作者简介: 张美志, 女, 1981年生, 西安邮电大学电子工程学院副教授 e-mail: zhangmeizhi@xupt.edu.cn
针对传统光谱法检测鸡蛋新鲜度存在的效率低、 准确率不够高等问题, 提出采用可见-近红外光谱结合极度提升树(XGBoost)等算法对鸡蛋新鲜度分类进行研究, 以期在保证足够高准确度的同时大幅提高检测效率。 将不同储存条件下的鸡蛋作为样本, 并分别划分为训练集和测试集, 采用训练集的综合评价指标(F-measure)和准确率(Accuracy)评估分类模型的性能。 具体地, 首先利用可见-近红外光谱系统采集鸡蛋的反射光谱, 将所得的光谱数据经过不同预处理后再结合随机森林(random forest, RF)、 偏最小二乘(partial least squares, PLS)、 支持向量机(support vector machine , SVM)、 多层感知机(muhi-layer perception , MLP)以及XGBoost等分类算法构建鸡蛋新鲜度分类评估模型, 并对比各模型性能指标。 分析结果发现, 经Savitzky-Golay一阶导(Savitzky Golay first-order derivative, SG-1st-Der)预处理后的RF、 SVM、 XGBoost模型和经标准正态变量(standardized normal variate, SNV)预处理后的PLS、 MLP模型具有较好的训练结果。 为进一步提高模型精度和运算效率, 提出利用区间偏最小二乘法(interval partial least squares, IPLS)对SG-1st-Der和SNV预处理后的光谱数据首先进行降维, 然后再分别建立基于RF、 SVM、 XGBoost、 PLS及MLP等算法的预估模型, 最后通过测试集对模型进行验证。 结果发现原始光谱数据经SG-1st-Der预处理后所建立的IPLS-XGBoost分类模型性能最优, 在不同储藏条件下测试集的F-measure分别为92.33%和90%, Accuracy分别达到94.44%和91.67%, 而程序运行时间均不超过0.6 s。 表明, 可见-近红外光谱结合IPLS-XGBoost分类算法可应用于鸡蛋新鲜度评估, 该方法在模型分类性能、 准确度评估、 运行速度等方面比传统方法更具优越性。
In view of the low efficiency and accuracy of the traditional spectral method for egg freshness testing, we propose and demonstrate the study of egg freshness by using the VIS-NIR spectroscopy testing method combined with XGBoost and other algorithms. In our experiments, eggs were under different storage conditions as samples were divided into the training set and testing set for model building and evaluation. The harmonic weighted average (F-measure) and Accuracy were used as the performance evaluation indexes of the classification model. A VIS-NIR spectroscopy system collected the reflection spectra of eggs. The obtained spectral data werethen preprocessed and used to build different models for egg freshness evaluation. Various classification algorithms,including random forest (RF), least square regression (PLS), support vector machine (SVM), Multi-layer Perceptual Model (MLP) and XGBoost algorithm, were used. The performance of each modelwas evaluated in detail. The analysis shows that better training results are obtained in the RF, SVM and XGBoost models with data preprocessed by Savitzky Golay first-derivative (SG-1st-Der) and the PLS and MLP models with data preprocessed by standard normal variables (SNV).The interval partial least squares (IPLS) method was used to select a working waveband for data dimension reduction for models with the raw spectral data preprocessed by SG-1st-Der combing with the RF, SVM and XGBoost algorithms and models with the raw spectral data preprocessed by SNV combining with PLS and MLP algorithms, respectively. Based on the verification using the test set, it can be seen that the IPLS-XGBoost classification model after SG-1st-Der pretreatment performs best.For the conditions of room temperature storage and cold storage, the F-measure reached 92.33% and 90% respectively, and the Accuracy reached 94.44% and 91.67% respectively. Moreover, the computing time of the model for the prediction of test set samples takes only 0.6 s. The results show that the visible-near infrared spectroscopy method combined with the IPLS-XGBoost classification algorithm can be applied in egg freshness evaluation. Compared with traditional methods, this method has advantages in model classification performance, evaluation accuracy and running speed.
