作者简介: 程 璨, 1992年生,南京航空航天大学材料科学与技术学院核科学与技术系博士后 e-mail: cheng_can@nuaa.edu.cn
在合金材料的生产过程中, 不同金属元素的含量改变对产品的性能以及可靠性有重要的影响, 通过在线检测技术能够对产品中不同元素含量进行实时分析, 从而指导其工业生产过程, 提高产品质量。 目前常规的无损检测方法受限于分析深度, 无法对样品内部成分进行分析, 从而影响测量结果的准确性。 瞬发伽马中子活化分析(PGNAA)技术是一种高灵敏度、 多元素同时分析的无损检测技术, 可以对大块样品进行快速分析。 针对PGNAA技术在大体积金属样品检测的可行性进行研究, 通过测量快中子与样品发生非弹性散射反应激发的伽马射线对样品成分进行分析。 搭建了一套测量系统, 包括D-T中子发生器, 中子反射体, 中子准直体, 高纯锗(HPGe)探测器及探测器屏蔽防护。 首先, 对Fe, Ti, Cr, Ni和Cu等5种金属元素进行了分析研究。 对不同质量下的样品进行测量, 通过伽马能谱处理软件GAMMAFIT对HPGe探测器测量到的特征伽马峰进行拟合, 获得全能峰的净面积。 分析全能峰净面积与样品质量之间的响应, 对探测器的探测效率变化造成的非线性响应进行修正, 得到不同元素的校准曲线, 结果显示各元素修正后的校准曲线均具有良好的线型关系。 对不同元素的质量检测限进行分析, 不同金属元素的质量检测限分别为Fe(44 g), Ti(25 g), Cr(33 g), Ni(108 g)和Cu(72 g)。 利用测量系统对不锈钢合金样品中的Fe和Cr元素含量测量开展了研究, 通过测量标准样品建立了Fe和Cr元素的定标曲线, 并对未知样品进行了测量分析。 同时与X射线荧光光谱(XRF)测量结果进行了对比分析, 结果表明两种方法的Fe元素和Cr元素测量值偏差分别为4.08%和2.97%。 研究结果表明, 利用PGNAA技术可以对多种金属元素和合金样品进行测量分析, 为后续其他金属样品的检测奠定了研究基础。
In the productive process of alloy materials, the change of element contents can significantly affect the quality and reliability of the products. The on-line monitoring techniques can determine the element contents of metallic materials in real-time, which can then guide their manufactureing processes and improve their quality and reliability. The normal techniques have limited penetration depth in the sample and are not efficient for volume analysis, which will affect the analytical accuracy. Prompt gamma-ray neutron activation analysis (PGNAA) is a non-destructive, high sensitivity and multi-elemental determination technique and can be used for bulk sample analysis. This work studied the feasibility of determination for metallic materials by using PGNAA. The metallic samples were analyzed by measuring prompt gamma rays produced by inelastic scattering of fast neutrons. A PGNAA system consisting of a D-T neutron generator, neutron reflector, collimator, high-purity germanium (HPGe) detector, and shielding was built and used for analysis of metallic materials. Firstly, Fe, Ti, Cr, Ni and Cu samples with various masses were conducted with the designed system. The prompt gamma rays of the elements were fitted using GAMMAFIT software to obtain the net areas of prompt gamma rays, and the response between sample mass and net peak area was analyzed. The non-linear response caused by variation of detection efficiency was corrected to obtain a calibration curve. A good linear relationship could be observed after correction. The mass detection limit of these elements was calculated, and the values were Fe (44 g), Ti (25 g), Cr (33 g), Ni (108 g) and Cu (72 g), respectively. Secondly, the determination of Fe and Cr of stain steel samples was studied by using the system. The calibration curves of Fe and Cr were obtained with the standard samples. An unknown sample was then measured and analyzed. The results were compared with the X-ray fluorescence (XRF) measurement data. The experimental data showed that the relative deviations of Fe and Cr obtained with the two methods were 4.08% and -2.97%, respectively. The results demonstrated that the PGNAA technique could be applied for determining many metals and alloys, which provides a basis for other metallic samples analyses.
