作者简介: 韩刘杨, 1991年生, 北京科技大学科技史与文化遗产研究院讲师 e-mail: hanliuyang@ustb.edu.cn
随着社会对木质文物重视程度的提高和现代考古技术的进步, 饱水木质文物得到不断发掘和保护。 饱水木质文物木材的细胞形态和化学结构普遍发生非均匀降解或变化, 成为了不同于健康木材的“新材料”。 PEG法和糖法作为国际通用的脱水加固方法可避免饱水木质文物干燥过程中收缩变形。 本研究选用“小白礁Ⅰ号”沉船主要用材树种柚木( Tectona sp.)为试验对象, 分别使用PEG、 三氯蔗糖和海藻糖加固, 并在开发的适用于脆弱木质文物的非包埋式纳米压痕样品制备方法的基础上, 通过纳米压痕力学技术(NI)评估了三种饱水木质文物常用加固处理方法对考古木材微力学性能的影响; 同时, 结合红外光谱法(FTIR)和热重分析(TGA)方法, 进一步揭示了加固剂种类影响考古木材微力学性能的原因。 研究结果表明: 使用非包埋法制备的纳米压痕样品, 可准确获取加固处理后考古木材细胞壁的纵向弹性模量和硬度; PEG法、 三氯蔗糖法和海藻糖法均可显著提高考古木材木纤维细胞壁的纵向弹性模量和硬度, 三种方法加固处理后的木材的弹性模量比未处理样品分别增加了6.9%, 25.4%和29.1%, 硬度比未处理样品分别增加了9.3%, 25.9%和13.6%。 红外光谱试验结果表明PEG、 三氯蔗糖和海藻糖均进入了考古木材细胞腔等内部组织结构, 热重分析结果证实部分加固剂进入了木材细胞壁, 是细胞壁强度提高的主要原因。 总之, 三氯蔗糖和海藻糖较适用于饱水考古木材的脱水加固, 加固效果优于PEG, 其中三氯蔗糖的加固效果最佳。 研究结果为饱水木质文物加固性能的准确评估提供了方法参考, 为沉船等饱水木质文物的加固与保护提供了科学依据。
Waterlogged wooden cultural relics have been constantly excavated and preserved, driven by increasing public interest and upgrading archaeological technologies. Wood cells' morphology and chemical structure from waterlogged wooden relics normally undergo non-uniform degradation or changes, presenting a different “new material” from sound woods. PEG and sugars have been widely applied for consolidation. This study selected teak ( Tectona sp.), the main timber species of the “Xiaobaijiao Ⅰ” shipwreck, as the research object. Based on the developed sample preparation method of nonembedded nanoindentation suitable for wooden cultural relics. The PEG, sucralose and trehalose treated samples were evaluated by Nanoindentation technology (NI) and studied by infrared spectroscopy (FTIR) and thermogravimetric analysis (TGA). The results showed that samples prepared by the nonembedded method could accurately measure the longitudinal elastic modulus and hardness of wood cell wall, and the PEG, sucralose and trehalose were able to significantly improve the elastic modulus of fiber cell wall respectively, by 6.9%, 25.4% and 29.1% compared to untreated samples, and increase its hardness by 9.3%, 25.9% and 13.6%. Infrared spectroscopy showed that PEG, sucralose and trehalose penetrated the wood, and thermogravimetric analysis confirmed that partial consolidants could enter the wood cell wall, which was the main reason for the improvement of cell wall strength. In general, sucralose and trehalose were more suitable than PEG for consolidating the waterlogged archaeological wood, with sucralose being the most effective consolidant in this research. This research provided a proven method for the accurate performance evaluation of consolidates for waterlogged wooden cultural relics such as shipwrecks and could provide a scientific basis for their consolidation and conservation.
