作者简介: 田 雪, 1995年生,云南师范大学物理与电子信息学院硕士生 e-mail: 1181515864@qq.com
不同品种及产地的小米在口感及营养价值上存在显著差异, 因此区分不同种小米对消费者具有参考意义。 将傅里叶变换红外光谱(FTIR)、 二维相关红外光谱(2D-IR)与曲线拟合、 主成分分析(PCA)相结合, 鉴别小米的品种及产地。 结果显示: 小米主要由碳水化合物、 蛋白质和脂质组成, 因此, 其FTIR特征相似; 二阶导数光谱(SD-IR)在3 012, 2 962, 2 928, 2 856, 1 748和1 548 cm-1附近的吸收峰强度存在明显差异; 2D-IR在1 200~860和1 700~1 180 cm-1范围内, 小米样品的自动峰和交叉峰数目、 位置和强度差异明显; 曲线拟合结果显示小米在1 700~1 600 cm-1范围内子峰面积比例不同, 说明不同品种间小米的蛋白质含量不同, 可以实现小米品种的鉴别分类; 选取1 800~800 cm-1范围内的导数光谱进行主成分分析, 前3个主成分累积贡献率为97%, 不同产地的小米都得到正确归类。 研究表明, 红外光谱结合统计分析方法, 是鉴别小米品种及产地的有效方法。
There are significant differences in taste and nutritional value among different varieties and producing areas of millet. Therefore, it is of reference significance for consumers to distinguish different kinds of millet. In this paper, Fourier transforms infrared (FT-IR) spectroscopy, two-dimensional correlation infrared (2D-IR) spectroscopy combined with curve fitting, principal component analysis (PCA) was used to distinguish varieties and origins of millet. The results showed that the original spectra of millet were similar, which were mainly composed of carbohydrates, proteins and lipids. The obvious differences in intensity were observed near 3 012, 2 962, 2 928, 2 856, 1 748 and 1 548 cm-1 in SD-IR. The numbers, positions and intensities of auto-peaks and cross-peaks were different in the range of 1200~860 and 1700~1180 cm-1. The curve fitting results showed that the ratio of the sub-peak areas of millet in the range of 1 700~1 600 cm-1 was different, which indicated that the protein content of millet was different among different varieties, to realize the identification of millet varieties. The range of 1 800~800 cm-1 in the derivative spectra was used for PCA analysis. The results