作者简介: 范青杰, 1996年生,辽宁科技大学化工学院硕士研究生 e-mail: 1797395056@qq.com
低QI(原生喹啉不溶物)含量的软沥青(SCTP)是制备煤系针状焦的优选原料, 研究其在成焦过程中的结构变化有助于高品质针状焦的研制。 基于样品的X射线衍射(XRD)数据, 利用Smarsly团队开发的CarbX软件对其全谱拟合, 定量出SCTP在不同炭化温度(400, 500, 600, 800, 1 000, 1 200和1 400 ℃)下的微晶结构参数, 进而在纳米尺度下研究SCTP的热致结构变化情况。 结果表明, 随炭化温度升高, 微晶堆垛的石墨烯层大小 La从初始沥青的10.3 Å逐步增大到1 400 ℃的47.9 Å, 但在500 ℃前 La增加缓慢, 只有当温度超过800 ℃后, La才显著增大, 这表明需要800 ℃以上的高温才能使交联石墨烯层内的原子重组, 进而导致微晶长大。 然而, 石墨烯碳网的C—C键长 lcc受温度的影响很小, 在1.41~1.42 Å范围内变化。 由于SCTP在液相炭化成半焦过程中存在中间相转化, 导致微晶堆垛高度 Lc在500 ℃前逐步增大, 在500 ℃时达到最大( Lc=31.1 Å), 随后由于半焦进一步热解缩聚, 使 Lc逐步减小, 在1 000 ℃时达到最低点( Lc=15.4 Å), 超过1 000 ℃后又开始增大。 与 Lc的变化趋势相同, 堆垛的石墨烯层数 N从原始沥青的2.66层增加到500 ℃的约9.05层, 随后减小到1 000 ℃的4.55层, 超过1 000 ℃后又开始增大。 由于500 ℃前样品仍处于沥青态, 所以此阶段微晶的石墨烯层间距 a3都较大, 约为3.50 Å。 当在500 ℃变为半焦后, a3迅速减小至3.44 Å。 随后温度升高, a3在1 000 ℃达到最小( a3=3.39 Å), 1 000 ℃后又开始增大, 这表明焦炭经历了收缩再膨胀过程。 通过CarbX软件拟合样品的XRD数据, 除了可得到样品炭微晶的主要尺寸( La, Lc, N, a3)信息外, 还可获得这些参数的分散性( ka, kc, σ3, ε3)以及堆垛的取向性( q)、 均匀性( η)和无序碳含量( cun)等信息, 有利于深入了解样品的微观结构, 有助于优质针状焦的生产。
Soft coal tar pitch (SCTP) with low QI content is the preferred raw material for preparing coal-based needle coke. The study on its structure changes in the cooking process is helpful to prepare high-quality needle coke. In this paper, the CarbX software developed by the Smarsly team was used to fit the full spectrum X-ray diffraction (XRD) data of the samples toquantify the microcrystalline structure parameters of SCTP at different carbonization temperatures (400, 500, 600, 800, 1 000, 1 200 and 1 400 ℃), and then investigate the thermally induced structural changes of SCTP at the nanoscale. The results show that the average graphene layer size of microcrystalline stack La gradually increases from 10.3 Å for the pristine pitch to 47.9 Å at 1 400 ℃ with the rising of the carbonization temperature, but La increases slowly before 500 ℃. A significant increase of La is found only when the temperature exceeds 800 ℃, indicating that high temperatures above 800 ℃ are needed to recombine the atoms in the cross-linked graphene layers and lead to the growth of the microcrystals. However, the C—C bond length ( lcc) of the graphene carbon network is slightly affected by temperature and varies in the range of 1.41~1.42 Å. Because of mesophase transformation during the liquid-phase carbonization of SCTP into semi-coke, the average stack size Lc gradually increases before 500 ℃ and reaches the maximum at 500 ℃ ( Lc=31.1 Å). Subsequently, due to further pyrolysis and polycondensation of semi-coke, Lc gradually decreases and reaches the lowest point ( Lc=15.4 Å) at 1 000 ℃, and increases again after 1 000 ℃. Similar to Lc, the average number of graphene layers per stack N increases from 2.66 layers for the raw pitch to 9.05 layers at 500 ℃, then decreases to 4.55 layers at 1 000 ℃, and then begins to increase after 1 000 ℃. The samples are still in the pitch state before 500 ℃ the average graphene interlayer spacing a3 is large, about 3.50 Å at this stage. When the pitch becomes semi-coke at ca. 500 ℃, a3 rapidly decreases to 3.44 Å, continues to decrease, reaches the minimum at 1 000 ℃ ( a3=3.39 Å), and begins to increase again after 1 000 ℃, indicating that the coke has undergone a shrinkage and re-expansion process. By using CarbX software to fit the XRD data of the sample, the main size ( La, Lc, N, a3) of carbon microcrystals of the sample can be obtained, as well as the dispersion ( ka, kc, σ3, ε3) of these parameters and the orientation ( q), homogeneity ( η) of per stack and disordered carbon content ( cun). It is helpful to deeply understand the sample's microstructure and to produce high-quality needle coke.
