作者简介: 李 文, 1975年生,北方工业大学机电工程研究所副教授 e-mail: lw@ncut.edu.cn
针对地表水中Ⅰ—Ⅴ类水域、 地下水、 工业废水对氨氮及化学需氧量准确快速联合测定的需求, 融合光谱分析法中的连续光谱法与顺序注射技术(SIA), 基于地表水国家检测标准, 以氨态氮(NH3-N)、 化学需氧量(COD)原位水质参数为检测对象, 设计了一种小型微量原位水质NH3-N、 COD高效快速检测仪。 该系统主要依据自主设计的基于紫外灯照射消解与加热密闭消解方法同时进行的消解池结构以及基于光谱扫描设计的的检测池结构, 达到快速消解稳定检测的目的。 同时系统基于分光光度法优化了检测流程, 测定开始COD消解的同时, 待检测池中的NH3-N指数显色后的配位化合物进行光谱扫描测定, 消解后, 进行COD的测定, 整个检测过程相比国标检测法缩短至少60 min, 可以实现25min内自动完成NH3-N及COD的测定, 大大节约时间成本。 绘制经光谱扫描显色反应后配位化合物的吸光度与连续波长曲线可得: NH3-N、 COD分别于690和445 nm处具有明显吸收峰, 经读取峰的吸光度值, 采用最小二乘法分别建立NH3-N、 COD回归建模, 拟合回归方程并计算相关系数, 绘制相应参数的吸光度-浓度工作曲线。 实验结果表明: 在0~2 mg·L-1浓度范围内, NH3-N标准工作曲线相关系数 r≥0.998 7, 且浓度与吸光度成正相关。 重复性相对标准偏差为1.36%~1.68%, 加标回收率为97%~102%; 在0~50 mg·L-1浓度范围内, COD标准工作曲线相关系数 r≥0.997 8, 浓度与吸光度呈负相关。 重复性相对标准偏差为2.14%~2.48%, 加标回收率为97.6%~102.95%。 系统的测定结果准确、 直线性与稳定性良好, 具有较高的可行性与可靠性。 基于SIA与连续光谱法联合测定NH3-N、 COD的方法研究, 为拓宽光谱法在水质快速检测领域的应用、 提高检测效率等方面的研究具有重大价值。
Aiming at the requirements for accurate and rapid combined determination of ammonia nitrogen and chemical oxygen demand in surface waters of class Ⅰ—Ⅴ, groundwater and industrial wastewater, this paper combines continuous spectrometry and Sequential Injection Analysis (SIA) in spectral Analysis, based on the national standard for surface water detection, taking in-situ water quality parameters of ammonia nitrogen (NH3-N) and chemical oxygen demand (COD) as the detection objects, designing a micro, efficient and rapid detection instrument for NH3-N and COD in-situ water. The system mainly relies on the self-designed digestion cell structure based on ultraviolet lamp digestion with heated closed digestion, and the detection cell structure based on the spectral scanning design to achieve the purpose of rapid digestion and stable detection. It also optimized the detection process based on spectrophotometry. At the beginning of COD digestion, the coordination compounds in the detection tank after NH3-N index coloritization were determined by spectral scanning. After digestion, COD was determined, the whole detection process was shortened by at least 60 minutes compared with the national standard detection method. It can automatically complete the determination of NH3-N and COD within 25 minute, greatly saving time cost. Plotting the absorbance and continuous wavelength curve of coordination compounds after spectral scanning color reaction: NH3-N and COD have obvious absorption peaks at 690 and 445 nm, respectively. After reading the absorbance value at the peak, the least square method is used to establish regression modeling for NH3-N and COD, fitting the regression equation and calculating the correlation coefficient, and drawing the absorbance-concentration working curve of the corresponding parameters. The experimental results show that the correlation coefficient r of the NH3-N standard working curve is≥0.998 7 in the concentration range of 0~2 mg·L-1, and the concentration is positively correlated with the absorbance. The relative standard deviations of repeatability were 1.36%~1.68%, and the recoveries were 97%~102%. In the range of 0~50 mg·L-1, the correlation coefficient r of COD standard working curve is ≥0.997 8, and the concentration is negatively correlated with the absorbance. The relative standard deviations of repeatability were 2.14%~2.48%, and the recoveries were 97.6%~102.95%. The system is accurate, linear and stable, and has high feasibility and reliability. Research on the method of combined determination of NH3-N and COD based on SIA and continuous spectroscopy is of great value in the research to broaden the application of spectroscopy in the field of rapid water quality testing and to improve the efficiency of detection.