木材属于天然高分子可再生材料, 因材性优、 易获取和易加工等优点, 广泛应用于人类活动的各历史时期。 饱水木质文物的木材细胞形态和化学结构在长期水埋期间受生物危害及自然降解等作用, 发生非均匀降解或改变, 出现多孔细胞残余结构等显著构造变化和物理力学等性能的劣变[1], 已成为不同于健康木材的“ 新材料” 。 饱水木质文物自然失水干燥时, 往往出现严重、 不可逆的收缩, 大大影响文化信息提取与文物资源传承。 鉴于此, 研究者大多采用加固剂填充加固细胞壁后脱水, 以防止木材变形, 最终实现馆藏陈列与保存。
饱水考古木材的脱水加固处理最好满足三个要求: 首先, 在保证木材不收缩或变形的前提下, 将木材中多余水分除去; 其次, 将其他物质填充到木材中替换水分, 使木材拥有持久力学强度; 最后, 加固方法应具可逆性。 符合以上要求的聚乙二醇(PEG)是饱水木质文物的常用加固剂, 但在长期使用过程中出现使木材材性下降及变色等情况。 因此, 亟需寻找更稳定的替代加固剂。 此外, 油脂脱水、 挥发性溶剂置换、 可聚合试剂、 糖类等加固方法也逐步用于不同树种、 不同腐朽程度的饱水木质文物的保护研究[2]。 本研究选用的PEG和两种糖类均可溶于水, 满足可逆性要求。 PEG和糖类对木材尺寸稳定性的研究表明, 这两类加固剂均可在脱水过程中有效保持木材的固有形状[3]。 许多学者认为PEG稳定性差, 长期使用中PEG可能会分解产生对木材性能有消极影响的副产物, 可能导致饱水考古木材力学性能降低甚至变形。 但糖类加固剂中的三氯蔗糖和海藻糖具有良好的稳定性, 不易被氧化。 有学者使用非还原糖在试验室模拟饱水考古木材进行加固试验, 结果显示非还原糖可改善模拟饱水木材的尺寸稳定性并提升其抗弯性能[4]。
饱水木质文物除具有天然木材的多级构造特性和尺寸效应外, 还具备降解的不均匀性和样品的稀缺性, 这增大了木材宏观力学的研究难度。 木材细胞壁微力学研究木材最基本的组成单元, 是研究其宏观力学特性本质性起源的最佳途径, 因此可作为研究饱水考古木材力学性能的一种有效途径。 近年来, 纳米压痕测试系统广泛应用于正常木材以及非亲水性改性剂改性后的木材表征方面, 但加固后的饱水考古木材往往达不到纳米压痕常规制样过程中的包埋要求。 由于饱水考古木材要求加固处理方法具有可逆性, 因此大多数可实施加固剂均为亲水性加固剂, 但是纳米压痕常规制样沿用超薄切片制备技术, 切片过程中的水会溶解亲水性加固剂。 此外, 饱水考古木材的不均匀降解导致的渗透不均匀性, 会使制样过程中使用的包埋剂无法被均匀吸收, 最终影响测试结果。 而且, 包埋剂作为一种热塑性材料, 对木材力学性能也有一定提升效果[5], 将妨碍加固剂对考古木材力学效果的评估。 因此目前未见加固处理后的饱水考古木材细胞壁力学相关报道。
“ 小白礁Ⅰ 号” 清代沉船是一艘具有较高文物价值的商贸运输船, 可为清代中晚期中外贸易史、 海外交通史、 欧洲框架造船法等提供重要史料, 具有较高的科学保护与历史文化意义。 本研究针对“ 小白礁Ⅰ 号” 沉船的主要用材柚木(Tectona sp.), 为评估不同脱水加固处理对其微力学性能的影响, 并揭示微力学性能改善的原因, 选用了经PEG、 三氯蔗糖和海藻糖加固的考古木材, 使用纳米压痕测试技术(NI)评估了不同加固剂对考古木材微力学性能的提升效果, 结合傅里叶红外光谱法(FTIR)和热重分析(TGA)系统研究了加固剂对考古木材微力学性能的影响, 从而为沉船等饱水木质文物的保护提供参考依据。
柚木因其强度适中、 耐腐性好、 稳定性优良和外貌美观等特点而广泛用于船舶制造。 选取“ 小白礁Ⅰ 号” 沉船上经鉴定和检测为中度降解的柚木样品(Tectona sp.)为试验材料, 尺寸约为40 mm(径向)× 40 mm(弦向)× 15 mm(纵向), 对照样品选取中国林业科学研究院木材标本馆的柚木标本(Tectona sp.), 尺寸约为10 mm(径向)× 10 mm(弦向)× 10 mm(纵向)。 木样经脱盐并四等分之后, 分别进行自然干燥法、 PEG法、 三氯蔗糖法和海藻糖法处理。 加固剂选用PEG 4000(3 600~4 400 g· mol-1, 索莱宝, 北京)、 三氯蔗糖(397.64 g· mol-1, 纯度99.6%, 索莱宝, 北京)和D-海藻糖(378.3 g· mol-1, 纯度99.2%, 索莱索, 北京)。 配制重量百分率为15 Wt%的PEG水溶液、 15 Wt%三氯蔗糖水溶液和15 Wt%海藻糖水溶液后, 分别将饱水考古木材试样浸入, 每2周取出试样并将其浸入质量分数升高15 Wt%的相应加固剂水溶液中, 重复该步骤直至试样在60 Wt%的加固溶液中渗透结束。 最后采用真空冷冻干燥法完成木样的脱水加固。