煤系针状焦是以煤焦油沥青为原料, 通过原料预处理、 延迟焦化、 高温煅烧等工序获得的一类特殊焦炭, 外观为银灰色, 具有明显的流线型纹理[1]。 由于独特的针状显微结构, 使其具有高导电率、 低热膨胀系数、 好的耐烧蚀性、 强抗氧化性等一系列优良性能, 是生产锂电负极材料[2]、 超级电容器电极[3]和高功率、 超高功率石墨电极[4]的理想原料。
煤系针状焦的宏观性能与其微观结构密切相关。 因此, 精确了解其碳微观结构对于调整特定用途的性能, 并相应地优化生产工艺至关重要。 研究者已采用众多分析测试手段进行了广泛的表征研究[5, 6, 7, 8]。 其中, X射线衍射(XRD)技术是最常用的重要手段之一, 可从纳米尺度研究针状焦的微观结构特征[9]。 由于煤沥青及其衍生焦炭都属于非石墨化碳(或过渡态碳、 乱层碳), 由小而随机排列的石墨烯堆垛(亦称为基本结构单元)组成, 不具有任何三维长程有序性, 因此通过XRD方法对它们的结构表征具有挑战性[10]。 显然适用于晶体材料的经典Bragg-Scherrer方法不合适, 因此有研究者采用分峰拟合方法将结晶碳的衍射峰从体系中分离出来, 再通过Bragg-Scherrer方法计算样品的微晶结构参数[11]。 最近, 有报道基于对碳质材料微观结构的长期研究[12], 开发出了一款适用于非石墨化碳(NGCs)微晶结构分析的软件, 即CarbX软件[13], 通过软件全谱拟合XRD数据, 直接获得样品的微晶结构参数, 其原理有点类似于Rietveld方法。 目前, 用CarbX软件来研究煤系针状焦原料在成焦过程中微晶结构变化还未见文献报道。 在以往研究[14]基础上, 采用样品的XRD数据, 利用CarbX软件对其全谱拟合, 定量出煤系针状焦原料SCTP在不同炭化温度(400, 500, 600, 800, 1 000, 1 200和1 400 ℃)下的微晶结构参数, 再将这些参数与炭化温度关联, 进而研究了SCTP在成焦过程中微观结构的变化情况, 以期洞察其液相炭化成焦机理, 为高品质煤系针状焦的生产提供理论依据。
实验所用原料软沥青(SCTP)由中钢集团鞍山热能研究院有限公司提供(辽宁, 中国); 甲苯(AR)由北京化工厂提供(北京, 中国); 喹啉(AR)由天津瑞金特化工有限公司提供(天津, 中国)。 原料SCTP的基本性质见表1。
| 表1 原料SCTP的基本性质 Table 1 Basic properties of raw material SCTP |
分别称取约10 g软沥青, 放入瓷舟中, 置于管式炉内, 在氮气保护下以3 ℃· min-1的升温速率加热至设定温度(400, 500, 600, 800, 1 000, 1 200和1 400 ℃), 并恒温120 min, 反应结束后自然冷却至室温, 获得样品。 样品被标记为SCTP-X, X代表炭化温度, 其中原料沥青的炭化温度设为20 ℃。
原料沥青的工业性质分析按国家标准执行: 软化点按照GB/T4507—1999方法测定, 甲苯不溶物按照GB/T2292—1997方法测定, 喹啉不溶物按照GB/T2293—1997方法测定, 结焦值按照GB/T2727—88方法测定, 灰分按照GB/T2295—1980方法测定。
样品的X射线衍射(XRD)分析在荷兰帕纳科公司生产的Axios型XRD分析仪上完成。 Cu Kα 为入射源(λ=1.540 6 Å ), 工作时管电压为40 kV, 管电流为40 mA, 扫描范围区间为10° ~90° , 步长为0.013° 。 所有样品在测试前用玛瑙研钵研磨过325目筛, 其中原料SCTP在研磨前需在200 ℃真空烘箱中处理60 min, 以提高其软化点。
