作者简介: 鲍珮瑾,女, 1997年生,中国地质大学(武汉)珠宝学院硕士研究生 e-mail: 791674012@qq.com
随着哥伦比亚祖母绿矿的日益枯竭, 巴基斯坦祖母绿逐渐成为市场的主力军之一, 运用常规宝石学仪器、 红外光谱仪、 激光拉曼光谱仪、 紫外-可见-近红外光谱仪(UV-Vis-Nir)和激光剥蚀电感耦合等离子体质谱仪(LA-ICP-MS)对巴基斯坦斯瓦特产区的祖母绿谱学特征进行了较系统的研究。 结果表明, 巴基斯坦斯瓦特祖母绿颜色整体呈深绿色-深蓝绿色, 折射率较高为1.589~1.615。 巴基斯坦斯瓦特产区的祖母绿中含有种类和数量较多的内含物, 其中三相内含物呈边界清晰平直的矩形且具有明显定向性, 与俄罗斯、 赞比亚和埃塞俄比亚产区祖母绿的三相内含物接近。 根据同一样品不同颜色的紫外-可见-近红外光谱和LA-ICP-MS的分析表明, 在颜色较深的区域, 紫外-可见-近红外光谱显示相对较强的427, 608, 637和679 nm(o光)Cr的R线吸收以及在o光下370 nm Fe的吸收, 同时此区域内Cr和Fe含量相对较高, 因此祖母绿色带是由含量不同的Cr和Fe所致。 巴基斯坦斯瓦特祖母绿是由Cr致色, V对颜色有一定贡献且Cr/V极高。 根据LA-ICP-MS结合红外光谱可知, 巴基斯坦斯瓦特祖母绿属于富碱祖母绿, 在红外光谱的指纹区显示了与一般祖母绿相同的振动吸收峰, 在中红外区4 000~2 000 cm-1, 低强度3 518和3 700 cm-1为Ⅰ型水不对称伸缩振动, 其他的水谱带饱和; 中等强度的3 232 cm-1为[Fe2(OH)4]2+多聚合离子吸收谱带; 在8 000~5 000 cm-1近红外光谱区, 在垂直于 c轴的方向上, 5 264 cm-1为Ⅰ/Ⅱ型水 ν3+ ν2合频吸收带, 中等7 097 cm-1为Ⅱ型水倍频振动峰、 弱的7 187和6 842 cm-1为Ⅰ型水倍频振动峰; 在平行 c轴方向上, 5 272 cm-1为Ⅰ/Ⅱ型水 ν3+ ν2合频吸收带, 7 073 cm-1为Ⅰ型水的合频振动峰, 7 185 cm-1为Ⅱ型水的倍频振动峰。 总之, 巴基斯坦斯瓦特山谷的祖母绿的主要致色离子为Cr3+和Fe3+, 碱金属离子含量偏高, 属于Ⅱ型水为主的祖母绿类型。
With the exhaustion of Colombian emerald mins, the emeralds from Swat vally, Pakistan have gradually dominated the market and the systematic research for emeralds from Swat valley, Pakistan is conducted by using conventional gemological instruments, infrared spectrum, Raman spectrum, UV-Vis-Nir spectrum and Laser Ablation (Microprobe) Inductively Coupled Plasma Mass Spectrometry (LA-ICP-MS). The results show that the color of emerald from swat is dark green to dark bluish green, and the refractive index is 1.589~1.615. There are many kinds and quantities of inclusions in the emeralds from Swat, Pakistan. And the three-phase inclusions are rectangular with a clear boundary and obvious orientation, which is close to the three-phase inclusions in the emeralds from Russia, Zambia and Ethiopia. According to the