制备0.8 mm(径向)× 0.8 mm(弦向)× 5 mm(纵向)的小木条, 饱水考古木材样品重复数为5, 对照样品(健康木材)重复数为3, 将小木条置于20 ℃ 65%相对湿度环境一周之后, 用高密度聚乙烯薄膜封端[6], 封端后置于水中24 h, 取出未进入水分的样品备用。 使用速粘胶将线径为0.3 mm的弹簧粘入塑料模具底部, 注意弹簧中轴线与模具底部中轴线需重合, 后将样品置入弹簧内侧, 以避免样品在加固剂包埋过程中方向变动。 在模具中加入Epon 812 环氧树脂并调整样品方向, 使其与弹簧内侧最上方切线重合[图1(a)]。 为防止高温对考古木材的性能造成影响, 将样品放入60 ℃的烘箱中塑化24 h。 塑化后的样品经磨平底部之后, 用双组份胶粘接到样品托上[图1(b)], 置于20 ℃温度相对湿度为65%的恒温恒湿箱中24 h备用。 因纳米压痕仪对试样表面的粗糙度有极高的要求, 且木材表面粗糙度会影响微力学测试结果, 为降低饱水考古木材表面粗糙度, 借助超薄切片机(LKB-2188, Leica, 德国)配单面刀片、 玻璃刀、 钻石刀逐级修整样品表面直至光滑[图1(c)]。 该过程为保证刀具和样品表面洁净, 需使用高压气体清理木屑。
| 图1 柚木考古加固木材纳米压痕样品制备(a, b, c)与细胞壁取点位置示意图(d)Fig.1 Sample preparation of consolidated archaeological teak (Tectona sp.) wood (a, b, c) and sampling positions of nanoindentation measurements (d) |
纳米压痕测试设备为原位纳米力学测试系统(in-situ nanomechanical test system)(TI-900 TriboIndenter, Hysitron, 美国), 压针为Berkovich金刚石, 针尖曲率半径为50 nm, 针尖锥角为142.35° 。 在使用纳米压痕测试之前, 先使用原子力显微镜(AFM)选择压痕位置[图1(b)], 确保压点在木纤维的S2层以避免边缘效应[5]。 最大荷载200 μ N, 加载速率40 μ N· s-1, 达到最大载荷后保持该载荷2 s再卸载。 考虑到木材细胞的变异性, 每个细胞中均选取不同的区域进行测试[图1(d)], 且测试点的间距需大于最大压痕深度的20倍。 在横切面上选取的压入点总数不少于30个, 以保证数据具有代表性。 为保证数据可靠性, 剔除未压到指定细胞壁位置的压痕点所对应的数据。 细胞壁弹性模量和硬度根据之前的计算方法获得[7], 数据处理软件为Origin 2019 (OriginLab公司, 美国)。 变异系数采用SAS系统(SAS Institute 9.0, 美国)配合最小显著差异性测验法分析, 置信度为95%。
将木材样品放入EFM Freezer Mill冷冻研磨仪研磨, 制备好的粉末样品置于干燥皿中干燥一周后, 在室温下与KBr混匀后压片。 FTIR试验设备选用傅里叶变换红外光谱仪(Perkin Elmer公司, 美国), 光谱采集范围4 000~400 cm-1, 分辨率2 cm-1, 平均每个光谱累计扫描64次以提高信噪比。 使用Spotlight 1.5.1(Perkin Elmer公司, 美国)软件对光谱数据进行大气校正和基线校正。 样品重复数为3。 三种加固剂的测试方法与木材样品相同。 数据处理软件为Origin 2019 (OriginLab公司, 美国)。