showed that the cumulative contribution rate of the first three principal components was 97%, and millet from different producing areas was correctly classified. The study demonstrates that IR combined with statistical analysis methods could be effectively used to identify and analyze varieties and producing areas of millet.
小米, 又称为粟, 是世界上最古老的农作物之一, 源于中国黄河流域, 主要分布在华北, 东北、 西北等地区[1]。 小米营养丰富, 含有多种维生素、 蛋白质、 脂肪、 糖类, 以及钙、 铁等人体所必需的微量元素, 具有健胃消食安神、 滋阴养血和催乳补身的功效, 被视为产妇、 婴儿及老人的滋补佳品[2]。 我国小米产出丰富, 不同品种和不同产地的小米, 虽然外观无明显差别, 但口感及营养价值存在差异。 例如, 李星等[1]研究发现不同品种小米的蛋白和淀粉含量存在显著差异, 同一产区(山西)不同品种小米营养成分也存在差异; 梁克红等[3]研究结果表明地域因素对小米营养品质的影响作用更大, 主要对小米中的蛋白质、 脂肪和膳食纤维含量产生影响, 而品种因素主要对蛋白质和脂肪含量产生影响; 冯耐红等[4]研究结果表明山西产的不同品种小米的营养成分(水分、 蛋白、 脂肪、 碳水化合物等)含量存在差异, 并对氨基酸组分进行分析, 得出其营养价值的高低变化情况。 可见不同品种、 不同产地生长环境可以造成小米品质的差异。 因此, 对不同品种及产地小米的鉴别对消费者有重要的参考意义。
目前, 常用的分析方法, 有感官方法、 高效液相色谱法(HPLC)[5]、 紫外-可见光谱法[6]、 荧光光谱法[7]等; 感官方法存在主观性, 其余方法则存在破坏性, 且操作繁琐、 成本高、 耗时长。 因此, 需要建立一种可靠、 准确、 快速的小米品种及产地的鉴别方法。
傅里叶变换红外光谱(FTIR)具有用样少、 制样快速、 操作简单等优点, 已应用于天然产物的鉴别研究[8, 9, 10]。 但采用红外光谱技术分析鉴别不同品种、 不同产地小米的报道较少。 由于各产地种植的小米品种众多, 很难寻求品种的统一性, 我们由此选择各地区最为广泛种植且具有当地特异性的品种进行分析。 利用FTIR、 二维相关红外光谱(2D-IR)结合曲线拟合和主成分分析(PCA), 对山东济南市的三种代表性小米进行品种鉴别及九个不同产区的代表性小米进行产地分类, 以期发展为区分不同品种不同产地小米的快速方法。
美国Perkin Elmer公司产的Frontier型傅里叶变换红外光谱仪, 配备DTGS探测器, 压片模具为天津诺雷信达科技有限公司的YP-2型压片机。 动态光谱使用的温度控制仪型号为Eurotherm公司的SYD-TC-01型温控仪。
样品品种及产地信息见表1, 其中a—c分别表示山东济南市的三个品种济谷25号、 济谷1165号和金粟4号, d—k分别表示小米主要产区的代表性品种: 河北怀安的大白谷、 河北蔚县的8311号、 山西沁县的沁黄2号、 山西吕梁的汾州香、 山西太原的富硒黄、 陕西榆林的米脂小米、 陕西延安的软黄米和辽宁朝阳的大金苗, 所有小米样品均于2020年收获。
| 表1 实验用小米品种及产地信息 Table 1 Variety and origin informations of millet samples |
将小米置于室温下干燥处理, 去除外壳破损、 颜色暗沉的小米。 之后, 利用玛瑙研钵将其研磨成粉备用。
利用溴化钾(KBr)压片法进行红外光谱检测, 样品与KBr比约为1:15。 红外光谱仪参数设置: 分辨率为4 cm-1, 波数范围为4 000~400 cm-1, 扫描次数为16次; 动态光谱测温范围为50~120 ℃, 每隔1 min升温2 ℃, 每隔10 ℃测试一次动态红外光谱。
