作者简介: 罗 森, 1998年生, 太原理工大学测绘科学与技术系硕士研究生 e-mail: luosen980524@163.com
草地绿色生物量是监测草地生态系统的重要指标。 高效高精度估算草地绿色生物量对草地生态系统具有重要意义。 遥感技术因方便快捷、 成本较低等优势, 已被广泛应用于生物量估算, 而传统光学遥感技术易受云层、 气候条件等因素影响, 不适用于高密度植被区。 因此, 受外界环境影响较小且具有一定穿透性的合成孔径雷达技术在生物量估算中得到了推广; 但当前SAR技术多用于估算森林生物量与作物生物量, 鲜有估算草地绿色生物量的研究。 故选取内蒙古草原为研究区, 基于Sentinel-1A SLC影像提取后向散射系数、 纹理特征、 极化分解量共11种雷达指数, 并根据已有雷达植被指数( σ0和 σ'0)引入2种雷达植被指数( σ1和 σ'1), 结合草地绿色生物量实测数据分别对15种雷达指数进行建模分析。 结果表明纹理特征中的均值、 后向散射系数 σVH为估算草地绿色生物量最佳雷达指数, 其估算模型 R2分别为0.54和0.60, RMSE分别为47.3和44.3 g·m-2, 此外, 雷达植被指数 σ0和 σ1估算草地绿色生物量也可获得较高精度, 其估算模型 R2分别为0.53和0.42, RMSE分别为47.6和53.0 g·m-2。 研究证明SAR技术在高效高精度草地绿色生物量估算中具有较强应用潜力, 但在误差消除方面仍需改进。
Grassland green biomass is an important index for monitoring the grassland ecosystem, and it is of great significance to estimate green biomass efficiently and accurately. Remote sensing technology has been widely used in biomass estimation due to its convenience and low cost advantages. However, traditional optical remote sensing technology is susceptible to the cloud and climatic conditions and unsuitable for high-density vegetation areas. Therefore, Synthetic Aperture Radar (SAR) technology, which is less affected by the external environment and has certain penetration, has been promoted in biomass estimation. However, the current SAR technology is mostly used to estimate forest biomass and crop biomass, and there are few studies on estimating grassland green biomass. Therefore, the Inner Mongolia grassland was selected as the research area, and 11 radar indices, including backscattering coefficient, texture characteristics and polarization decomposition, were extracted from Sentinel-1A SLC images. Two radar vegetation indices ( σ1 and σ'1) were introduced based on the existing radar vegetation indices ( σ0 and σ'0). Based on the measured data of grassland green biomass, 15 radar indices were modeled and analyzed respectively. The results showed that the mean value and the backscattering coefficient σVH in the texture feature were the best radar indices for estimating grassland green biomass, and their estimation models R2 were 0.54 and 0.60, respectively. RMSE were 47.3 and 44.3 g·m-2, respectively. In