将研磨好的木粉过80目网筛, 装入微量离心管。 该试验所需设备为热重分析仪(Q 5000, TA公司, 美国), 测试温度范围为25~600 ℃, 升温速率为10 ℃· min-1, 测试条件为氮气气氛。 木材随温度升高而产生质量损失(TG), 质量损失的一阶导数(DTG)可求出并作图以用于数据分析, 分解温度(Td)发生在DTG曲线的峰值对应温度。 考古加固木材中的加固剂含量(CW%)可通过式(1)计算得出
木材在700 ℃温度对应的物质含量称为非降解物质含量(RMW), 加固剂的非降解物质含量为RMC, 考古加固木材对应的非降解物质含量为RMW+C。
根据图2(a)柚木考古木材与考古加固木材木纤维细胞壁典型加-卸载位移曲线, 结合我们此前研究[7], 可获得样品木纤维细胞壁的纵向弹性模量和硬度, 结果如图2(b)所示。 柚木考古木材(TW)、 PEG加固木材(TWP)、 三氯蔗糖加固木材(TWS)和海藻糖加固木材(TWT)的木纤维细胞壁S2层纵向弹性模量分别为21.2, 22.7, 26.6和21.8 GPa。 加固处理后的考古木材弹性模量均与未处理考古木材的值具有显著性差异(p< 0.05)。 经PEG、 三氯蔗糖、 海藻糖加固处理后的柚木考古木材弹性模量值比未经处理的柚木考古木材分别高6.9%, 25.4%和29.1%。
以上结果表明, 三种加固剂均可不同程度地提升考古木材木纤维细胞壁的弹性模量, 即, 经PEG、 三氯蔗糖和海藻糖加固后的考古木材比未经处理的考古木材刚性更强, 更不易发生形变。
TW, TWP, TWS和TWT的木纤维细胞壁S2层的硬度分别为0.49, 0.54, 0.62和0.56 GPa。 加固处理后的考古木材硬度均与未处理的考古木材具有显著性差异(p< 0.05)。 经PEG、 三萌蔗糖、 海藻糖加固处理后的柚木考古木材硬度值比未经处理的柚木考古木材分别高9.3%, 25.9%和13.6%。
硬度测试结果表明, PEG、 三氯蔗糖和海藻糖均可显著提高考古木材木纤维细胞壁局部抵抗硬物压入表面的能力。 结合图2和表1可得出, 三种加固剂中三氯蔗糖对考古木材木纤维细胞壁硬度提升效果最为显著。 综上, 加固剂可提升考古木材细胞壁微力学性能, 非还原糖效果优于PEG, 三氯蔗糖的加固效果最好。
| 表1 考古木材与考古加固木材的弹性模量与硬度方差分析 Table 1 Analysis of variance (ANOVA) for the effects of consolidants on the micromechanical properties of archaeological wood |
PEG区别考古柚木木材的主要特征峰为1 348, 1 280, 1 110, 956和840 cm-1, 三氯蔗糖的主要特征峰与木材的特征峰均相近, 海藻糖区别于木材的主要特征峰为1 402和995 cm-1(图3)。
FTIR测试结果显示(图3), 三种加固剂均已渗入柚木考古木材。 就TWP而言, 由于受到PEG特征峰1 348 cm-1的影响, 其代表C— H弯曲振动的1 371 cm-1特征峰右移至1 359 cm-1。 考古木材1 328 cm-1峰为纤维素振动吸收峰, 该峰向左移动到1 342 cm-1, 这也是受PEG特征峰1 348 cm-1的C— H面内剪切振动峰的影响。 TWP的红外光谱出现1 103 cm-1特征峰, 是由于受PEG在1 089 cm-1的C— O— C吸收峰影响。 此外, TWP红外光谱出现1 280 cm-1特征峰、 1 240 cm-1特征峰、 960 cm-1特征峰和840 cm-1特征峰, 均因考古木材受PEG影响, 说明PEG已进入木材细胞腔等孔隙中。 三氯蔗糖特征峰虽与考古木材特征峰相近, 但仍有差异。 TWS在1 369~1 200和794~700 cm-1两个范围内虽然没有峰位移, 但因三氯蔗糖的影响而发生峰形改变, 且考古木材中1 159 cm-1特征峰与1 120 cm-1特征峰均因三氯蔗糖特征峰的影响而消失, 以上红外光谱结果表明三氯蔗糖填充至考古木材内部。 TWT在1 400 cm-1处出现特征峰, 这是考古木材中1 417 cm-1峰与海藻糖中1 402 cm-1峰共同作用所致。 993 cm-1处因为海藻糖较强的特征峰而产生新峰。 1 076~1 030 cm-1之间也因海藻糖的特征峰而产生两个新特征峰。 此外, 952~775 cm-1之间受到海藻糖特征峰影响而发生峰形改变。 TWT的红外光谱结果表明海藻糖渗入考古木材细胞腔等孔隙中。