采用OMNIC 8.2软件对实验所得原始光谱数据进行基线校正、 5点平滑、 平均谱图、 纵坐标归一化和导数谱图等预处理; 运用Origin 9软件对光谱数据处理、 绘图, 以及利用其Peak Analyzer功能进行曲线拟合分析; 利用 Spectrum 10.03软件对动态光谱数据进行基线修正处理, 采用清华大学分析中心编制的TD 4.2软件对动态光谱进行二维相关红外光谱处理分析; 采用The Unscrambler X 10.4软件, 以导数光谱数据进行主成分分析。
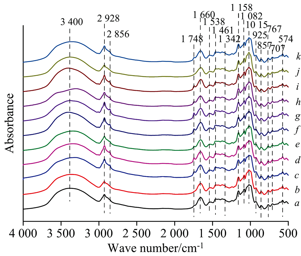
表2列出了光谱的主要吸收峰及归属, 可见样品主要由蛋白质、 碳水化合物和脂质组成。 图1为小米样品的原始红外光谱。 可以看出, 11种小米的红外光谱整体相似, 但是有些峰的相对强度不同, 在2 856 cm-1(亚甲基CH2对称伸缩振动[11, 12]附近, f和g的吸收强度较明显, b和j的较不明显; 1 748 cm-1(饱和脂肪酸脂C=O伸缩振动[12])附近c, d, f, g和i的吸收强度较明显, a, b和j的较不明显; 1 660 cm-1(淀粉的O—H弯曲振动和蛋白质酰胺Ⅰ 带伸缩振动[13])附近, c, f和i的吸收峰强度与其他样品相比较强; 1 015 cm-1(C—O键的伸缩振动和C—OH弯曲振动[11])附近j的吸收峰强度与其他样品相比较强。 由以上分析可知, 不同种小米的脂肪、 蛋白质和多糖含量存在差异, 利用这些差异可以把不同品种及不同产地的小米进行部分区分。
| 表2 小米的主要特征峰及归属 Table 2 The main peaks positions and assignments of millet |
二阶导数光谱能够显示更多的信息。 图2为小米样品的二阶导数光谱。 从图中可以看出不同样品的光谱在峰数、 峰位和峰强上存在一定的差异。 在3 012 cm-1(不饱和碳的C—H的反对称伸缩振动[14])、 2 962 cm-1(—CH3的反对称伸缩振动[14])附近, g和f出现了近似等强度的吸收峰, 与其他样品相比明显较强, a和j的吸收峰较不明显, 而b没有出现这个吸收峰; 2 928和2 856 cm-1附近峰强有明显差异, g的吸收峰强度与其他样品相比较强, b较弱; 1 748 cm-1附近g的吸收峰强度与其他样品相比较强, b的吸收峰不明显, j没有出现这个吸收峰; 1 548 cm-1(蛋白质酰胺Ⅱ 带)附近a, c, d和g吸收峰与其他样品相比明显较强。 基于以上分析, 这些峰强度的差异可能与不同种小米的蛋白质和脂质的含量不同有关, 可以用于对小部品种及产地进行部分区分。
二维相关红外光谱能获取微弱和重叠的特征光谱信息。 图中等高线所形成的红色相关峰为正相关峰, 等高线所形成的蓝色相关峰为负相关峰。 根据二维相关红外光谱理论, 同步相关红外光谱是关于主对角线对称, 位于对角线上的峰是动态光谱信号自身相关得到, 称为自动峰, 总是正峰, 代表化学基团对温度微扰的敏感程度, 自动峰越强, 说明对温度的热微扰越敏感。 处于非对角线上的峰为交叉峰, 有正负之分, 如果2个不同的官能团在温度变化中振动方向一致(信号相差为0), 出现一组正交叉峰; 若2个不同的官能团在温度变化中振动方向相反(信号相差为π ), 出现一组负交叉峰[11]。 从二维相关光谱图中可以看出, 在1 200~860 cm-1(图3)、 1 700~1 180 cm-1(图4)范围内自动峰和交叉峰的数目、 强度和位置都有明显的差异。