XRD图谱的拟合采用文献[13]报道的CarbX软件和方法来完成。 具体过程为: 把样品的XRD数据导入软件, 衍射角2θ 被转换为衍射矢量S(S=2sinθ /λ), 选择拟合模板, 设置选项和参数, 先手动初调拟合, 然后利用Wolfram Mathematica 10.3软件进行自动拟合, 最后再进行手动精调, 当拟合偏差约小于2%时输出拟合数据。 通过CarbX软件全谱拟合, 可获得与样品炭微晶结构相关的参数达20个, 其中堆垛石墨烯层内结构参数有6个(La, <l>, ka, kr, lcc, σ 1), 堆垛石墨烯层间结构参数有11个(Lc, kc, a3, σ 3, a3min, Δa3, N, ε 3, η , q, u3), 无序结构参数有3个(cun, cN, cO)。 表2为这些参数的物理意义和图示说明。
| 表2 利用CarbX软件获得的微晶结构参数及意义 Table 2 Parameter symbols and meanings obtained by CarbX software |
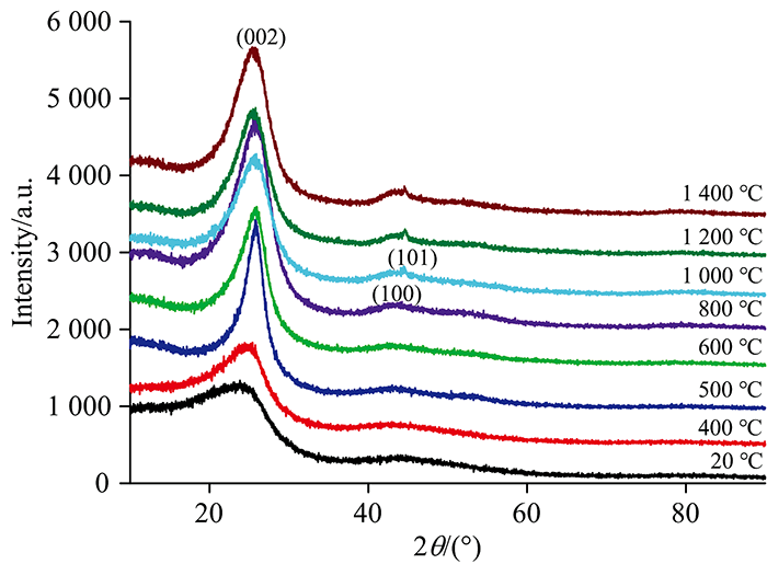
图1为原料沥青SCTP及其热处理到1 400 ℃的XRD图谱。 由图1可见, 在所有温度下, 衍射角在16° ~33° 范围反映微晶堆垛石墨烯层在Z轴方向堆积结构的(002)峰都非明显, 而在43° 附近反映微晶堆垛石墨烯层大小的(100)峰在800 ℃才显露出来, 在44.5° 左右的(101)峰在1 000 ℃时才被观察到, 表明1000 ℃以上的高温才能导致焦炭的乱层结构向类石墨结构转变。
| 图1 SCTP及其热处理到1 400 ℃样品的XRD图谱Fig.1 XRD patterns of the SCTP and the samples obtained at heat-treatment temperatures up to 1 400 ℃ |
随炭化温度升高, (002)峰的强度逐步增大, 500 ℃后变化不明显, 其峰位置2θ 从20 ℃的23.8° 逐步增大至500 ℃的25.9° , 随后略有减小, 800 ℃后基本维持在25.7° 左右。 同时, (002)峰的形状从初始的弥散峰到500 ℃的尖峰, 随后峰略变宽, 分析认为高于500 ℃体系逐步固化, 中间相融并变形导致炭微晶堆积更混乱。 500 ℃时最窄的(002)峰表明, 此温度下所得样品的微晶具有最大的石墨烯层数, 这可能是由于沥青类物质在400~500 ℃温度范围内存在中间相转化的缘故, 此时体系极低的黏度有利于沥青芳烃大分子的堆积排列。
图2为用CarbX软件对SCTP及其热处理到1 400 ℃样品的XRD数据全谱拟合的情况。 由图2(a), (b)和(c)可见, 在所有温度下, 当衍射矢量S>0.23(2θ >20° )时, CarbX拟合曲线与相应的XRD数据吻合良好, 仅在S<0.23(2θ <20° )范围内存在较明显的轻微偏差, 但这种偏差并不影响对样品的整体分析。 图2(a)和(c)中为了相应的拟合偏差[(I测量-I拟合)/I测量]。 所有样品的拟合偏差都在± 2%范围内, 证实了CarbX软件适用于分析沥青及其焦炭等非石墨化富碳材料的XRD数据。