高性能合金材料在众多科研和工业领域都有着广泛的应用。 在合金的工业生产中, 由于制备工艺不够完善, 矿石原料品位不同等因素会导致产品中元素含量发生改变, 从而影响材料性能的均匀性和产品的可靠性[1]。 针对金属样品中元素含量的新型无损检测方法研究具有重要的意义。 中子由于呈电中性, 具有良好的穿透能力, 是探索材料元素成分的理想探针, 尤其适用于大体积样品的分析工作。 瞬发伽马中子活化分析(prompt gamma neutron activation analysis, PGNAA)技术, 利用中子轰击被测样品的靶核, 发生俘获和非弹性散射反应在极短的时间内发射出伽马射线, 通过识别伽马射线的能量并对其强度进行测量即可分析样品核素的种类和含量, 具有无损、 高灵敏度、 多元素同时分析等特点[2]。
相比于其他的测量技术, PGNAA技术可以对大体积样品进行快速无损检测, 该技术近年来被广泛应用于工业生产和安全检测等多个领域[3]。 对于金属样品的测量分析, Reddy等通过反应堆中子源, 对大体积的合金样品进行了一系列的研究工作, 并与其他技术进行了对比[4]。 Senesi等利用脉冲中子加速器, 通过将PGNAA与时间飞行法(time of flight, TOF)相结合对青铜样品进行测量分析, 从而实现热中子激发与超热中子激发的伽马能谱分离, 进而提高了测量信号的信噪比, 降低了Cu元素的检测限[5]。 该技术还被应用于古文物中金属元素的分析[6]。
目前研究主要是利用大型中子源设备提供的冷/热中子, 通过俘获反应对样品进行分析, 限制了该技术的应用。 随着小型中子发生器的研发进展, 利用中子发生器, 基于非弹性散射反应的PGNAA技术得到不断发展。 目前常见的小型中子发生器主要为氘-氘(D-D)和氘-氚(D-T)中子发生器, 其可以产生平均能量为2.5和14 MeV的快中子。 同时快中子可以在样品中穿透更深的距离, 有利于对大体积样品的分析[7]。 本研究利用D-T中子发生器, 探索基于非弹性散射反应对金属样品的分析效果, 为基于快中子PGNAA技术在金属样品的分析提供依据。
测量系统的俯视图与侧视图分别如图1(a, b)所示, 包括D-T中子发生器, 中子反射体, 中子准直体, 高纯锗(high-purity germanium, HPGe)探测器及其屏蔽防护。 D-T中子发生器发射的中子是各向同性的, 为了提高中子的利用率, 在中子发生器的后方增加反射体用来反射后方的中子。 同时为提高伽马能谱中感兴趣区域内的信噪比, 需要对中子进行准直从而使得中子束集中于样品处, 减小中子与周围材料反应产生大量的本底伽马射线。 由于石墨具有合适的中子弹性散射截面, 产生的伽马射线较为单一等优点, 此装置的整体结构采用石墨搭建。 前期研究工作表明, 系统最佳的高度和宽度均为40 cm, 反射体最佳厚度为25 cm, 准直单元长度设置为25 cm[8, 9]。 样品中心与探测器表面距离为5 cm。
| 图1 PGNAA测量系统的结构示意图 (a): 俯视图; (b): 侧视图Fig.1 Schematic diagram of the designed PGNAA system (a): Top view; (b): Side view |
D-T中子发生器为东北师范大学研发, 其利用氘束轰击TiT靶核产生14 MeV快中子[10]。 外壳材料为不锈钢, 内部填充硅油进行绝缘和散热。 中子发生器的长度为75 cm, 直径为8 cm。 加速器电压和束流范围分别为60~120 kV和30~50 μA, 中子产额范围为106~108 n· s-1。 所使用的探测器为美国ORTEC公司的便携式电制冷HPGe探测器(型号: trans-SPEC-N), 其相对探测效率为50%, 能量分辨率在1 332 keV处为2.12 keV。 其通过与多道分析器(DSPEC-50-KT)连接对伽马能谱进行采集分析。 HPGe探测器与中子束方向垂直, 通过含硼量5%的含硼聚乙烯及铅块进行防护, 其中含硼聚乙烯厚度为4 cm, 铅块厚度为6 cm。 不同单元的详细尺寸参数在图1中标出。 实验过程中, D-T中子发生器的产额大约为2×106n· s-1, 每个样品测量时间为300 s。
