作者简介: 牛岸秋,女, 1997年生,吉林农业大学资源与环境学院硕士研究生 e-mail: 903177830@qq.com
为解决可降解地膜因降解而发生过早的破裂, 研究不同覆盖方式下PPC地膜的稳定性及降解情况。 设置了6种田间覆盖方式: 单层黑色PPC地膜(SB); 单层白色PPC地膜(SW); 双层黑色PPC地膜(DB); 双层白色PPC地膜(DW); 上黑色下白色双层PPC地膜(DBW); 上白色下黑色双层PPC地膜(DWB), 测定了不同时间段地膜的红外光谱特征、 力学性能和分子量, 对不同处理下地膜的降解情况做出判断。 结果表明, 地膜长时间暴露在自然条件下, 地膜的韧性变差, 分子结构中的主链发生断裂, 进而C—H键和C—O键的吸收峰相对强度随时间延长发生下降; 由于地膜在水分子和微生物的作用下发生降解进而导致—C=O伸缩振动峰和C—O—C反对称吸收峰相对强度出现不同程度的上升。 双层地膜因经阳光照射下分子链活跃出现粘连的现象, 稳定性明显高于单层地膜, 因此双层地膜DWB和DBW处理的官能团吸收峰强度较单层地膜稳定, 降解程度相对更缓慢。 各处理的分子量和力学性能都呈现下降的趋势, 双层地膜处理的分子量、 伸拉力强度和断裂伸长率显著高于单层地膜, 其中黑白双层地膜DWB处理和DBW处理在30~150 d内的稳定性强于单层地膜, 到150 d时, DWB处理和DBW处理的分子键断裂伸长率下降至117.66%~120.39%和151.69%~175.20%, 伸拉力强度下降至18.28~13.95和15.35~9.81 MPa; 重均分子量为72 663和66 555 g·mol-1, 数均分子量为62 416和66 555 g·mol-1。 综合分析说明相比较单层地膜, 覆盖黑白双层地膜可以减缓PPC地膜因降解而导致的地膜破裂, 延长保水保墒性能的时间, 更好地发挥双层地膜的优势。 PPC地膜双层覆盖方式经过优化后在作物生育期内可以保持其稳定性, 且在作物生育期后又可以像单层地膜一样降解, 可在实践中应用, 也为PPC地膜在农业生产中的应用提供了理论依据。
In order to solve the premature rupture of degradable mulch film due to degradation, the stability and degradation of PPC plastic film were studied under different mulching methods. The six mulching methods in the field were as follow: single-layer black PPC plastic film (SB), single-layer white PPC plastic film (SW), double black PPC plastic film (DB), double-white PPC plastic film (DW), double-layer mulch which upper layer was black and the lower layer was white (DBW), the double layer mulch which upper layer was white and the lower layer was a black (DWB). The infrared spectrum characteristics, mechanical properties and molecular weight of film periods were determined at a different time to judge the degradation of the plastic film under different treatments. The results showed that plastic film was exposed to conditions for a long time, and the toughness of plastic film has become worse. The main chain in the molecular structure was broken, furthermore, the relative intensity of the absorption peak of the C—H bond and C—O bond decreases with the increase of time. Due to the degradation of mulch film under the action of water molecules and microorganisms, the relative intensity of theC=O stretching vibration peak and C—O—C antisymmetric absorption peak increased in different degrees. Due to the adhesion of molecular chain activity under sunlight, the stability of double-layer plastic film was higher than that of single-layer plastic film. Therefore, the decreasing trend of peak intensity for black and white double-layer plastic film DWB and DBW was more stable than that for single mulching film. The degradation degree was more slowly. The molecular weight and mechanical properties of each treatment showed a downward trend. The molecular weight. Tensile strength and elongation at the break of the double-layer plastic film were significantly higher than that of single-layer plastic film treatment. The stability of DWB and DBW treatments was stronger than that for the single mulching film within 30~150 days. The elongation at break and tensile strength of DWB and DBW treatments were 117.66%~120.39%, 151.69%~175.20% and 18.28~13.95, 15.35~9. 81 MPa at 150 days. The average molecular weights and number average molecular weights of DWB and DBW treatments were 72 663, 66 555 and 62 416, 66 555 g·mol-1. Comprehensive analysis showed that black and white double-layer plastic film could slowly cause the rupture of the plastic film caused by the degradation of PPC plastic film, Which could improve the time for the performance of water conservation and soil moisture conservation and better take advantage of the double-layer mulch film. After the optimization of the coverage methods of PPC plastic film, PPC plastic film could maintain its stability during the crop growth period, and it also could be degraded like a single layer mulch film after the crop growth period, which provided a theoretical basis for the further use of PPC film in agricultural production.
