的论文; 饰件样品据本文测试结果Fig.7 Distribution diagram of Mn and Sr of fresh water shell/pearl, sea shell/pearl and ornaments Note: The data of freshwater shell/pearl and seawater shell/pearl come from the paper of Sun Jiamei[18] and Li Liping[16]; the data of ornaments are the test results of this study |
样品表面放大5 000倍后的SEM照片见图8。 贝壳珍珠层的文石板片一般多呈假六边形、 浑圆形、 菱形及不规则多边形, 它们在二维方向上排列形成微层, 进而形成了珍珠层, 少量蛋白、 多糖等有机质填充在无机相之间[19, 20]。 扫描电镜观察发现, 样品A的板片基本上互相连接, 板片微层分明, 保存状况相对较好; 样品B, C, E和G的板片部分相连, 部分已散落成针状, 保存状况相对较差; 样品D, F和H的文石板片多数散落, 没有层次, 保存状况最差。 文石板片散落应该是连接板片的有机物流失所致[21]。 同时, 板片的疏松散落还会导致其光学性能的改变[22], 如本研究各饰件基本上都已失去珠光效果, 表面呈现灰白色, 不复昔日光彩。
将饰件样品及现代蛤蜊壳放入烘箱内50 ℃烘干, 烘干后称重, 并测试其密度、 孔隙率、 吸水率, 结果见表3。 饰件样品的密度与现代蛤蜊壳的密度相近, 而开孔孔隙率和吸水率则均大于现代蛤蜊壳, 尤其样品D, F和H的开孔孔隙率和吸水率是现代蛤蜊壳的近3~6倍, 说明它们的保存状况最差, 这一结果与SEM显微分析的结论一致。
| 表3 饰件样品及现代蛤蜊壳的物理特征统计表 Table 3 Statistical table of physical characteristics of ornaments and modern clam shells |
有研究表明, 贝壳密度的差异是遗传特性以及环境因子如温度、 盐度以及饵料等综合作用的结果。 研究者发现, 不同海域的牡蛎贝壳密度为1.76~2.28 g· cm-1, 可见同一种类贝壳的密度也不尽相同[23]。 出土饰品样品密度的影响因素还有因为长期埋藏而导致的有机物分解、 流失, 虽然贝壳珍珠层的薄层有机质总量只含1%~5%[20, 24, 25], 对总体密度变化影响不大, 但它的流失导致了样品的开孔孔隙率和吸水率的明显增加, 贝壳强度由此降低, 抗渗抗冻融等耐老化性能变差。
从西藏曲龙遗址塞拉钦波普地点出土的8个穿孔饰件的分析检测结果, 可以得出以下结论:
(1)穿孔饰件的原料均来自于贝壳的珍珠层, 其主要成分是文石型碳酸钙, 也残留有少量有机物及Fe, Ba, Cr和Cu等微量元素。 饰件应取自不同种类的贝, 分析认为是当时的匠人根据制作需要及不同贝类的材料特点做出的选择。
(2)穿孔饰件都取自淡水贝, 因为西藏地区的河湖有淡水贝类生存[26], 所以这些淡水贝可能产于象泉河或当地其他的河流和湖泊, 而具体产地的确定则有待进一步研究。
(3)穿孔饰件表面有打磨过的痕迹, 其目的应该是当时为了磨去外层的角质层和壳层从而露出漂亮的具有珠光效果的珍珠层。 饰件的钻孔方式为对钻, 且较厚饰件的穿孔为双面桯钻而成。
(4)穿孔饰件总体上风化严重, 其开孔孔隙率和吸水率远高于现代贝壳, 有机质流失是导致其酥粉化和失去光泽的主要原因, 亟需进行加固保护处理。
| [1] |
|
| [2] |
|
| [3] |
|
| [4] |
|
| [5] |
|
| [6] |
|
| [7] |
|
| [8] |
|
| [9] |
|
| [10] |
|
| [11] |
|
| [12] |
|
| [13] |
|
| [14] |
|
| [15] |
|
| [16] |
|
| [17] |
|
| [18] |
|
| [19] |
|
| [20] |
|
| [21] |
|
| [22] |
|
| [23] |
|
| [24] |
|
| [25] |
|
| [26] |
|