UV-Vis-Nir spectroscopy and LA-ICP-MS analysis of the same sample with different colors, the UV-Vis-Nir spectroscopy show relatively strong R line absorption of 427, 608, 637 and 679 nm (O light) belonging to Cr in the dark region and absorption of 370 nm belonging to Fe in the o light, and the content of Cr and Fe in this region is relatively high. So emerald bands are caused by different amounts of Cr and Fe. The color of Emerald from Swat, Pakistan, is caused by Cr , and V contributes to color, and Cr/V is very high. According to LA-ICP-MS combined with the infrared spectrum, emerald from Swat , Pakistan belongs to alkali-rich emerald, and the fingerprint region of the infrared spectrum shows the same vibration absorption peak as common emerald. In the middle infrared region of 4 000~2 000 cm-1, low intensity 3 518 and 3 700 cm-1 belong to the asymmetric stretching vibration of type Ⅰwater and the other bands caused by water are saturated. The medium strong peak of 3 232 cm-1 is caused by polymer ion absorption of [Fe2(OH)4]2+. In the near infrared spectral region of 8 000~5 000 cm-1, the absorption band at 5 264 cm-1 belongs to the frequency combination absorption of ν3+ ν2 of type Ⅰ/Ⅱ water in the direction perpendicular to the C-axis, and the peak of 7 097 cm-1 is caused by frequency double oscillation of type Ⅱ water. While weak ones of 7 187 and 6 842 cm-1 are caused by the frequency double oscillation of type Ⅰ water. In the parallel c-axis direction, the absorption band at 5 272 cm-1 belongs to the synthesis frequency absorption of ν3+ ν2 of type Ⅰ/Ⅱ water, 7 073 cm-1 is the synthesis frequency vibration peak of type Ⅰ water, and the peak of 7 185 cm-1 belongs to the double frequency vibration of type Ⅱ water. In conclusion, the main chromaticity ions of emeralds in Swat Valley of Pakistan are Cr3+ and Fe3+, and the emeralds' content of alkali metal ions is high and the emeralds from Swat Valley of Pakistan belong to type Ⅱ water-dominated emeralds.