图3为11种小米在1 200~860 cm-1范围内的二维相关红外光谱, 其自动峰的情况如表3所示。 b和h的自动峰数目最多, 均为10个, 但b的自动峰强度相比h更强, 峰位也存在差异; 其中, b出现9个负交叉峰, 1 010 cm-1与其他自动峰均形成负交叉峰, 其余交叉峰为正, h有21个负交叉峰, 1 000, 1 020和1 050 cm-1分别与其他自动峰形成负交叉峰, 其余交叉峰为正。 k出现9个清晰的自动峰, 所有交叉峰均为正交叉峰。 c, e和j出现8个强自动峰, 但是弱自动峰和次强峰的位置不同; c在(1 010, 1 040 cm-1)处的交叉峰为负, 其余交叉峰为正, e有7个负交叉峰, 1 000 cm-1与其他自动峰均形成负交叉峰, j的交叉峰均为正交叉峰。 a, d, g和i出现7个强自动峰, 但是最强自动峰、 弱自动峰和次强峰的位置存在差异; 其中a和i的交叉峰均为正交叉峰, 但是正交叉峰的位置和强度存在显著差异, d和g均出现了1 000 cm-1与其他自动峰形成的6个负交叉峰, g交叉峰的强度明显强于d。 f只出现6个自动峰, 所有交叉峰均为正交叉峰。 表3总结了不同品种样品光谱的自动峰数目、 位置和强度差异。 结果表明, 不同地域及品种因素可能影响小米中淀粉和多糖结构或含量的变化。
| 表3 不同小米的二维相关红外光谱在1 200~860 cm-1 的自动峰 Table 3 The automatic peaks of 2D-IR spectra of different millets at 1 200~860 cm-1 |
图4为小米在1 700~1 180 cm-1范围的二维相关红外光谱, 这个范围为蛋白质、 碳水化合物和脂质振动区[11], 其自动峰的情况见表4。 k出现10个清晰的自动峰, 9个1 640 cm-1与其他自动峰形成的负交叉峰, 其余交叉峰均为正, 数目最多。 i和j均有7个自动峰, 其中, j的自动峰强度较强, 有6个负交叉峰, i有5个负交叉峰, 其余交叉峰为正。 e和h自动峰数目均为6, 但是e的自动峰强度明显强于h, 次强峰的位置不同, e出现5个负交叉峰, h出现4个负交叉峰, 其余交叉峰为正。 a, b, c, d, f和g均出现了5个强自动峰, 4个负交叉峰, 其余交叉峰为正, 但是a的负交叉峰是1 650 cm-1与其他自动峰形成的, c在(1 230, 1 640 cm-1)处的负交叉峰是a, b, d, f和g样品没有出现的, 其他4个样品的自动峰和交叉峰的位置和强度存在差异。 11种小米样品自动峰和交叉峰的位置、 强度和数目的不同, 说明这些差异可能与小米间蛋白质、 脂质和多糖结构含量的不同有关, 这与梁克红等[3]认为品种及地域因素主要影响小米中蛋白质和脂肪含量变化的观点一致。
| 表4 不同小米的二维相关红外光谱在1 700~1 180 cm-1的自动峰 Table 4 The automatic peaks of 2D-IR spectra of different millets at 1 700~1 180 cm-1 |
由以上分析结果表明, 11种不同小米的二维相关光谱在1 200~860 cm-1范围的自动峰和交叉峰位置、 数目和强度都有明显不同, 说明不同地域及品种小米间所含的碳水化合物含量存在较大的差异; 在1 700~1 180 cm-1范围的强自动峰的位置整体相近, 但是交叉峰的数目和强度、 弱自动峰的位置和最强自动峰的强度存在差异, 这些差异说明样品中的蛋白质、 脂质和多糖含量或结构存在不同, 因此利用这些差异能够实现对不同品种及产地小米的有效鉴别。
曲线拟合基于Lorentzian-Gaussian函数对特定波数范围的FTIR光谱进行叠加峰分离拟合的分析方法, 能简单、 快速地分离出光谱中重叠的子峰, 并获得子峰的面积比例, 从而初步估算出子峰的化学成分的相对含量。 当拟合结果的相关系数R2值大于0.999时, 则结果有效可信[15]。