以上结果表明, PEG、 三氯蔗糖和海藻糖均进入了考古木材内部, 这些加固剂均可通过填充考古木材提升考古木材的微力学性能。 至于加固剂在考古木材内的可能存在形式, 将利用TGA分析方法开展研究, 因为当加固剂与考古木材细胞壁组分发生分子间相互作用时, 加固剂的热稳定性将有所改变。 近年来, 有些学者对多种分子量PEG研究后认为, PEG 4000等可以在一定程度上渗入正常木材细胞壁[8], 有学者使用PEG 3000加固饱水考古木材后得出结论, PEG 3000不易渗入正常木材, 但却很容易渗入考古木材。 结合之前对饱水考古木材的研究推测, 鉴于考古木材比正常木材的孔隙率更高, 且介孔更多[9], 我们认为部分PEG有可能渗入细胞壁孔隙中。
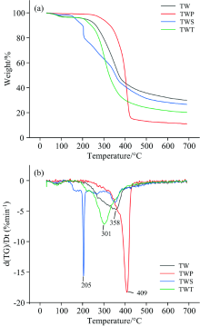
由柚木考古木材的TGA曲线[图4(a)]可知, 考古加固木材的降解过程比考古木材的降解过程更加复杂。 在100 ℃附近开始, 大量的质量损失是由于水分的散失, 木材细胞壁成分的分解发生于更高温度。 在150~700 ℃温度区间内, 柚木考古木材的最大降解温度为358 ℃, 该宽峰归属为考古木材中纤维素和木质素的热解。 PEG、 三氯蔗糖和海藻糖的最大降解温度分别约为416, 128和327 ℃, 然而TWP、 TWS 和TWT的最大降解温度分别约为409, 205和301 ℃[图4(b)]。 若加固剂仅填充至木材细胞腔, 则考古加固木材的最大降解温度会与木材的最大降解温度一致, 本研究中考古加固木材的最大降解温度均与考古木材不同, 也与加固剂的最大降解温度不同, 这表明三种加固剂可能进入了木材细胞壁, 且高分子量PEG处理后, 考古木材的最大降解温度变得更高, 而低分子量的三氯蔗糖和海藻糖处理后最大降解温度变低[10]。
热重分析还可获得考古加固木材中加固剂的相对含量。 TW的RMW为19.4%, PEG、 三氯蔗糖和海藻糖的RMC分别为0.8%, 25.9%和13.9%, TWP, TWS和TWT的RMW+C分别为11.9%, 13.9%和21.5%。 因三氯蔗糖的热解行为与木材相近, 其热重分析结果无法用于计算相对含量。 计算得出, PEG和海藻糖在考古加固木材中的相对含量分别为64.5%和57.8%。
热重分析表明, 所有的考古加固木材的最大降解温度都和考古木材不同, 该结果进一步证实了红外试验得出的结论并解释了纳米压痕试验的结果: PEG、 三氯蔗糖和海藻糖不仅进入考古木材细胞腔, 而且渗入了细胞壁, 从而提升了木材细胞壁的强度, 从理论上证实了三种常用加固剂可提升饱水考古木材的微力学性能。
探索性地开发了一种适用于木质文物微力学性能测试的制样方法, 系统研究了三种加固剂对考古木材脱水加固处理后微力学性能的影响; 发现加固剂均可提升考古木材木纤维细胞壁的纵向弹性模量和硬度。 经PEG、 三氯蔗糖、 海藻糖加固处理后的柚木考古木材弹性模量值比未经处理的柚木考古木材分别高6.9%, 25.4%和29.1%, 硬度值比后者分别高9.3%, 25.9%和13.6%。 三氯蔗糖和海藻糖加固后的考古木材力学性能优于PEG, 且三氯蔗糖对木材力学性能的提升能力最佳。 红外光谱和热重分析研究表明, PEG、 三氯蔗糖和海藻糖三种加固剂不仅填充在细胞腔, 且一定程度上进入考古木材细胞壁中。 本研究可为准确评估饱水木质文物的加固性能提供参考, 为沉船等饱水木质文物的加固与保护提供科学依据。
致谢: 感谢中国林业科学研究院木材工业研究所姜笑梅研究员、 张永刚实验师对木材识别的帮助; 感谢中国文化遗产研究院贾政实验员和宁波市文化遗产管理研究院金涛博士对样品采集和试验的支持, 感谢阿尔伯塔大学张雷博士提供SAS软件支持。
| [1] |
|
| [2] |
|
| [3] |
|
| [4] |
|
| [5] |
|
| [6] |
|
| [7] |
|
| [8] |
|
| [9] |
|
| [10] |
|