首先利用PGNAA测量系统对纯金属样品进行分析, 分别对Fe, Ti, Cr, Ni和Cu共5种金属元素进行了测量, 不同样品的尺寸、 质量和所选取的待分析特征伽马射线在表1中列出。 之后对不锈钢样品中的Fe和Cr含量进行测量分析, 选取了三种标准不锈钢样品用于定标曲线的建立, 其参数如表2所示。
| 表1 Fe, Ti, Cr, Ni和Cu样品参数及特征伽马射线能量 Table 1 Parameters and energies of prompt gamma-rays of Fe, Ti, Cr, Ni and Cu |
| 表2 不锈钢标准样品参数 Table 2 Parameters of stainless steel standard samples |
首先对本底伽马能谱进行了测量分析, 结果如图2(a—c)所示。 本底射线大部分来自于热中子和快中子激发产生的瞬发伽马射线, 部分来自于缓发伽马射线和天然本底。 其中Ge, Al和In元素特征峰主要来自于HPGe探测器晶体和结构材料; Fe和Cr元素主要来自于D-T中子发生器的结构材料; B, Pb和H元素特征峰来自于屏蔽体材料; Si和Ca元素特征峰来自于地面和墙壁结构材料。
| 图2 测量系统本底伽马能谱 (a): 450~1 000 keV; (b): 1 000~2 000 keV; (c): 2 000~4 500 keVFig.2 The background spectrum of system (a): 450~1 000 keV; (b): 1 000~2 000 keV; (c): 2 000~4 500 keV |
之后对纯金属样品分别进行测量, 以每种元素的样品#4测量结果为例, 利用伽马拟合(GAMMAFIT)软件对不同元素的特征峰进行拟合[11], 结果如图3(a—j)所示。 从图中可以看出, 每种元素的特征峰强度均随着样品质量增加而增加。 其中, Fe元素的特征峰(846.7 keV)位于Ge的特征峰(839.5 keV)上, 并与Al元素的特征峰(843.7 keV)发生重叠干扰。 Ti元素特征峰(983.5 keV)与Pb元素特征峰(981.7和987.8 keV)发生重叠干扰。 同时, Ni元素与天然本底K-40的特征峰有部分重叠。
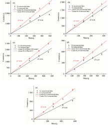
对不同样品的特征峰进行拟合得到其净面积, 并对校准曲线进行刻度, 结果如图4所示(黑色)。 由于HPGe探测器的探测效率随样品体积改变而变化, 校准曲线呈非线性变化。 本研究利用蒙特卡罗模拟程序MCNP对探测器的探测效率进行计算, 样品设置为体源并利用F8计数卡对表1中所列的伽马射线的探测效率进行模拟计算, 探测器对不同样品的探测效率如表3所示。 对于第x(x=1, 2, 3, 4)个样品, 其修正后的特征峰的净面积Axc计算如式(1)
式(1)中, Ax为第x个样品的特征峰的净面积, ε #1表示样品#1的探测效率, ε #x表示第x个样品的探测效率。
| 图4 不同金属样品校准曲线 (a): Fe元素; (b): Ti元素; (c): Cr元素; (d): Ni元素; (e): Cu元素Fig.4 The calibration curve of metal samples (a): Fe; (b): Ti; (c): Cr; (d): Ni; (e): Cu |
| 表3 HPGe探测器对不同样品探测效率 Table 3 Detection efficiencies of HPGe detector for different samples |
根据表3和式(1)对特征峰的净面积进行修正, 得到每种元素的校准曲线, 结果分别如图4(a—e)所示(红色)。 从图中可以看出, 经过修正后的校准曲线线性关系得到很大提高。 不同元素的分析灵敏度即修正后校准曲线的斜率为Fe(6.19 g-1), Ti(6.39g-1), Cr(4.24 g-1), Ni(1.0 g-1)和Cu(2.30 g-1)。