近红外光谱检测一种新型的无损检测技术, 结合不同的学习算法, 通过建立校正模型的方式对待测样本进行分析, 由于具有快速、 高效和易操作等优点而广泛应用于现代农业、 绿色食品、 生物化工、 临床医学等领域[1, 2, 3]。 近年来, 也被用于食品分析中以评定肉、 鱼、 蛋、 水果及蔬菜等的品质[4, 5, 6]。 当前, 虽然基于光谱原理对果蔬和豆类等农产品的无损检测仪器已有商品化产品出现, 但针对禽蛋的光谱检测技术及仪器仍处于初步探索阶段。 鸡蛋易受贮藏时间、 温度等因素影响, 导致品质无法得到保证; 因此, 研究不同条件下鸡蛋新鲜度的光谱检测技术及评估方法具有重要的实用价值。
近年来, 国内外学者利用光谱对鸡蛋内部品质进行检测评估的研究报道颇多, 并对利用不同算法建立预测模型进行了有效验证。 如段宇飞等[7]基于近红外光谱检测结合局部线性嵌入(locally linear embedding, LLE)和支持向量回归算法(support vector regression, SVR)建立的预测模型证明了哈夫值与鸡蛋新鲜度之间存在非线性关系。 杨晓玉等[8]利用近红外光谱结合遗传偏最小二乘法(genetic algorithms PLS, GAPLS)和最小二乘支持向量机(least squares support vector machine, LS-SVM)算法建立了哈夫值与鸡蛋新鲜度之间的预测模型, 其相关系数为0.899。 董晓光等[9]利用近红外光谱结合PLS算法, 建立鸡蛋的反射光谱特征与pH值之间的预测模型, 其相关系数为90.8%。 Cruz-Tirado等[10]通过近红外光谱信息结合SVM算法建立禽蛋哈夫值的预测模型, 其相关系数为87.0%。 姚坤山等[11]提出利用近红外光谱结合哈里斯鹰优化SVR算法建立鸡蛋样本哈夫值的预测模型, 其相关系数为95.2%。 上述研究成果采用可见-近红外光谱技术结合传统机器学习算法建立预测模型, 对室温环境下储存的鸡蛋哈夫值进行定量检测, 均获得了较好的预测结果。 然而, 由于当前研究者大多采用支持向量机(SVM)算法来建立预测模型, 虽能够得到较高的准确率, 但程序复杂度较高, 模型运行时间较长, 不适用于快速检测的场合。
针对传统光谱法检测鸡蛋新鲜度存在的效率低准确率不够高等问题, 提出采用不同预处理方法结合RF、 PLS、 SVM、 MLP以及XGBoost等分类算法, 对室温和冷藏鸡蛋的新鲜度构建分类模型, 根据训练集的F-measure和Accuracy分析各模型的性能指标, 期望得到一种高精度、 高效率的鸡蛋新鲜度分类模型构建方法, 为研究食品最佳保存方法提供新思路。
采用可见-近红外光谱系统采集鸡蛋的反射光谱数据, 实验原理如图1所示。 实验中光谱仪选用海洋光学HR4000微型光纤光谱仪, 其工作波段为400.5~900.21 nm, 光谱分辨率为0.02 nm, 利用Spectra Suite光谱软件采集光谱数据, 光源选用40 W卤素灯, 光谱实验数据采集在密闭暗箱中进行以避免外界干扰。
采购了180枚1日龄的粉壳鸡蛋, 每个鸡蛋选择3个合适的位置进行标记, 分别储藏于室温(24~28 ℃)和冷藏(2~4 ℃)环境。 利用光纤光谱仪采集鸡蛋标记部位的反射光谱, 设置曝光时间为60 ms, 平滑度为26点, 每个部位测量3次, 求取测量光谱的平均值作为所测样品的光谱数据。 为了评估光谱测量法的准确性, 通过测量打碎鸡蛋的浓厚蛋白高度, 计算哈夫值进行比对。 哈夫值[11]是评价鸡蛋新鲜程度的一个重要指标, 其计算公式如式(1)
式(1)中, H为蛋白高度(mm), w为鲜蛋的质量(g)。 哈夫值随保存时间的延长而降低, 根据哈氏单位(HU)评级标准将鸡蛋新鲜度分为三个等级, 72以上被评为AA级, 60~72为A级, 低于60为B级。
通过上述实验方法测量计算室温和冷藏条件下鸡蛋品质随时间的变化曲线, 如图2所示。 由图可见, 常温条件下鸡蛋的哈夫值和蛋白高度随时间的增加而显著下降, 25天后新鲜度降为B级; 而冷藏条件下鸡蛋哈夫值和蛋白高度则随时间变化下降缓慢, 即使保存25天新鲜度仍为AA级。 由于较高温度会加快蛋白质水解, 导致蛋白高度快速降低, 影响鸡蛋的新鲜程度, 而实验测量中也发现室温储存的鸡蛋受温度影响而导致哈夫值快速下降, 故该结果表明利用哈夫值判断鸡蛋的新鲜程度是可行的, 在后续鸡蛋新鲜度评估中, 可基于哈夫值划分新鲜度等级进行分类模型的建立。