20世纪50年代, 巴基斯坦明格拉北部发现了祖母绿, 随着哥伦比亚矿的日益枯竭, 巴基斯坦祖母绿的产量也在逐年上升, 渐渐占据市场较大份额。 巴基斯坦斯瓦特祖母绿以高折射率和相对密度与其他地区的祖母绿区分开来, 颜色饱和度高晶体小也是它的重要特征之一[1]。 自此矿区被发现以来, 宝石学家们对此产地祖母绿的研究多侧重于地质背景的研究[1, 2, 3, 4]。 在近些年的报道中, 此产地陆续发现了大量具有明显颜色分带特征的祖母绿品种, 此品种根据特征又可划分为两大类— — 具有更多复杂内含物的达碧兹品种; 只显示六边形角状色带的简单分带品种。 Gue等[5]重点对该产地祖母绿及达碧兹品种祖母绿的宝石学特征及化学成分特征进行了研究。 而只具有六边形角状色带的品种未曾讨论。
目前, 对于此类型祖母绿的宝石学特征、 颜色分带成因以及详细的光谱学特征等研究较为薄弱, 本文重点选取巴基斯坦斯瓦特产地具有不同颜色分布特征的祖母绿进行了宝石学特征、 化学成分及光谱学特征分析, 并结合紫外-可见-近红外光谱和红外吸收光谱重点对具有颜色分带特征祖母绿的颜色成因及红外光谱归属进行了详细的探讨和分析, 丰富了此产地祖母绿的光谱学数据, 为此产地祖母绿的颜色成因及产地鉴别提供了研究依据。
研究样品共5粒, 为祖母绿原石块, 从左至右编号依次为YS-2— YS-6, 来自于巴基斯坦斯瓦特山谷, 从深圳宝石经销商萧先生处购得。 样品颜色多为饱和度高的深绿色, 玻璃光泽, 透明度一般。 其中YS-3和YS-4具有明显的颜色分带特征— — YS-3样品中心颜色较浅, 外圈颜色较深, YS-4中心颜色较深, 边缘颜色较浅, 都呈六边形颜色分带, 外观如图1所示。 所有样品均制成厚度为1 mm左右经双面抛光的薄片。
宝石学基础测试在中国地质大学(武汉)珠宝学院完成, 利用宝石显微镜、 二色镜、 分光镜等常规宝石学仪器对样品的基本宝石学特征进行测试。
化学成分的测试采用激光剥蚀电感耦合等离子体质谱仪(LA-ICP-MS), 其由GeolasPro激光剥蚀系统和Agilent7700e组成, 剥蚀过程中使用氦气作载气、 氩气为补偿气以调节灵敏度, 剥蚀系统配有信号平滑装置, 光学系统为MicroLas, 准分子激光器为COMPexPro 102 ArF 193 nm[6]。 本次分析的激光束斑和频率分别为44 μ m和6 Hz。 不使用内标, 采用BHVO-2G、 BCR-2G和BIR-1G多种标准物质对元素浓度进行校准。 利用Al作归一化元素, NIST 610玻璃也被用于时间漂移校正。 对于具有颜色分带特征的YS-3与YS-4样品在不同颜色的位置一共选取5个点位, 分别在相应点位进行了激光拉曼光谱、 紫外-可见-近红外光谱测试。 其他所有样品在均匀的区域各测试3个点位。
红外光谱的测试使用了透射和反射的方法, 仪器型号为Vertex80 and Hpersion 3000, 反射法测试1 400~400 cm-1区域, 为祖母绿指纹区; 透射法分别测试4 000~2 000和8 000~5 000 cm-1范围, 为祖母绿通道水的倍频区。 分辨率为4 cm-1, 扫描时间为32 s。 对所有薄片测试1 400~400 cm-1指纹区及8 000~5 000 cm-1通道水倍频区, 对YS-2样品利用透射法测试4 000~2 000 cm-1区域。
紫外-可见-近红外光谱测试是通过Jasco MSV-5200微型光谱仪, 在250~2 500 nm范围内记录光谱, 扫描速度为1 000 nm· min-1, 数据间隔为0.5 nm。 每个样品都测了o线与e线的光谱。