在基于PGNAA技术的金属元素分析方法中, 质量检测(mass detection limit, MDL)是一个重要的参数, 其计算公式如式(2)[12]
式(2)中, s(g-1)为灵敏度; k为置信度因子(对于95%置信区间, k=1.645); B为特征峰区域内本底面积。
根据式(2)对不同金属元素的MDL进行计算, 结果如表4所示。 从式(2)中可以看出, 若要在相同的测量时间内降低测量结果的检测限, 需要提高测量系统的灵敏度; 并且对探测器的屏蔽防护进一步优化, 减少入射到探测器内部的中子和本底伽马射线。
| 表4 不同金属元素质量检测限 Table 4 The MDL of different metal samples |
利用测量系统对不锈钢样品进行测量分析, 对表2中标准样品中的Fe和Cr元素进行测量并获取特征峰净面积得到二者的校准曲线。 对一个未知样品中的Fe和Cr元素含量进行测量, 通过校准曲线得到未知样品中Fe和Cr元素的含量, 结果如表5所示。
| 表5 未知不锈钢样品测量结果 Table 5 Determination results of unknown stainless steel sample |
为验证PGNAA测量结果的准确性, 利用XRF技术对样品进行了测量分析。 使用的EDXRF光谱仪为美国Amptek公司的便携式EDXRF光谱仪套件, 通过银靶Mini-X射线管激发产生源项X射线, 其最大功率为4 W, 最大电压50 kV, 最大电流200 μA。 利用FAST-SDD硅漂移探测器对样品产生的X射线进行测量, 其具有17 mm2有效探测面积, 12.5 μm厚的Be窗窗口, 能量分辨率在5.9 keV时为130 eV。 样品位于一个铝制的测量腔室[13]。 X射线管配备一个直径为2 mm的圆柱形准直器, 出射锥角约为5° , 准直器出口到样品的距离为16 mm, 样品表面的束斑直径约为3.65 mm。 测量时工作电压为20 kV, 电流为30 μA, 测量时间为120 s, 采用Amptek DPP(FW6)软件对EDXRF测量的光谱进行分析。
同样利用标准样品进行校准曲线的刻度, 对标准样品的上下表面及中间部分的Fe元素和Cr元素含量进行测量, 并取平均值获取校准曲线。 在此基础上, 分别对未知样品同样位置的Fe元素和Cr元素含量进行了测量分析并取平均值进行计算, 结果在表5中列出。 从表5可以看出, PGNAA测量结果与XRF测量结果吻合, 偏差在5%之内。
探索了基于快中子非弹性散射反应的大块金属样品检测的可行性, 利用D-T中子发生器和HPGe探测器, 以石墨为结构材料搭建了一套测量系统。 利用该系统对Fe, Ti, Cr, Ni和Cu等多种金属元素进行了测量研究。 结果表明上述几种元素的校准曲线呈现良好的线性关系, 质量检测限分别为44, 25, 33, 108和72 g。 对不锈钢合金样品中的Fe和Cr元素含量进行了测量分析, 并与XRF测量结果进行了对比, 两者测量结果吻合。 后续将利用测量系统对其他合金样品的检测能力进行测量分析。
在本工作中采用的是HPGe探测器, 其能量分辨率高但探测效率低, 主要用于实验室样品测量分析, 可以通过增加测量时间得到较为理想的分析结果。 在后续的研究中将对HPGe探测系统的屏蔽防护进行优化设计, 降低本底干扰从而提高测量结果的信噪比, 进一步降低检测限。 当用于物料的实时在线分析时, 需要提高系统的探测效率, 可以采用大尺寸的闪烁体探测器如NaI, BGO和LaBr3探测器等, 同时可以结合全谱分析技术提高信息的利用, 从而提高测量结果的统计性, 实现较短时间内分析得到结果。
| [1] |
|
| [2] |
|
| [3] |
|
| [4] |
|
| [5] |
|
| [6] |
|
| [7] |
|
| [8] |
|
| [9] |
|
| [10] |
|
| [11] |
|
| [12] |
|
| [13] |
|