地膜覆盖技术自1978年引进我国后, 在农业生产中得到了迅速且广泛的应用。 地膜的使用能够增温保墒、 抑制杂草的生长、 使农作物增产增收, 增加农业经济效益等[1, 2]。 目前常用的农用地膜主要成分为聚乙烯, 属于高分子量烷烃, 其分子结构十分稳定, 在自然条件下降解周期极慢, 可达数百年[3, 4, 5]。 长时间使用普通地膜, 地膜的残留量越来越多, 对土壤结构、 农业生产和自然环境的影响也会越来越严重[6]。 残留在土壤中的地膜会破坏土壤的物理结构、 影响土壤孔隙度、 通透性、 肥力水平和土壤水分养分的运移, 进而影响农作物的生长发育和产量, 同时残膜碎片可能会被家畜误食, 影响畜牧业的发展[7, 8]。 为避免因地膜残留带来的白色污染等问题, 开发利用和普及可降解地膜成为了一项关键技术措施[9]。 可降解地膜是由高分子化合物为原料复合而成, 既保留了传统地膜增温保墒的功能, 又在某些方面优于传统地膜[10, 11]。 PPC是环氧丙烷与二氧化碳交替共聚合成的环境友好型高分子, 具有较高的撕裂强度, 易光解和碱解, 具有很好的阻水阻氧性, 同时PPC还可自然水解和氧化降解, 具有全生物降解性能, 因此该材料被广泛用作可降解材料, 其中包括农用地膜[12, 13, 14]。 使用二氧化碳作为合成聚合物的地膜能大量消耗CO2, 还可以降低石油等化石能源的消耗, 并且因其具有完全可降解性, 在很大程度上避免了白色污染和温室效应两大环境问题[15]。 有研究表明, 可降解地膜在作物生育前期与普通地膜没有差异, 具有相似的保水保墒和增产的作用, 在作物生育后期, 地膜开始破裂降解失去了保水保温的作用, 进而影响作物的生长发育[16, 17]。 为解决可降解地膜在作物生育期内破裂的问题, 可选择较厚的可降解地膜代替普通地膜, 地膜越厚, 增温保水的效果越好[18]。 也可使用双层地膜覆盖提高地膜厚度的覆盖方式, 覆盖双层地膜相比较单层地膜有更好的保墒效果, 上层地膜降解后, 下层地膜仍具有增温保墒的作用, 更好地促进作物生长发育, 同时作物生育期后还可以逐渐降解, 减少白色污染。 傅里叶变换红外光谱分析是表征聚合物共混物之间反应的常用方法之一, 可以判断地膜降解过程分子结构中官能团的变化, 并且通过吸收峰相对强度的变化, 推测其降解过程, 是评价地膜降解状况常用的指标[19, 20]。 同时, 地膜发生降解后的力学性能和分子量也会发生改变, 因此可以通过测试力学性能、 分子量、 官能团的变化研究不同覆盖方式下PPC地膜的降解特性。
目前PPC生物降解膜作为新合成的聚合物, 对其降解性能的研究相对较少。 由于全生物降解地膜较普通地膜降解破裂早, 为了使PPC可降解地膜能够更好地代替普通地膜, 使其在作物生育期内更好地保水保墒, 而又在后期可以降解, 减少普通地膜造成的污染以及对土壤和作物的影响。 因此采用PPC可降解黑色地膜和白色地膜设置单双层处理, 通过研究PPC地膜在田间的降解特征, 找到适合田间的覆盖方式, 解决PPC地膜在作物生育期内过早降解破裂等问题, 同时提高PPC生物降解膜在农田中的适用性。
试验区位于吉林省长春市吉林农业大学试验基地(43°82'N, 125°41'E), 试验点位于松辽平原中部, 地势平坦, 海拔250~350 m, 属北温带大陆性季风气候, 地处湿润区向亚干旱区的过渡地带。
供试材料为中国科学院长春应用化学研究所提供聚碳酸丙烯酯降解膜(PPC黑色地膜和白色地膜)。 PPC黑色地膜和白色地膜均为厚度0.008 mm, 宽度80 cm。
试验设置传统的地膜铺设方式, 分别为单层黑色PPC地膜SB; 单层白色PPC地膜SW, 再设置双层地膜覆盖方式分别为双层黑色PPC地膜DB; 双层白色PPC地膜DW; 上层黑色下层白色PPC地膜DBW; 上层白色下层黑色PPC地膜DWB共6个处理, 每个处理重复3次, 共18个小区, 每个小区覆膜面积为3.9 m2(3 m×1.3 m)。 双层地膜覆盖就是在传统铺设地膜方式上再在地膜上覆盖一层。 覆膜后每30 d取覆膜样, 每个覆膜处理采集3个平行样品, 样品采集大小为10 cm×10 cm, 取回后立即清洗干燥后准备PPC地膜各项指标测定。