addition, radar vegetation indices σ0 and σ1 can also be used to estimate green biomass of grassland with high accuracy, with R2 of 0.53 and 0.42, RMSE of 47.6 and 53.0 g·m-2, respectively. This study proved that SAR technology has strong application potential in high-efficiency and high-precision estimation of grassland green biomass, but it still needs improvement in error elimination.
草地绿色生物量是评价草原植被长势的重要参数, 对维系草地生态系统平衡具有重要意义[1, 2]。 通过传统地面实测方法测定草地绿色生物量具有较高精度, 但耗费成本较高, 且不适用于大尺度和地势复杂的区域, 如何高效高精度低成本估算草地绿色生物量已成为生态系统研究中急需解决的问题之一。 遥感技术具有瞬时成像、 实时传输等特点, 且能够以较低成本实现大面积同步观测, 因此利用遥感技术估算草地绿色生物量具有重大意义。
虽然传统光学遥感在生物量估算中展现了一定应用潜力[3, 4], 但其易受外界环境影响, 且可见光波长短, 穿透力较弱, 估算生物量时存在易饱和问题, 尽管张爱武等通过引入间接因子和空间因子在一定程度上提高了反演模型的饱和点, 但优化后模型饱和点仍处于较低水平。 而合成孔径雷达(synthetic aperture radar, SAR)技术不受云雨雾影响, 能够实现全天时全天候连续监测, 具有强穿透性, 在估算生物量时饱和点较高, 可有效弥补传统光学遥感技术的不足[5], 因此, 近年来SAR技术在生物量估算研究中已得到广泛应用。
在已有研究中多通过提取SAR影像后向散射系数、 纹理特征、 极化分解量、 雷达植被指数等进行生物量估算。 后向散射系数指入射方向目标单位截面积的雷达反射率, 与入射角、 目标单位的表面粗糙度、 植被覆盖度有关, 不同地物之间后向散射系数通常存在一定差异。 张海波等基于全极化ESAR数据, 提取后向散射系数与实测森林生物量进行建模分析, 发现在生物量水平较低时, 后向散射系数估算生物量效果较好[6]。 SAR影像纹理特征蕴含着丰富的地物空间信息, 能够有效弥光学遥感中存在的“ 同物异谱, 异物同谱” 不足, 潘磊等通过提取Sentinel-1影像纹理特征, 显著提高了杉木林地上生物量的估算精度[7]。 极化分解量是对SAR影像进行极化目标分解得到的参数, 可有效体现地物极化特征, 潘婧靓等通过提取GF-3 PolSAR数据极化分解量, 证明极化分解量在森林地上生物量估算中具有一定应用价值[8]。 雷达植被指数是联合雷达数据各极化通道的一种特征参数, 具有增强植被信号的作用, Mandal D等基于Sentinel-1数据提出一种全新雷达植被指数DpRVI, 实现了对油菜、 大豆、 小麦的生物量估算[9]。
当前估算森林生物量与作物生物量的研究较多, 鲜有估算草地绿色生物量的研究。 故本研究基于Sentinel-1A数据, 提取后向散射系数、 纹理特征、 极化分解量、 以及根据已有雷达植被指数(σ 0和σ '0)引入2种雷达植被指数(σ 1和σ '1)共15种雷达指数, 并结合草地绿色生物量实测数据建模分析, 筛选适合估算草地绿色生物量的雷达指数。
实验地点为中国内蒙古自治区, 选取包头至呼伦贝尔草原采集草地绿色生物量, 主要采集地段为锡林郭勒盟典型草原与呼伦贝尔草甸草原, 采集时间为2015年8月和2016年8月。 将草原植被空间分布较均匀且能代表大尺度区域的典型地段作为大样地, 2015年和2016年分别选取44与33个。 在大样地内随机选取3个1 m× 1 m小样方, 分别测取绿色生物量并取平均值作为大样地的绿色生物量值。 为匹配遥感影像, 在测取样地绿色生物量时需测定样地经纬度与海拔。
采集24景Sentinel-1A SLC影像, 极化方式均为干涉宽幅模式(interferometric wide swath, IW)模式下的VV+VH极化。 由于草地绿色生物量实测的同期影像部分缺失, 采集的影像以2015年8月和2016年8月为主, 为减少因时间推移造成的估算误差, 缺失部分选择采集临近时间段的影像, 2015年缺失部分选择采集7月影像, 2016年缺失部分选择采集5月影像。 本研究所用DEM数据是从地理空间数据云(www.gscloud.cn)下载的SRTM DEM数据, 空间分辨率为90 m, 用于SAR影像地形校正与地理编码。
1.3.1 轨道校正
为提升估算精度, 使用精密轨道文件替换元数据内轨道参数(如星历数据等), 削弱卫星轨道误差。 精密轨道文件可通过SNAP自动获取, 或从欧空局轨道文件数据查询下载网址(http://step.esa.int/auxdata/orbits/Sentinel-1/POEORB)下载使用。