样品的折射率在1.589~1.615之间, 双折射率在0.008~0.010之间, 高于大部分产地的祖母绿, 相对密度为2.52~2.76。 样品在长波365 nm和短波254 nm下均无紫外荧光, 样品具中等二色性, 分光镜显典型铬谱。 利用宝石显微镜和显微拍照观察发现, 多数样品中具有特征的二相及三相包体, 这些包体与俄罗斯、 赞比亚和埃塞俄比亚的相似, 呈具有明显定向性的矩形形态分布[图2(a)][7]。 Guo等[5]在对此产区祖母绿的研究中发现, 祖母绿中具有大量不同种类的固体内含物, 如菱镁矿、 白云石、 石英等, 本研究也发现了相同的固体内含物。 同时, 在一个具有颜色分带的样品中也发现了前人不曾报道过的, 由黑色片状内含物连接在一起的、 呈蜈蚣状分布的固体内含物[图2(b)], 此内含物聚集组成了样品YS-4中间的深色核心。 样品的基本宝石学特征如表1所示。
| 表1 巴基斯坦斯瓦特祖母绿的基本宝石学特征 Table 1 Gemological properties of regular emeralds from Swat Valley, Pakistan |
激光剥蚀电感耦合等离子质谱仪部分测试结果如表2所示。 微量元素以富碱和富Cr, Mg和Fe为特征, 其中, Li平均为418 μ g· g-1, Na平均为16 455 μ g· g-1, K平均为291 μ g· g-1, Rb平均为11 μ g· g-1, Cs平均为298 μ g· g-1。 富碱金属导致了红外光谱中通道水为Ⅱ 型水占主导, 较高的Mg和Fe含量则导致了该产地祖母绿具有较高的折射率以及具有较深的绿色, 不同产地祖母绿的Mg和Fe含量见表3。
| 表2 巴基斯坦斯瓦特祖母绿的化学成分表(由LA-ICP-MS测得) Table 2 Chemical composition of emeralds from Swat Valley, Pakistan, analyzed by LA-ICP-MS |
| 表3 不同产地祖母绿的Mg, Fe含量对比表 Table 3 Comparison of composition of Mg and Fe from different origins |
2.3.1 2 000~400 cm-1中红外光谱区特征
红外光谱在1 400~400 cm-1为指纹区, 可以检测宝石的种类。 其中祖母绿指纹区的谱线划分如下:
此区域主要分为三个部分, 第一部分在1 200~950 cm-1范围内, 所显示的三到四个强吸收带由Si— O— Si反伸缩振动、 O— Si— O反伸缩振动和O— Si— O伸缩振动引起; 第二部分由Si— O— Si伸缩振动引起的四个中到弱的吸收带组成, 其范围820~600 cm-1间; 在< 600 cm-1区域内, 几个中等强度的吸收带由Si— O的弯曲振动和M— O的伸缩振动以及二者的耦合振动引起[13]。 同时可以发现, 与绿柱石标准光谱[图3(b)]相比, 巴基斯坦斯瓦特山谷祖母绿的红外指纹区范围内的谱线位置大多向高波数偏移, 这可能是因为基团外部阳离子的性质影响基团内部的键长和键强, 这与类质同象替代有关— — 当有阳离子进入八面体中替代Al时, 基团外部M— O(M为金属元素)键长增大, 距离增大导致其与氧的结合力减弱, 进而导致基团振动增强, 使谱峰偏向高波数[14], 同时这种类质同象替代会影响到通道水的类型。 垂直于c轴薄片的红外吸收光谱中, 强度稍低的1 599 cm-1处谱峰归属于Ⅰ 型水弯曲振动吸收, 稍高强度的1 622 cm-1为Ⅱ 型水弯曲振动吸收谱带。
| 图3 巴基斯坦斯瓦特祖母绿(a)和普通绿柱石(b)的红外光谱(400~1 400 cm-1)Fig.3 IR spectra of emeralds from Swat Valley, Pakistan (a) and beryl (b)(400~1 400 cm-1) |
从图3可以看出, 垂直于c轴和平行于c轴的薄片对应的红外吸收光谱表现不同— — 在1 400~400 cm-1区域, 由硅氧骨干化学键振动吸收引起的谱峰在强度和位置上稍有差异; 在2 000~1 400 cm-1区域, 由结构水的弯曲振动引起的谱峰明显不同: 垂直于c轴方向上, 此峰未显示; 平行于c轴方向上显示Ⅰ 型水和Ⅱ 型水的弯曲振动吸收峰1 598和1 622 cm-1且Ⅱ 型水吸收大于Ⅰ 型水。