选取山东省3个常见品种在1 700~1 600 cm-1范围的原始红外光谱进行曲线拟合分析, 子峰的峰位和面积比例如表5所示。 分析可得, 3种小米都拟合出了9个子峰, 吸收频率的位置基本没有多大差别, 但各个子峰的峰面积和峰面积的百分比存在明显差别。 a峰面积百分比最大的出现在子峰5: 1 661 cm-1; b峰面积百分比最大的出现在子峰4: 1 645 cm-1; c峰面积百分比最大的出现在子峰4: 1 656 cm-1。 其中, 在1 640, 1 648, 1 661和1 673 cm-1处子峰有明显的差别。 在1 640 cm-1附近, c的峰面积百分比最高(16.62%), b峰面积百分比最低(0.15%); 1 648 cm-1附近, b峰面积百分比最高(29.75%), a峰面积百分比最低(14.51%); 1 661 cm-1附近, a峰面积百分比最高(30.28%), c的峰面积百分比最低(18.57%); 1 673 cm-1附近, b峰面积百分比最高(16.10%), c的峰面积百分比最低(8.95%), 结果说明不同品种小米间蛋白质含量不同。 因此利用曲线拟合分析能够有效地对小米品种进行分类。
| 表5 三种小米在1 700~1 600 cm-1范围的特征峰峰面积百分比 Table 5 Percentage of peak area of three kinds of millet in the range of 1 700~1 600 cm-1 |
主成分分析(PCA)是通过线性变换从多个变量中选出较少个数重要变量的一种多元统计分析方法。 特征向量也称为主成分, 每个主成分对应于数据矩阵的每一个方差源。 第一主成分拟合数据中的最大方差, 其他主成分以此类推[16]。 选取9个不同产地小米样品1 800~800 cm-1范围的导致光谱进行主成分分析, 得到主成分得分图与主要成分(PC-1)载荷图, 如图6所示。 PC-1占总方差贡献率为78%, PC-2占总方差贡献率为17%, PC-3占总方差贡献率为2%, 3个主成分累积贡献率达到了97%。 图6(a)为三维得分图, 9个产地的小米分别聚合在9个不同的区域, 并且它们分别各自聚在一起。 河北蔚县的小米样品对于其他的样品而言, 较为分散; 山西沁县和山西吕梁的小米样品距离较近, 说明其化学成分及含量较近; 陕西和河北的小米样品有较好的聚类效果。 结果表明, 利用PCA能够对9个不同产地的小米进行准确分类。 同时, 通过图6(b) PC-1的载荷图, 发现在1 748, 1 666, 1 465, 1 178和975 cm-1附近出现较强的吸收峰, 对应饱和脂肪酸、 蛋白质和多糖的伸缩振动吸收峰。 由此推断小米中脂肪、 蛋白质和多糖含量的差异是主成分判别的主要依据, 在PC-1的产地分类中承担主要贡献。
将FTIR、 二阶导数光谱(SD-IR)、 2D-IR和统计分析方法相结合, 对不同品种小米样品进行鉴别研究。 结果显示, FTIR吸收峰主要由蛋白质、 脂质和碳水化合物的吸收峰组成, 光谱总体基本相似。 SD-IR在3 100~1 700 cm-1范围内, 不同样品的光谱在峰数、 峰位和峰强上存在一定的差异。 2D-IR在1 200~860 cm-1范围内, 所有样品自动峰和交叉峰的位置、 数目和强度都存在明显差异; 在1 700~1 180 cm-1范围内主要体现出自动峰和交叉峰的强度、 数目和弱自动峰的位置不同。 曲线拟合选取1 700~1 600 cm-1(蛋白质的酰胺Ⅰ 区)范围内进行分析, 以其子峰面积比例及蛋白质二级结构成分的变化能够区分山东省3种不同品种的小米, 蛋白质的差异可能与品种内在的基因有关。 利用PCA可以达到9个不同产地小米的独立聚类, 且发现PCA主要依据脂肪、 蛋白质和糖类的差异实现小米产地的分类鉴别, 而导致这些差异的原因有很多, 包括气温、 水分、 光照、 海拔、 经纬和土壤等, 其中适宜的温度能促进谷子中蛋白质的合成, 并且与土壤中矿质元素含量关系密切; 脂肪和多糖含量均与温度、 降水量和日照时数密切相关。 结果表明, 将 FTIR与统计分析方法相结合, 能够有效、 快速的区分不同品种和产地的小米, 以期为小米的开发利用和深入研究提供参考。
| [1] |
|
| [2] |
|
| [3] |
|
| [4] |
|
| [5] |
|
| [6] |
|
| [7] |
|
| [8] |
|
| [9] |
|
| [10] |
|
| [11] |
|
| [12] |
|
| [13] |
|
| [14] |
|
| [15] |
|
| [16] |
|