(1) 红外光谱: 样品采用KBr压片后使用BIO-RAD FTS-7傅里叶变换红外光谱仪测定红外吸收光谱, 波数范围4 000~500 cm-1, 扫描次数32, 自动基线校正。
(2) 分子量测定: 使用美国WATERS公司Water 1515型凝胶色谱仪, 以乙酸为流动相。
(3) 力学性能检测: 使用新加坡Pantech Industrial Complex 材料测试系统, 型号: Zwick/Z010测试样品的力学性能。 先将样品划成哑铃形, 拉伸速率为50 mm·min-1, 测试温度为20 ℃。
使用Excel 2016和Origin 2017b进行数据整理、 计算和绘图, 采用SPSS 19.0对数据进行统计分析。
PPC地膜的主要特征峰为2 956和732 cm-1表征亚甲基的C—H键伸缩振动吸收峰、 1 399 cm-1代表的C—OH吸收、 1 750 cm-1表征—C=O伸缩振动吸收、 1 267 cm-1表征C—O—C反对称伸缩振动吸收和环氧丙烷产生的1 114 cm-1处C—O吸收。 图1为SB和SW处理在不同时期内的FTIR谱图, 从图中可以看出SB和SW处理2 956和732 cm-1处亚甲基(—CH2—)吸收峰的强度随时间延长出现下降的趋势, 并通过表1吸收峰相对强度的变化可以看出, 由于C—H键的断裂, 峰强度出现不同程度的降低, SB处理的亚甲基峰强度在150 d下降到10.079%和2.118%, SW处理下降到11.293%和2.006%; 地膜经光照后韧性变差, 因此1 114 cm-1处的C—O吸收峰相对强度随着时间延长降低, SB和SW处理分别下降到4.418%和3.517%; SB和SW处理因在水和微生物的作用下发生降解, 1 750和1 267 cm-1处的反对称伸缩振动峰和伸缩振动峰增强; SW处理在1 399 cm-1处的峰先增强后减弱的趋势可能发生了先断裂后氧化的过程。
| 表1 不同覆盖方式下PPC地膜FTIR光谱主要吸收峰相对强度 Table 1 Relative intensity of main absorption peaks of FTIR spectra of PPC film in different mulching methods |
图2为DB和DW处理的FTIR谱图, 由于主链的断裂导致官能团占比下降, 其中DB和DW处理在2 956和732 cm-1处的吸收峰相对强度出现不同程度的降低, DB处理到150 d时下降到14.039%和4.349%, DW处理下降到11.856%和2.729%; 由于主链的断裂生成的短链和小分子导致分子结构中的—OH出现了先增加后减小的趋势; 1 750和1 267 cm-1处的—C=O和C—O—C因水分子和微生物的作用下发生降解, 降解为CO2和水, 导致各处理的伸缩振动峰和反伸缩振动峰出现不同程度的增强; DW处理1 114 cm-1处的吸收峰强度相比较DB处理的下降幅度大, DW较DB处理的韧性变得更差。
图3为双层地膜DBW处理和DWB处理的FTIR谱图, DBW和DWB处理的各吸收峰强度的下降趋势较稳定且DWB处理的各吸收峰强度较高于DBW处理; 150 d时, DBW和DWB处理的亚甲基处的吸收峰强度分别下降到11.954%, 3.491%和13.35%, 3.273%; DBW可能因发生的降解程度更大, 在1 750和1 267 cm-1处峰强度上升幅度较DWB更大; 并且DWB在1 114 cm-1的C—O吸收峰的下降幅度较DBW处理更稳定, 分别下降到5.542%和7.322%。
通过各处理的地膜红外光谱图和吸收峰强度可知, 各处理随时间的延长波峰位置未发生改变, 峰强度出现不同程度的降低, 说明并没有新的物质产生, 只是发生大分子分解成小分子的降解过程。 并且发现双层地膜由于分子链活跃导致地膜出现粘连的现象, 更加稳定, 其中DB处理后峰强度下降幅度最小, 降解程度较低, DBW和DWB处理也较单层地膜处理的吸收峰强度下降趋势较为平缓。