1.3.2 辐射定标
后向散射系数在草地绿色生物量估算中具有重要作用, 辐射定标可将SAR影像像素值转换为以dB为单位的后向散射系数和通过余弦校正的归一化后向散射系数。
1.3.3 多视处理
采用的Sentinel-1A SLC影像为经过聚焦处理的一级数据, 蕴含丰富的相位与振幅信息。 在成像过程中由于雷达回波信号的相干叠加, 导致大量噪声包含在强度信息中, 多视处理将Sentinel-1A SLC影像的方位和或距离向做平均, 由此得到强度数据, 并在一定程度上抑制图像斑点噪声。
1.3.4 滤波
相干斑噪声在SAR成像过程中难以避免, 通常采用滤波方式进行抑制。 常用方法有LEE滤波法、 增强LEE滤波法、 FROST滤波法、 增强FROST滤波法、 GAMMA滤波法等。 LEE滤波法边缘保持能力较强, 但抑制噪声效果较差; FROST滤波法能较好地抑制噪声, 但在边缘保持方面仍需改进; 增强FROST滤波法、 GAMMA滤波法的噪声抑制效果与增强LEE滤波法相差无几, 但增强LEE滤波法边缘保持能力更佳。 因此采用增强LEE滤波法进行滤波处理。
1.3.5 地形校正与地理编码
由于SAR影像成像方式为侧视成像, 地形起伏会使SAR影像上出现透视收缩、 叠掩、 阴影等现象, 通过地形校正可消除地形起伏造成的影响。 地理编码将SAR影像由斜距坐标系转换为与DEM相同的Wgs-84坐标系, 便于提取影像信息。
(1)后向散射系数。 草原地物大多为低后向散射目标, 在这种情况下归一化后向散射系数图能较好地反映地物信息。 故提取实测点对应的VH后向散射系数、 VV后向散射系数、 归一化VH后向散射系数、 归一化VV后向散射系数与实测分别与草地绿色生物量建模分析。
(2)纹理特征。 目前常通过灰度共生矩阵提取影像纹理特征, 且已有研究表明VH极化后向散射系数估算生物量精度较高, 故提取VH极化后向散射系数图的纹理特征。 在3× 3窗口下提取4种典型纹理特征, 分别为均值(Mean)、 方差(Variance)、 熵(Entropy)、 对比度(Contrast)。
(3)H/A/α 极化分解量。 由于草原地物多为非相干目标, 故选择非相干目标分解法进行极化分解。 Freeman-Durden三分量分解法和H/A/α 分解法是非相干目标分解中两种主要分解方式, Freeman-Durden分解法是在全极化数据基础上分解, 而实验中采用的Sentinel-1A数据只包含VV与VH极化方式, 因此使用H/A/α 分解法对双极化Sentinel-1A数据进行极化分解, 获取地物目标的散射熵(H)、 各向异性度(A)、 平均散射角(α )。
(4)雷达植被指数。 基于刘之榆等使用的2种雷达植被指数(σ 0和σ '0)[10], 对VV和VH后向散射系数与归一化后向散射系数进行极化组合, 引入2种极化组合的雷达植被指数(σ 1和σ '1)进行草地绿色生物量估算。 使用的雷达植被指数如式(1)— 式(4)所示
式中, σ VV为VV极化后向散射系数; σ VH为VH极化后向散射系数; σ 'VV为VV极化归一化后向散射系数; σ 'VH为VH极化归一化后向散射系数。
线性回归分析常用于分析变量之间相关性, 并在变量之间建立模型, 故使用线性回归方法建立各雷达指数与草地绿色生物量之间的关系。 以不同雷达指数作为自变量, 建立各指数与草地绿色生物量之间估算模型, 以决定系数(R2)和均方根误差(RMSE)作为模型评价标准, 挑选出决定系数最大和均方根误差最小的模型作为最优模型。
为验证估算模型准确性, 随机选取实测样点的2/3与雷达指数进行建模分析, 剩余1/3用于模型验证。 利用估算模型计算剩余1/3样点的模拟值并与对应观测值进行建模分析, 通过决定系数R2、 均方根误差RMSE及模拟值与观测值的分布, 验证估算模型准确性。
将4种后向散射系数分别与实测草地绿色生物量进行建模分析, 建模结果如图1。
在4种后向散射系数建模结果中, VH极化后向散射系数与草地绿色生物量之间相关性最高, R2为0.60, RMSE为44.3 g· m-2, 证明VH极化后向散射系数能够较好地应用于草地绿色生物量估算。 VV极化后向散射系数和VH极化归一化后向散射系数R2分别为0.42和0.33, RMSE分别为52.8和57.1 g· m-2, 说明2种指数在草地绿色生物量估算中具有一定作用。
基于VH极化后向散射系数图提取4种典型纹理特征, 并与实测草地绿色生物量进行建模分析, 建模结果如图2。
4种纹理特征与草地绿色生物量建模结果表明, 均值与草地绿色生物量具有较高相关性, 其R2高达0.54, 且RMSE为47.3 g· m-2, 证明纹理特征中均值在估算草地绿色生物量中具有较高应用潜力, 而方差、 对比度、 熵与草地绿色生物量之间相关性较低, R2分别为0.07, 0.11和0.15, 估算效果较差。
将H/A/α 极化分解得到的散射熵(H)、 各向异性度(A)、 平均散射角(α )分别与实测草地绿色生物量进行建模分析, 建模结果如图3。