水中氨氮(NH3-N)的含量直接反映了水体富营养化程度, 若水体氨氮含量超标, 则可能危害水生生物[1], 因此常被作为水体检测的重要参数[2]。 化学需氧量COD[3]作为衡量水体受有机污染程度的重要指标, 表示水中还原性物质存在的量, 同时监测水中NH3-N与COD的含量对于衡量水域质量具有重大现实意义。
目前国内外测定NH3-N[4]的方法主要包括氨气敏电极法、 纳式比色法[5]和国标法。 因使用的氧化剂不同, 常用的化学需氧量的测定方法可分为高锰酸钾氧化法(OC)[6]和重铬酸钾氧化法(COD)。 相比水质检测中常见的光学检测法如分光光度法[7]、 荧光法[8]存在检测对象受限、 光源受环境光影响等缺点, 连续光谱分析法因其相关性高、 适用范围广、 同时检测速度快等优点被广泛应用在水质检测领域[9, 10], 同时, 相比普通光源与检测管结构, 光谱检测有效减少了环境光对光源产生的影响、 降低了噪声干扰、 光谱检测结构易装置于自动化水质检测系统中、 在减小检测误差的同时提高了系统检测精度, 因此成为近年来研究快速检测水质各参数的热点。
顺序注射分析技术的流路系统结构简单、 硬件系统稳定、 可靠, 可采用同一流路设置实现不同组分的监测, 同时该技术具有环境友好的特点, 检测所需的试剂量以及产生的废液量较少[11], 减轻对生态环境的压力, 故适用于水质监测[12]。
本工作将顺序注射技术(sequential injection analysis, SIA)与连续光谱分析方法结合, 基于《GB3838— 2002地表水环境质量标准》, 经朗伯比尔定律, 设计了NH3-N、 COD一体式微型水质在线监测仪, 使用该方法测定的结果与国标法无显著差异, 稳定性良好, 因此可适用于各类环境水质监测站、 浮漂式检测仪器等。
高压电磁阀Base Pump型高精度立式注射泵, 进液误差≤ 1%; AvaSpe微型高分辨率光谱仪; 发射光谱为200~2 500 nm的DH-mini紧凑型氘-卤钨灯光源, 光输出稳定性< 0.1%; FESTO型多通道切换阀岛; 可调移液器, 量程为0.1 μ L~10 mL; PT100温度传感器; 电阻丝(10 Ω ); ZNCL-TS智能数显恒温磁力搅拌器; 干燥器; 串口人机交互屏。
实验用水均采用《GB11446-1— 2013去离子水国家标准》中的去离子水; 按照《GB 7481-87》完成NaClO(次氯酸钠)使用液(密度为3.5 g· L-1有效氯与浓度为0.75 mol· L-1的游离碱)、 浓度为10 g· L-1的C5H4FeN6Na2O3(亚硝基氰铁化钠)溶液和水杨酸-酒石酸钾钠溶液(显色剂)和浓度为100 mg· L-1的NH3-N标准贮存液的配制。 按照《GB/T 11914-89》完成0.160 0 mol· L-1的K2Cr2O7(重铬酸钾)标准溶液、 10 g· L-1的Ag2SO4(硫酸银)溶液和1 000 mg· L-1的COD标准贮存液的制备。 实验所用溶液均现用现配, 按照国标要求保存。
本系统基于朗伯比尔定律(Beer-Lambert Law)式(1), 通过读取吸收波峰处的吸光度值并应用式(1)得到待测液的浓度值。
式(1)中, A, I0和I分别为吸光度值、 入出射光强度, K, B和c分别为摩尔吸光系数、 光程、 溶液浓度; S, D和R分别为经试剂消解完成后的光电信号、 光源关闭和打开状态下参比的光电信号。
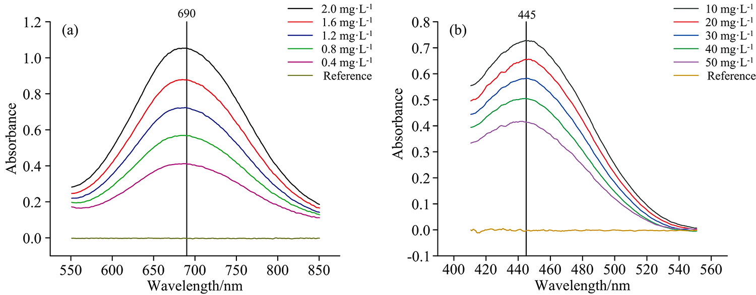
首先经高精度立式注射泵和多通道阀岛作用, 将COD标准溶液与重铬酸钾溶液顺序注入消解池中, 在12 V电压下, 通电180 s后, 使消解池内温度达到设定的175 ℃, 在恒温下进行消解反应, 并持续20 min。 此时阀岛切换至NH3-N试剂管路, 将亚硝基铁氰化钠、 NH3-N标准溶液顺序注射至检测池中。 为让试剂充分反应, 鼓泡任务开启1 min, 静置15 min, 再经水杨酸-酒石酸钾钠显色剂发生显色反应, 生成的蓝色配位化合物经光谱扫描后, 如图1(a)所示为NH3-N的吸收波长与吸光度曲线, 图中显示NH3-N吸收波峰波长为690 nm。 消解池中的COD消解完毕后, 分流至检测池经硫酸银显色反应后, 生成黄绿色配位化合物, 对显色反应后的配位化合物经过光谱扫描后, 如图1(b)所示COD的吸收波峰为445 nm。