由图4(a, b)可知, 各处理的断裂伸长率都呈下降趋势, SB和SW处理在30 d时下降较快; 30~90 d时, DB, DW, DBW和DWB处理的横纵向断裂伸长率下降幅度较大, 并且均高于SB和SW处理, 90 d时横向断裂伸长率分别比SB处理高465.36%, 189.76%, 377.71%和251.91%; 比SW处理高384%, 148.06%, 308.97%和201.27%; 纵向断裂伸长率分别比SB处理高296.72%, 99.37%, 154.36%和151.05%; 比SW处理高237.40%, 69.56%, 116.37%和212.95%; 90~150 d时, 各处理的横纵向断裂伸长率下降趋势较平缓, 到150 d时各处理的数值相差不大, 从大到小依次是DB(159.86%~237.62%), DBW(151.69%~175.20%), DWB(117.66%~120.39%), DW(112.14%~100.65%), SB(70.28%~47.55%), SW(66.41%~59.61%)。
| 图4 不同覆盖方式PPC地膜的断裂伸长率动态变化 (a): 横向断裂; (b): 纵向断裂Fig.4 Dynamic change of elongation at break of PPC mulch film in different mulching methods (a): Horizontal elongation; (b): Longitudinal elongation |
由图5(a, b)可知, 30~150 d时, 各处理的伸拉力强度也呈下降趋势, 因双层地膜较单层地膜性能更好, 其中DB处理和DBW处理始终高于其他处理; 在30~90 d时, SB, DB, DBW和DWB处理下降幅度较大, 90~150 d时下降趋势趋于平缓并且到150 d时各处理地膜拉伸强度的下降值趋于相似, 150 d时伸拉力强度从大到小依次为DBW(18.28~13.95 MPa), DB(16.92~13.16 MPa), DWB(15.35~9.81 MPa), DW(14.22~9.23 MPa), SW(12.01~5.52 MPa), SB(11.77~8.91 MPa)。
| 图5 不同覆盖方式PPC地膜的伸拉力强度动态变化 (a): 横向拉伸力; (b): 纵向拉伸力Fig.5 Dynamic change of tensile strength of PPC mulch film in different mulching methods (a): Horizontal tensile; (b): Longitudinal tensile |
双层地膜处理因较单层地膜更厚, 韧性好, 在30~120 d的力学性能始终高于单层地膜, 因长期处于光照下150 d时的韧性也变差, 力学性能值又趋于单层地膜。 双层地膜既可以在作物生育期间保水保温保持地膜稳定性, 又可以在作物生育期后期降解, 其中DBW处理和DWB处理相对于其他处理可以很好地保持其稳定性, 又可以像单层地膜一样降解。
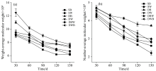
由图6(a)和(b)可以看出, 30~150 d时, 各处理的数均分子量(Mn)和重均分子量(Mw)都呈下降趋势。 30~150 d内SW和SB处理的Mn和Mw下降幅度较大, SW处理分别下降了47.58%和31.91%; SB处理的Mn和Mw分别下降了39.47%和32.04%。 DW和DB处理的重均分子量高于其他处理, 在30~90 d时下降幅度较大, 后期趋于稳定; DBW和DWB处理的Mw下降趋势相比于其他处理较为稳定。 DB处理的地膜数均分子量高于其他处理并且下降趋势较为平缓, DBW, DWB和DW处理在30~90 d时下降幅度较大, 90~150 d时下降幅度相比与SW和SB单层地膜处理下降趋势较平缓, 并且与单层地膜SW和SB处理之间有显著性差异。 总之, 双层地膜DW, DB, DBW和DWB处理可能因分子链中酯键的断裂较单层地膜平缓, 分子量下降趋势更为平缓。