XGBoost是一种用于解决分类或回归问题的Boosting集成算法[12, 13], 该算法的核心思想是将上一个弱分类器训练所得的残差作为参考对下一个新的弱分类器进行优化。 采用这种拟合残差的方式能有效降低训练样本的损失, 从本质上提高模型的精确度, 如图3所示。 该模型训练的关键在于目标函数的选取和优化, 其中目标函数由模型误差和模型结构误差两部分组成, 模型误差是指该模型训练样本的预测值与真实值之间的差值, 通过对损失函数二阶泰勒展开, 确保训练集上的数据快速收敛; 模型结构误差是指需要对正则化项求取最优解, 防止出现模型过于复杂度导致的过拟合现象。 XGBoost模型训练时预先将每段光谱特征排序并存储为block结构, 分裂结点时使用精确贪心算法对所有光谱数据进行遍历, 采用暴力搜索的方式遍历每一个谱点, 然后将训练好的模型对测试集进行测试, 由于运算过程中采用多线程并行的方式查找每个特征的最佳分裂点, 从而提升了模型的精度和训练速度。
模型的分类性能可以采用训练集的F-measure和Accuracy两种评价指标[14]评估。 F-measure指标可通过计算所建模型的精确率(Precision)和召回率(Recall)加权调和平均值获得, Accuracy指标可通过计算模型预测所得的正确预测值占总训练样本的比值获得, 两种评价指标均可由混淆矩阵求得。 如表1所示, 假设a— i分别代表模型训练的分类结果, 每行代表鸡蛋新鲜度的真实等级, 每列代表该样本的预测类别。
| 表1 分类结果混淆矩阵 Table 1 Confusion matrix for classification result |
根据混淆矩阵, 可得出不同新鲜度等级的Precision和Recall计算公式为
F-measure公式为
Accuracy计算公式为
评估参数F-measure和Accuracy的值越接近1, 说明模型精度越高。
利用可见-近红外光谱系统采集1日龄新鲜鸡蛋在不同储藏条件下储存25 d内的反射光谱变化, 如图4所示。 从所测光谱曲线可见, 无论是室温还是冷藏条件下鸡蛋的反射光谱均在623 nm附近存在较宽的吸收峰, 且该吸收峰的峰-谷值随时间的增加逐渐减小, 故该特征能够间接反映出鸡蛋内部的品质变化。 同时可见所测光谱曲线存在较高的噪声信息, 并且存在基线漂移和信息重叠等现象, 故需要对原始光谱数据使用预处理的相关算法来增强样本的光谱特征。
| 图4 不同储藏条件下鸡蛋的反射光谱随时间的变化 (a): 室温; (b): 冷藏Fig.4 The reflection spectra of the eggs VS time under different storage conditions (a): Room temperature storage; (b): Cold storage |
为便于后续建模分析, 采用预处理算法SG-1st-Der、 SNV、 均值中心化(mean centralization, MC)和多元散射校正(multiplicative scatter correction, MSC)等增强样本的光谱特征, 经预处理后的光谱曲线如图5所示。 其中图5(a1)和图5(b1)是经过SG-1st-Der预处理后的光谱曲线, 可以看到所有光谱曲线的基线一致, 并且在600和650 nm附近出现明显反射峰, 但去噪效果不明显, 故还需进一步优化处理; 而图5(a2)和图5(b2)是经过MC预处理后的光谱曲线, 能很好的消除噪声干扰的影响, 并反映出了原始谱线中各峰值变化程度上的差异; 图5(a3)和图5(b3)是经SNV预处理后的光谱曲线, 高限度的去除了高频噪声元素, 并且保留了不同储存时间下吸收峰的变化情况; 图5(a4)和图5(b4)是MSC预处理后的光谱曲线, 剔除了由于样品颗粒度及湿度等物理因素所导致的散射影响, 有效提高了光谱曲线的信噪比。 基于上述4种预处理方法, 结合不同分类算法初步构建多个分类模型, 进一步分析获得最优组合的分类模型。