为了比较不同方法所得结果的差异, 实验中以样品SCTP-1 400 ℃为例, 除了CarbX方法[见图2(c)]外, 还采用经典的Bragg-Scherrer方法和相关研究的分峰拟合方法对其XRD数据进行了分析。 图2(d)为样品SCTP-1 400 ℃的XRD图谱的分峰拟合结果, 通过拟合将(002)峰细分为两个峰: π 峰和γ 峰, π 峰为结晶碳的衍射峰, γ 峰为无定形碳的衍射峰。 表3列出了这三种方法所得样品微晶的主要尺寸数据, 包括微晶石墨烯层的平均大小La、 堆垛的平均高度Lc、 层间距d002和层数N等参数。 由表3可见, 三种方法所得这些数据的大小相差不大, CarbX方法得到的参数数值介于Bragg-Scherrer方法和分峰拟合方法所得参数数值之间, 表明CarbX方法用于XRD数据分析的可靠性。
| 表3 三种方法所得SCTP-1 400 ℃的微晶结构参数 Table 3 Microcrystalline structural parameters obtained by three methods |
根据CarbX软件的全谱拟合结果, 表4给出了在不同炭化温度下各样品的微晶结构参数, 包括堆垛石墨烯层内结构参数、 堆垛石墨烯层间结构参数和堆垛无序结构参数, 将这些参数与炭化温度关联, 进一步了解SCTP在成焦过程中的结构变化情况。
| 表4 CarbX拟合获得样品的微晶结构参数 Table 4 Microcrystalline structural parameters of the samples obtained by CarbX fitting |
2.3.1 微晶堆垛石墨烯层内的结构变化情况
由表4可见, 石墨烯层的平均大小La在800 ℃之前增加缓慢, 从初始的10.3 Å 到800 ℃的15.7 Å , 但高于800 ℃增加较迅猛, 而且温度越高增加越迅速, 在1 400 ℃, La达47.9 Å 。 表明至少需要800 ℃以上的温度, 才能使堆垛交联层内的原子重组, 从而使微晶的芳香平面增大。 石墨烯层弦长<l>的多分散性ka则随温度升高逐步减小, 从20 ℃的0.5减小到1 400 ℃的0.25。 ka越小, 则弦长<l>越均匀, 表明石墨烯层越规整。 另外在各温度下, 石墨烯层碳网平面的平均C—C键长lcc都在1.41~1.42 Å 范围内, 表明lcc受温度的影响很小。 第一个相邻分布的标准偏差σ 1, 其可估计2D石墨烯晶格中的缺陷程度。 随着温度的升高, σ 1呈下降趋势, 从原料沥青的0.24下降到1 400 ℃的0.15, 分析认为由于温度升高, 导致石墨烯碳网因受热应变而松弛, 使交联层内的原子可重组, 进而导致缺陷愈合。
2.3.2 微晶堆垛石墨烯层间的结构变化情况
由表4可见, 与La的持续增大不同, 堆垛的平均高度Lc随温度的变化则复杂一些。 Lc随温度升高先显著增大, 500 ℃时达到最大值(Lc=31.1 Å ), 随后明显减小, 在1 000 ℃后又开始增大。 对应的堆垛石墨烯层数N从原始沥青的2~3层增加到500 ℃的9层左右, 达1 000 ℃时下降到约5层。 只有超过1 000 ℃时, N才会进一步增加。 在500 ℃时Lc和N的这种暂时增加可归因于液相炭化阶段中间相的生成, 而随后的明显下降则是由于体系固化, 中间相的融化并导致芳烃平面分子的短程有序排列被破坏。 堆垛高度的多分散性kc, 提供了堆垛高度的均匀性信息。 由表4可见, 在500 ℃之前, kc逐步增大, 这种不均匀性的增加是由于在液相炭化阶段(<500 ℃), 随温度升高, 体系逐渐从各向同性向各向异性转变的缘故, 在400~500 ℃两相共存。 在600 ℃达到最大值(kc=0.99), 则归因于体系固化时由于中间相(小球)融并引入了大量的旋错。 800 ℃后, kc显著降低, 表明在较高的温度下, 堆垛高度分布更均匀。