生物可降解地膜和普通聚乙烯地膜相比, 基本具有相同的功能并且还具有降解性, 覆盖可降解地膜既可以提高作物产量又可有效的减缓田间地膜残留问题, 是普通聚乙烯地膜的良好替代品[21, 22]。 而可降解地膜过早的降解和破裂会影响其保水保墒等功能, 影响作物生长发育[16]。 为了解决可降解地膜过早的破裂, 可采用双层地膜覆盖推迟地膜的破裂时间。 双膜覆盖是在单层地膜覆盖基础上再铺一层地膜, 和单层地膜相比具有更好的增温保墒的作用、 能够延缓可降解地膜破裂进程。 因此本试验以PPC生物降解地膜为试验材料, 设置单双层地膜处理, 观察不同处理的地膜降解情况。 红外光谱特征峰的变化是由于混合物质之间发生的化学相互作用, 并且得到的官能团的改变情况可表征地膜的老化和降解[23, 24]。 通过红外光谱官能团的变化分析不同处理下地膜的降解过程发现经各处理吸收峰相对强度随着时间的延长而下降的现象, 双层地膜的各吸收峰强度要高于单层地膜。 随着覆膜时间的延长, C—H键被水分子裂解发生断裂导致官能团的峰强度下降; SW和DW处理在1 399 cm-1处的羟基因分子链的断裂生成了短链和小分子, 出现了峰先增强后减弱的趋势; 各处理在1 750 cm-1峰增强的现象, 可能是经紫外线照射发生了光氧化降解, 导致羰基指数增加, C=O官能团增加, 由于C—O键的断裂下降导致地膜的韧性变差, 并且150 d时双层地膜处理的C—O基团高于单层地膜。 双层地膜处理处理可能因为光照下分子链活跃在覆膜前期产生粘连现象, 因此双层地膜较单层地膜的稳定性更好。 与司鹏等[25]在研究中发现地膜的降解是由于分子结构中酯键发生水解、 亚甲基的含量减少、 使地膜韧性变差、 官能团吸收峰面积减少, 进而地膜发生降解结果相一致。
由于PPC分子链的基团是由弱极性或非极性基团组成, 进而导致PPC分子链间的作用力较弱, PPC降解主要是因为分子链主链断裂、 生成断链和小分子等, 并且地膜的水解和光解都会使分子链发生断裂, 分子量随之下降[26, 27]。 试验中各处理的重均分子量和数均分子量均呈下降的趋势, 相比较其他处理DBW和DWB处理的下降趋势最为平缓。 冯晨等研究发现, 地膜覆盖在田间, 随着光照时间延长, 越来越多的自由基生成, 分子链作用越来越强烈而发生断裂, 导致地膜的分子量下降, 力学性能迅速丧失, 地膜的分子量在一定程度上会影响着力学性能的变化[28, 29]。 力学性能是评价地膜性能的重要指标, 包括伸拉力强度和断裂伸长率; 断裂伸长率的变化, 能够体现地膜在降解过程中的诱导期和衰变期, 随着时间的延长, 发生降解地膜的伸拉力强度和断裂伸长率下降[30]。 试验中各处理因紫外线长期的照射, 地膜发生热解从而导致地膜的力学性能降低。 各处理的断裂伸长率和伸拉力强度随着时间的延长呈下降的趋势, 双层地膜处理的力学性能始终高于单层地膜, 且DBW处理和DWB处理的力学性能与单层地膜SB和SW处理相比较下降趋势较平缓, 与谢建华等[31, 32]研究相一致。 随着覆膜时间的增加, 各厚度地膜的伸拉力强度和断裂伸长率均逐渐下降。 并且双层地膜处理的分子量和力学性能相比较单层地膜下降趋势缓慢, 可在作物生育期延长地膜的使用时间。
双层地膜力学性能的下降趋势较单层地膜平缓。 而DB处理降解过于缓慢, DW处理相比较DBW和DWB处理破裂时间早, 因此DBW和DWB处理较其他处理在作物生长前期更加稳定, 后期降解效果又较好, 能更好地发挥双层地膜的优势。
PPC可降解地膜采用双层地膜覆盖处理可以在作物生育期内保持其稳定性, 减缓了单层地膜的破裂, 但又可像单层地膜一样发生降解, 黑白双层地膜DWB处理和DBW处理较单层地膜SB和SW处理相比可使其在作物生长前期更加稳定, 解决可降解地膜过早破裂的问题, 后期又较双层黑色DB处理相比降解效果更好, 因此DBW处理和DWB处理是双层地膜覆盖的较好地选择。
| [1] |
|
| [2] |
|
| [3] |
|
| [4] |
|
| [5] |
|
| [6] |
|
| [7] |
|
| [8] |
|
| [9] |
|
| [10] |
|
| [11] |
|
| [12] |
|
| [13] |
|
| [14] |
|
| [15] |
|
| [16] |
|
| [17] |
|
| [18] |
|
| [19] |
|
| [20] |
|
| [21] |
|
| [22] |
|
| [23] |
|
| [24] |
|
| [25] |
|
| [26] |
|
| [27] |
|
| [28] |
|
| [29] |
|
| [30] |
|
| [31] |
|
| [32] |
|