RF利用Bootstrap方法随机生成互异的训练集进行模型训练; PLS通过十字交叉验证法来确定最佳主成分因子数; SVM采用网格搜索法寻求到最佳的惩罚参数c为30.5, 核参数g为8.2, 核函数采用高斯核函数; MLP引入隐含层来拟合输入光谱特征和输出新鲜度间的复杂关系, 设定隐藏层数为4, 输出层神经元个数为3, 迭代周期为5; XGBoost则利用多棵决策树迭代的方式进行分块并行训练, 迭代器个数为40。 采用SG-1st-Der、 MC、 SNV和MSC四种预处理后的光谱数据, 分别结合RF、 PLS、 SVM、 MLP和XGBoost五种算法建立鸡蛋新鲜度瞪级划分的不同模型, 通过计算各模型的F-measure、 Accuracy和程序运行时间, 综合分析获得最优组合的分类模型, 运行结果见表2。
| 表2 不同算法模型和预处理组合的预测结果 Table 2 Prediction results of models based on different algorithms and pre-processing methods |
由表2可见, 在RF算法建立的分类模型中, 对比采用SG-1st-Der、 MC、 SNV和MSC四种预处理后的评估参数, SG-1st-Der-RF模型在评估室温蛋和冷藏蛋新鲜度方面效果较好, 其训练集F-measure分别为85.33%和89.1%, Accuracy分别为88.89%和92.59%, 程序运行时间分别为2.91和2.97 s, 评估参数综合高于其他三种预处理方法。 通过类似的评估参数对比发现, 在其余四种算法结合四种预处理方法的16种分类模型中, SNV-PLS、 SG-1st-Der-SVM、 SNV-MLP和SG-1st-Der-XGBoost模型也具有较好的分类效果, 其F-measure和Accuracy都有较高的结果, 但运行时间较长, 特别是SVM模型的运算时间长达30余秒, 不满足实际分类需求, 仍需进一步优化。 分析结果显示, SG-1st-Der结合RF、 SVM和XGBoost算法以及SNV算法结合PLS和MLP预处理方法组合, 虽然均能有效利用光谱特征获得鸡蛋内部结构变化和储存时间的相互关系, 但是所用的全光谱曲线中含有大量冗余信息, 极大降低了模型的运行速度, 因此可以通过选择最优特征光谱的方法减少数据维度, 以进一步提升模型运算速度。
实验用光纤光谱仪, 其测量波长范围为400.5~900.21 nm, 虽然光谱分辨率最高可达0.02 nm, 但实际使用中为节省资源设置光谱分辨率为0.26 nm, 故当实际数据处理中取400~900 nm工作波段时最多可允许使用1 923个谱段。 若将全部数据用于建模会导致模型复杂, 而包含的冗余信息则会极大降低模型速度甚至模型精度[15]。 因此提出利用IPLS算法, 将全谱段平均划分为多个子区间并分别建立局部PLS模型[16], 通过计算各子区间模型的均方根误差(mean square error, MSE)值衡量该区间模型的精度, MSE值越小, 模型精度越高。 选取精度最高的模型所在子区间作为特征谱段, 基于特征谱段建模可以有效解决模型精度低和运行速度慢等问题。
IPLS算法将整个光谱区域划分为20个等宽的子区间, 如图6所示。 由图6(a)看出, 在常温储藏条件下的局部建模结果中, 第10子区间模型的MSE值最小, 说明该区间上建立的回归模型精度最高, 对应特征波长区间为629~655nm; 而由图6(b)可以看出, 冷藏储藏条件下各局部回归模型中MSE最小值在第7子区间模型, 对应特征波长区间为604~630 nm。 因此, 通过IPLS算法可以有效剔除冗余信息, 提取出表征鸡蛋新鲜度的特征谱段, 从而提高分类模型的精度和运行速度, 有利于后期利用近红外光谱检测鸡蛋内部多种成分变化的便携式仪器的开发。
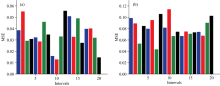