1.3.1 系统联合测定流程设计
检测流程设计作为整个检测系统的核心, 直接影响检测结果准确与否。 本系统参照水质NH3-N与COD在线检测仪的技术要求, 以减少试剂用量、 增强稳定性、 节省测定时间、 提高系统检测精度及检测效率等方面对检测流程进行改进, 水质检测系统的流程如图2所示。
1.3.2 消解-检测池结构设计
本系统使用的消解池设计结构如图3所示, 分别为消解池的左视图(a)(未加遮光盖)和主视图(b)和后视图(c)。 石英消解管上下均密封固定于消解架内部, 通过其外部均匀缠绕加热丝进行稳定加热, 经PT100温度传感器对消解池内的温度进行实时监控, 使温度稳定在预定范围。 为提高消解效率和节省消解时间, 加热消解完成后加热丝断电, 散热风扇打开, 直接对消解管进行散热, 散热至室温后, 将消解完成后的溶液分流至检测池中。
| 图3 消解池结构示意图 (a): 左视图; (b): 主视图; (c): 后视图Fig.3 Schematic diagram of digestion cell structure (a): Left view; (b): Main view; (c): Rear view |
检测池结构的主视图和左视图如图4(a, b)所示, 将氘-卤钨灯光源和微型光谱仪分别经光纤卡座固定于检测池架的左右两侧, 因氘-卤钨灯光源发射波长为200~2 500 nm, 涵盖了水质NH3-N与COD的吸收波长, 故在检测过程中无需更换光源。 相比传统由光源和检测管组成的检测结构, 这种光谱检测方法使检测过程变得更简洁无需因检测参数不同而更换光源和检测管, 降低了后期维护费用的同时提高了检测精度。
| 图4 检测池结构示意图 (a): 左视图; (b): 主视图Fig.4 Schematic diagram of detection cell structure (a): Left view; (b): Main view |
1.3.3 顺序注射平台设计
通过SIA与连续光谱检测法相结合, 设计了基于SIA的水质NH3-N、 COD在线检测系统如图5所示, 该系统主要分为四个模块, 顺序注射模块中储液环路与试剂流路均采用抗酸碱腐蚀的聚四氟乙烯(PTFE)材料, 为防止试剂进入消解池前被污染, 试剂管路距阀岛端头处均以0.5 mL空气隔离。 消解-检测模块由氘-卤钨灯光源、 微型光谱仪、 消解池与检测池组成。 远程控制模块采用STM32F103系列的32位高精度MCU作为主控芯片, 其与注射泵及阀岛之间通过RS-232进行通讯, 可直接在控制显示终端实时显示系统状态及试剂水样进样顺序。 因注射泵和阀岛、 散热风扇、 继电器分别需要24, 12和5 V供电, 故电源模块分别采用LM2576S、 LM259S降压芯片实现24 V转12 V, 12 V转5 V。 在整个系统有限的空间内, 该四个模块合理排布以实现小型化、 便携化。
据《GB3838— 2002地表水环境质量标准》, Ⅰ — Ⅴ 类水域中NH3-N及COD的国家标准值如表1所示。
| 表1 水质NH3-N、 COD的国标标准值 Table 1 National standard value of water quality NH3-N and COD |
将配制好的NH3-N标准贮存液, 按照国标要求分别取0.0, 0.1, 0.2, 0.3, 0.4, 0.5 mL于25 mL容量瓶中, 加标稀释到标线可得到0.0, 0.4, 0.8, 1.2, 1.6和2.0 mg· L-1的NH3-N溶液标准工作点, 为了减少配液误差, 配制过程中按照升梯度法配制溶液。 将配制好的COD标准溶液分别取0.0, 0.25, 0.5, 0.75, 1.0, 1.25 mL于25 mL容量瓶中, 稀释到标线可得0.0, 10.0, 20.0, 30.0, 40.0和50.0 mg· L-1的COD标准溶液工作点。
将各溶液工作点测定6次后, 绘制NH3-N及COD标准工作曲线, 并采用最小二乘法对数据进行拟合, 拟合数据如图6所示, 图6(a)为NH3-N标准曲线, 相关系数r=0.998 7, 吸光度与浓度成正比。 图6(b)为COD标准曲线, 相关系数r=0.997 8, 吸光度与浓度成反比。 均具有较好的线性关系。