估计微晶结构的另一个重要参数是堆垛石墨烯层的平均层间距a3。 当温度低于500 ℃时, 由于所有样品都还是沥青, 其a3基本相同, 约为3.50 Å 。 到500 ℃时, 样品已为半焦, a3明显下降, 从3.50 Å 降到3.44 Å , 与完全无定形碳的层间距相当。 随后, a3缓慢下降, 约1 000 ℃达到最小(a3=3.39 Å ), 此时焦炭成熟。 超过1 000 ℃, a3再略变大, 表明焦炭略有膨胀现象。 层间距的标准偏差σ 3, 提供了石墨烯层间距的分布信息。 由表4可见, 除了600 ℃时的σ 3较小外(σ 3=0.23), 其他温度时σ 3相差不大, 约为0.3左右。 然而, 由于这些值都偏小, 表明各温度下石墨烯层间距分布都较均匀。
参数η 用于描述微晶堆垛的均匀性, η 越接近1则表明微晶石墨烯堆垛越均匀。 由表4可见, 随温度升高, η 先略有下降, 500 ℃时达到最小值(η =0.63), 这归因于沥青转化为半焦过程中体系逐渐出现了中间相的缘故。 随后, η 显著增大, 在1 000 ℃时达0.95。 这种增大是由于在转化为焦炭过程中脂肪族和芳香族中C—H基团的消除所导致, 同时也表明温度越高, 堆垛越均匀。
参数q用于描述堆垛的择优取向, q越接近1石墨烯堆垛取向性越好。 由表4可见, 随温度升高, q有起伏, 但总体呈增大趋势。 然而, 由于所有温度下q都较小, 表明样品的炭微晶取向性不好, 明显处于无序堆积状态。
2.3.2 堆垛无序结构的变化情况
非石墨化碳的相干衍射除了来自石墨烯层间、 层内的衍射外, 还来自于其包含的无序碳、 氮、 氧等杂质的衍射。 因此, CarbX软件还提供了三个参数(cun, cN, cO)来描述堆垛的无序结构。 cun, cN, cO分别表示微晶中无序碳、 氮、 氧的含量。 由表4可见, cun很小, 在0.1%~0.35%范围, 且温度升高, 其有增大的趋势。
基于CarbX软件对样品XRD数据的全谱拟合, 较详细地研究了煤系针状焦原料SCTP在成焦过程中的微晶结构变化情况, 可以得出以下结论: 随温度升高, 在SCTP液相炭化成半焦阶段(<500 ℃), 微晶的横向发育较缓, 而纵向增长则非常明显, 500 ℃时其堆垛高度达31.1 Å 、 含有约9层石墨烯, 此时微晶的横纵比仅约为0.5, 这种暂时的增加归因于此阶段存在中间相转化。 而在半焦固相炭化成焦阶段(>500 ℃), 由于该阶段初期半焦的热解缩聚剧烈, 进而导致微晶的石墨烯层数减小明显, 而达800 ℃后才观察到微晶的横向发育明显, 超过1 000 ℃微晶又开始纵向增长。 在1 400 ℃时微晶的横纵比达2.77。 与经典的Bragg-Scherrer方法和分峰拟合方法相比, CarbX拟合方法能获得更多的炭微晶结构信息, 包括微晶堆垛石墨烯的层内结构、 层间结构以及无序结构等参数达20个, 有利于更深入了解样品的微观结构, 进而对炭化工艺条件做出调整, 制备出优质针状焦。
| [1] |
|
| [2] |
|
| [3] |
|
| [4] |
|
| [5] |
|
| [6] |
|
| [7] |
|
| [8] |
|
| [9] |
|
| [10] |
|
| [11] |
|
| [12] |
|
| [13] |
|
| [14] |
|