基于上述分类模型的初步优选结果, 将SG-1st-Der预处理后的光谱数据运用于经IPLS算法优选的特征谱段内建立RF、 SVM和XGBoost模型, 而将SNV预处理后的光谱数据运用于经IPLS优选的特征谱段内建立PLS和MLP模型, 计算5种模型的F-measure、 Accuracy和程序运行时间, 综合对比模型分类性能, 运行结果如图7所示。 由图7(a)的不同储藏条件下各模型的F-measure指标对比可以看出, 室温条件下XGBoost模型的F-measure值最接近于1, 说明该模型的分类性能最佳, 而RF和SVM模型次之, PLS和MLP模型则较差; 冷藏条件下, XGBoost模型的F-measure值仍然最接近1, 而PLS和MLP模型次之, RF和SVM模型较差。 图7(b)为Accuracy指标对比图, 由图可以看出, 室温条件下RF和XGBoost模型的Accuracy值接近并且均趋于1, 而SVM和PLS模型次之, MLP模型较差; 但在冷藏条件下, XGBoost模型精度最高, 其余四种模型相差不大。 由于冷藏环境对鸡蛋新鲜度有很好的保鲜作用, 使得光谱特征变化微小, 因此对模型的预测性能有更高的要求, 综合对比图7(a)和图7(b), 分析得出SVM和XGBoost两种模型均能较为精确的预测出不同环境下样本的新鲜度等级, 由于XGBoost模型运行过程采用多个决策树迭代的优势, 因此具有更高的F-measure值和Accuracy值。 图7(c)为各模型的程序运行时间对比图, 由图7(c)可看出SVM模型对冷藏蛋的新鲜度等级检测的运行时间远高于其他几种模型, 这并不利于模型的实际应用。 综上可知, XGBoost模型的分类性能总体上优于其他四种模型, 在室温条件下尤为明显; 该模型在室温和冷藏条件下, 训练集的F-measure分别为96.67%和93.5%, Accuracy分别为98.11%和96.29%, 程序运行时间分别为0.6和0.73 s, 说明该模型在保证分类效果的基础上程序还具有运算速度快的优势。
图8为基于上述SG-1st-Der预处理后建立的最优分类模型IPLS-XGBoost所计算的室温和冷藏条件下测试集的预测值和真实值的相关结果。 图8中纵坐标表示鸡蛋的新鲜度等级, 其中0代表B级, 1表示A级, 2表示AA级, 而蓝色三角形代表样本真实新鲜度等级, 红色三角形代表样本预测新鲜度等级, 二者重合代表模型预测正确, 否则预测错误。 由图8可以看出, IPLS-XGBoost模型的测试集在室温条件下的预测准确率为94.44%, 冷藏条件下的预测准确率为91.67%, 说明该模型对室温蛋和冷藏蛋新鲜度的定性评估均有高效的预测能力。
采用可见-近红外光谱结合XGBoost等算法建模对不同储藏条件下鸡蛋新鲜度的等级分类进行研究, 利用4种预处理光谱算法分别结合IPLS、 RF、 MLP、 SNV、 PLS和XGBoost等算法用于室温蛋和冷藏蛋新鲜度分类模型的建立和优化。 结果表明, 经对原始光谱数据进行SG-1st-Der预处理和基于IPLS算法提取特征谱段后建立的IPLS-XGBoost分类模型性能最优, 不仅能有效利用光谱信息中隐含的与鸡蛋新鲜度相关的非线性关系, 还能在保证分类性能的基础上具有更快的运算速度。 具体地, 室温储藏条件下训练集和测试集的F-measure分别为96.67%和92.33%, Accuracy分别为98.11%和94.44%; 冷藏储藏条件下训练集和测试集的F-measure分别为93.5%和90%, Accuracy分别为96.29%和91.67%。 此外, 该模型对测试集样品的预测时间约为0.6 s, 可以满足实际应用中的快速检测需求。 基于IPLS-XGBoost分类方法结合可见-近红外光谱检测技术, 可实现不同储藏条件下鸡蛋新鲜度的品质检测和等级划分, 具有准确、 快速的无损检测优势, 有望基于该方法进一步研制高效精准的便携快检仪器。
| [1] |
|
| [2] |
|
| [3] |
|
| [4] |
|
| [5] |
|
| [6] |
|
| [7] |
|
| [8] |
|
| [9] |
|
| [10] |
|
| [11] |
|
| [12] |
|
| [13] |
|
| [14] |
|
| [15] |
|
| [16] |
|