| 图6 水质NH3-N、 COD工作曲线图 (a): 水质的NH3-N工作曲线; (b): 水质COD工作曲线Fig.6 Water quality NH3-N and COD working curve diagram (a): Water quality NH3-N working curve; (b): Water quality COD working curve |
为验证回归方程是否显著, 分别进行回归系数检验与方程显著性检验, 首先据式(2)、 式(3)与式(4)进行NH3-N与COD回归方程的回归系数检验计算, 其次据式(5)进行回归显著性检验,
其中Xi与Yi分别为测定所得横纵坐标值; n为测定次数; 代入数值计算结果如表2所示。
| 表2 水质NH3-N、 COD的回归系数检验值 Table 2 Regression coefficient test values of water quality NH3-N and COD |
当显著水平α 为0.05时, 查t分布表, 均得: |t(
将依国标配制好的NH3-N标准贮存液配制为NH3-N浓度为2 mg· L-1的NH3-N标准使用液, 取1.25, 6.25和12.5 mL于25 mL容量瓶中, 加入去离子水稀释到标线得到NH3-N浓度为0.1, 0.5和1 mg· L-1的标准样品; 将依国标配制好的邻苯二甲酸氢钾COD标准贮存液配制为COD浓度为100 mg· L-1的COD标准使用液, 分别取6.25, 8.75和11.25 mL于25 mL容量瓶中加入上述符合标准的去离子水稀释得到含量为25, 35和45 mg· L-1的COD标准样品。 分别使用国标法与本方法连续测定6次, 经式(6)计算NH3-N与COD相对标准偏差(RSD)的结果分别如表3所示, 其中RSD1表示经国标法计算所得值, RSD2为经本方法测定后计算所得值。
式(6)中, n为测定次数, n=6; Ci为对同一标准样品第i次的测定结果;
| 表3 NH3-N、 COD重复性(RSD)对比 Table 3 Comparison of NH3-N and COD Repeatability (RSD) |
加标回收率作为系统可靠性的衡量指标, 可由式(7)进行计算,
将样品浓度与体积代入式(7), 可得
式(8)中, S为加标回收率, C1, C2和C3分别为加入的标准溶液浓度值、 本底样系统测定值、 加标样系统测定值, V1和V2分别为加入的标准溶液体积和本底样体积。 取2 mL的COD含量为10和20 mg· L-1的标准溶液分别加入浓度为15, 30和45 mg· L-1的标准COD样品; 取2 mL的NH3-N含量为0.5和1 mg· L-1的标准溶液依次加入浓度为0.4, 0.8和1.2 mg· L-1的标准NH3-N样品, 经测定后计算加标回收率, 结果如表4所示。
| 表4 加标回收率 Table 4 Spike-and-recovery experience |
针对目前水质监测系统存在体积大、 稳定性较低、 测定过程不能完全实现自动化和试剂使用量大等缺点, 将连续光谱法与SIA相融合, 实现了在25 min内高效快速自动检测水质NH3-N及COD参数, 减少了试剂用量和产生的废液量, 相比国标法进一步优化了联合测定流程, 测定结果表明: NH3-N与COD的重复性相对标准偏差(RSD)分别为1.36%~1.68%, 2.14%~2.48%; 加标回收率分别为97%~102%, 97.6%~102.95%; 该系统稳定性良好, 并具有较高的可靠性, 可适用于地表水五类水域、 地下水和生活污水的分析检测, 测定所采用的连续光谱涵盖紫外、 可见光与部分红外波长, 适用于多种水质指标检测, 拓宽了连续光谱法在水质检测领域中的使用, 为连续光谱检测法广泛应用于水质检测领域奠定研究基础, 为今后水质多参数分析仪的进一步深入研究提供了可靠的实验研究支撑。
| [1] |
|
| [2] |
|
| [3] |
|
| [4] |
|
| [5] |
|
| [6] |
|
| [7] |
|
| [8] |
|
| [9] |
|
| [10] |
|
| [11] |
|
| [12] |
|