2.3.2 4 000~2 000 cm-1中红外光谱区特征
在4 000~2 000 cm-1范围内的吸收谱带主要与祖母绿通道水的伸缩振动、 通道内其他碱金属离子(如K+, Na+等)与水形成的化学键的振动和CO2分子振动有关[14]。 为了让结果更具有普遍性, 在平行于c轴的YS-2薄片上测试了三个点位, 分别选取不同但颜色相对均匀的位置。 图4显示了巴基斯坦斯瓦特山谷祖母绿的特征: 低强度3 518和3 700 cm-1处谱峰归属为Ⅰ 型水不对称伸缩振动, 此范围内的其他通道水的吸收饱和, 无法显示吸收带; 中等强度的3 232 cm-1为[Fe2(OH)4]2+多聚合离子吸收谱带[15]; 2 900 cm-1左右一系列弱峰据研究与油或树脂等充填物有关[5], 本研究样品为未充填样品, 此位置吸收较弱, 同时测得空气背景中也有此峰的存在, 推测图4中此位置的弱吸收为空气中或者未被酒精溶解的手上油脂所导致的; 2 672 cm-1据研究与氢同位素与氧原子OD振动有关[16]; 强度较大的2 356 cm-1处谱峰为CO2分子振动峰[14], 大部分来自空气。 图4显示, 光在祖母绿中的振动方向与其光谱特征有密切的关系。
| 图4 巴基斯坦斯瓦特祖母绿的红外光谱 (2 000~4 000 cm-1)Fig.4 IR spectra of emeralds from Swat Valley, Pakistan (2 000~4 000 cm-1) |
2.3.3 8 000~5 000 cm-1近红外光谱区特征
近红外光谱图5显示了与水相关的三种不同波段的模式, 谱峰分别位于7 500~6 500和5 270 cm-1附近[7, 8]。 垂直于c轴的光学薄片在7 500~6 500 cm-1波段中, 显示6 842, 7 097和7 187 cm-1的红外吸收峰并且在5 264 cm-1处有强且尖锐的吸收峰; 而平行于c轴的光学薄片在此波段中, 显示6 840, 7 073, 7 185和7 268 cm-1的红外吸收峰并且在5 272 cm-1处有强且尖锐的的吸收峰。 由此可见, 在不同方向上祖母绿的红外光谱对水的吸收不同。
| 图5 巴基斯坦斯瓦特祖母绿的近红外吸收光谱(5 000~8 000 cm-1)Fig.5 NIR spectra of emerales from Swat Valley, Pakistan (5 000~8 000 cm-1) |
6 000~5 000 cm-1水的谱峰特征: 在垂直于c轴的方向上, 5 264 cm-1处强且尖锐的谱峰为Ⅰ /Ⅱ 型水ν 3+ν 2合频吸收带, 在平行c轴方向上, 与之对应的5 272 cm-1为Ⅰ /Ⅱ 型水ν 3+ν 2合频吸收带[8, 10, 14], 5 588 cm-1处弱吸收峰为Ⅰ 型水的振动吸收带[10]。
7 500~6 500 cm-1范围内水的光谱特征: 在垂直c轴的方向上, 中等7 097 cm-1处的谱带为Ⅱ 型水倍频振动峰, 7 187和6 842 cm-1处弱的谱带为Ⅰ 型水倍频振动峰。 在平行c轴方向上, 稍强而宽的7 073 cm-1处谱带为Ⅰ 型水的合频振动峰, 7 185 cm-1处为Ⅱ 型水的倍频振动峰。 7 268 cm-1为水的倍频振动峰[8]。
从图5中可以看出, 在垂直于c轴方向上, Ⅰ 型水的近红外区振动吸收峰不可见; 在平行于c轴的方向上显露, 表明巴基斯坦斯瓦特祖母绿通道水是由Ⅱ 型水主导的, 这与富碱相对应。 Groat[17]认为, 祖母绿中二价阳离子对八面体位Al3+的替代会导致一价阳离子(主要是和碱金属离子)为了补偿电荷而进入结构通道中, 大半径碱金属离子(如Na+和K+等)在通道中影响了水的位置, 从而形成Ⅱ 型水。 因此, 成矿流体中含二价阳离子(Mg2+, Fe2+)较多的祖母绿, 其通道中碱金属含量也较多, 通道水主要是由Ⅱ 型水主导。 所以红外光谱可以揭示祖母绿成矿流体的成分及类质同象替代程度[18]。
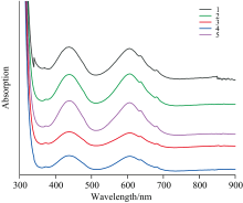