H/A/α 极化分解量与草地绿色生物量建模结果表明, 3种极化分解量与草地绿色生物量相关性较差, 估算模型R2均低于0.1, 说明本研究区内H/A/α 极化分解量估算草地绿色生物量效果较差。
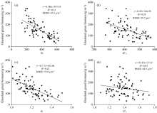
将极化组合的4种雷达植被指数分别与草地绿色生物量进行建模分析, 建模结果如图4。
4种极化组合的雷达植被指数与草地绿色生物量建模结果显示, σ 0与σ 1估算草地绿色生物量精度较高, 其估算模型R2分别为0.53和0.42, RMSE分别为47.6和53.0 g· m-2。 σ '0与σ '1与草地绿色生物量之间模型R2分别为0.29与0.03, 其RMSE分别为58.7和68.5 g· m-2。
对估算草地绿色生物量效果最好的两种指数(σ VH与Mean)进行模型精度验证。 在已有的77个实测点中随机选取51个点(样本总数的2/3)再次与实测草地绿色生物量进行建模分析, 剩余26个点用于精度验证, 验证结果如图5所示。 结果表明2种验证模型R2分别为0.68和0.67, 处于较高水平; RMSE分别为42.9和48.4 g· m-2, 处于较低水平; 且模拟值与观测值基本均匀分布在y=x两侧, 表明σ VH与Mean能较好地估算草地绿色生物量。
(1)森林区域内地势较为复杂, 且树高度、 密度等都会使SAR卫星回波受到较大影响, 而草原地势平坦, 植被高度较低, 因此利用SAR技术估算草地绿色生物量具有一定可行性。 本文使用15种雷达指数与实测草地绿色生物量建模结果如表1所示, 其中σ VH、 纹理特征中的均值、 σ 0和σ 1均与草地绿色生物量具备较高相关性, 估算模型R2分别为0.6, 0.54, 0.53和0.42, RMSE分别为44.3, 47.3, 47.6和53.0 g· m-2, 证明雷达指数在草地绿色生物量估算中具备较高应用潜力。
| 表1 各雷达指数与实测草地绿色生物量建模结果 Table 1 Modeling results of each radar index and measured grassland green biomass |
(2)建模结果表明, 后向散射系数估算草地绿色生物量适用性较强, 且VH极化估算模型均优于VV极化, 证明VH极化方式比VV极化方式更适用于估算草地绿色生物量。 但本实验未结合其他遥感数据, 其应用潜力还需进一步发掘。
(3)4种典型纹理特征值中, 均值与草地绿色生物量相关性最高, 其估算模型R2为0.54, RMSE为47.3 g· m-2。 未来研究中可通过不同大小窗口与不同极化方式进一步验证其在估算草地绿色生物量中的应用潜力。
(4)利用H/A/α 分解方法得到的3种极化分解量与实测草地绿色生物量之间均不具备相关性(决定系数均低于0.1)。 为验证估算结果的精确性, 未来研究中可使用Radarsat等全极化数据进行草地绿色生物量估算, 但全极化数据成本较高, 因此如何降低全极化数据成本将成为未来研究中的关键。
(5)引入的4种雷达植被指数中, σ 0, σ '0, σ 1与草地绿色生物量之间具备一定相关性, 其估算模型R2分别为0.53, 0.29和0.42, RMSE分别为47.6, 58.7和53.0 g· m-2, 证明雷达植被指数在估算草地绿色生物量中具备一定应用潜力, 在未来可通过结合多源遥感影像加以验证。 由于使用的Sentinel-1A数据为C波段, 相较于L波段雷达数据穿透性较弱, 在未来研究中可使用L波段雷达数据进行草地绿色生物量估算。
(6)由于实测草地绿色生物量的同期影像少部分缺失, 只采集了少部分实测临近时间段影像, 在一定程度上会对建模结果产生影响。 此外, SAR成像过程中产生的噪声误差、 入射角、 草地裸露程度、 降水等也可能影响建模结果, 因此如何进一步减少误差是未来重要研究方向之一。
基于内蒙古草原Sentinel-1A数据, 结合草地绿色生物量实测数据, 将后向散射系数、 纹理特征、 极化分解量、 极化组合的雷达植被指数共15种雷达指数与草地绿色生物量建模分析, 探索SAR技术在草地绿色生物量估算中的优势。 主要结论是: (1)Sentinel-1A影像后向散射系数在估算草地绿色生物量中具有良好的应用前景, 且VH极化方式比VV极化方式更具应用价值; (2)4种纹理特征中, 均值与草地绿色生物量相关性最高, 其决定系数为0.54, 均方根误差为47.3 g· m-2, 在草地绿色生物量估算中适用性较高; (3)散射熵(H)、 各向异性度(A)、 平均散射角(α )与研究区内草地绿色生物量之间相关性较低, 决定系数均低于0.1, 估算效果较差; (4)在引入的雷达指数中, σ '1估算草地绿色生物量效果较差, σ 0, σ '0, σ 1在估算草地绿色生物量中备较高应用潜力。
| [1] |
|
| [2] |
|
| [3] |
|
| [4] |
|
| [5] |
|
| [6] |
|
| [7] |
|
| [8] |
|
| [9] |
|
| [10] |
|