为探讨巴基斯坦斯瓦特祖母绿的颜色成因, 对YS-2和具有明显颜色分带特征的样品YS-3和YS-4进行了紫外-可见-近红外光谱测试, 结果如图5、 图6、 图7所示。
| 图7 YS-3样品的测试点(a)及致色元素含量变化(b)Fig.7 Test points for sample YS-3 (a) and variation in content of colouring elements (b) |
图6显示, YS-2的薄片在常光方向具有370, 427, 608, 637和679 nm的可见光区吸收; 在非常光方向上显示为420, 643, 662和684 nm的可见光区吸收。 资料显示[18], Cr3+在常光下有430和600 nm左右的吸收, 而在非常光方向上显示420和630 nm的主要吸收带, 这与本实验所测得的数据相符。 由于Cr致色的祖母绿与V致色的祖母绿, 其光谱差异主要在于红区Cr所显示的尖锐的R线, 此线主要表现为600~700 nm的一系列强的吸收线。 而本实验所测试的巴基斯坦斯瓦特山谷的祖母绿所显示的光谱为Cr的吸收, 说明Cr是该产地祖母绿的主要致色因素, 这与前文的化学成分测试结果相符。
常光方向可见370 nm的吸收线, 是由于Fe3+占据四面体空隙而产生的[18], 此线在非常光下难以显示。 同时由Fe2+产生的在常光方向以843 nm为中心的宽吸收带, 以及在非常光方向以892 nm为中心的稍窄的吸收带, 也反映了有铁离子的存在。
在近红外区, 常光方向有1 405及1 891 nm两处的较强吸收, 即在波数范围为7 000 cm-1± 以及5 000 cm-1± 处存在强的吸收, 非常光方向有1 409, 1 777和1 891 nm三处强吸收, 对应在波数范围7 000 cm-1± , 5 500 cm-1± 以及5 000 cm-1± 的吸收。 这些吸收与祖母绿中的通道水吸收一致[7]。
对于有明显颜色分带的样品测试结果如图7、 图8所示。 YS-3样品颜色分带边界清晰、 颜色均匀, 显微紫外光谱测得其在不同颜色分带位置均具有由Fe3+所致的370 nm处吸收峰[9]; 以及由Cr3+所致的436, 605, 638和680 nm处的吸收峰和近红外区1 410和1 897 nm处的水峰。 位置1、 4和5的颜色较深, 在外圈绿色色带内, 吸收强度高, 表明色带是由于Fe3+和Cr3+含量不同造成的。 同时, LA-ICP-MS微量元素结果与显微-紫外-近红外的测试结果相同。 YS-3中, 在颜色较深的1, 4和5中Cr3+的含量较无色区2, 3位置多, Fe3+, V3+和Cr3+相同的变化趋势, 但从V3+的纵坐标轴(右轴)上看, 五个点之间的含量变化较小, 大部分小于20 μ g· g-1, 表明这颗具有明显六边形色带的巴基斯坦祖母绿主要由Cr3+, Fe3+共同致色, V3+具有一定贡献, 由于Cr/V≈ 10, 光谱中未能显示出较明显的V3+吸收肩(390 nm)[9]。
(1)巴基斯坦斯瓦特祖母绿颜色饱和度、 折射率和密度都较高, 较其他产地(哥伦比亚、 马达加斯加等)富Mg、 Fe, 内部具有典型的块状多相包体, 可作为产地区分的特征之一。
(2)LA-ICP-MS的结果显示, 巴基斯坦斯瓦特祖母绿富碱, 主要致色元素是Cr且Cr/V很高。 紫外-可见-近红外光谱显示出明显的Cr3+和Fe3+的吸收, 在具有明显色带的YS-3的综合测试显示, 巴基斯坦斯瓦特祖母绿颜色变化与致色元素Cr, V和Fe都有关。
(3)红外光谱中显示明显的Ⅱ 型水吸收峰, 在垂直C轴方向上位于近红外区5 264和7 097 cm-1; 在平行c轴方向上, 位于近红外区5 272和7 185 cm-1。 且Ⅱ 型水的吸收峰比Ⅰ 型水要高和尖锐, 表明巴基斯坦斯瓦特山谷祖母绿属于以Ⅱ 型水为主的祖母绿类型。
| [1] |
|
| [2] |
|
| [3] |
|
| [4] |
|
| [5] |
|
| [6] |
|
| [7] |
|
| [8] |
|
| [9] |
|
| [10] |
|
| [11] |
|
| [12] |
|
| [13] |
|
| [14] |
|
| [15] |
|
| [16] |
|
| [17] |
|
| [18] |
|

