作者简介: 王艺恒, 1998年生, 北华大学林学院硕士研究生 e-mail: 1873900274@qq.com
光谱成像技术广泛应用于植物理化参数无损伤测定等领域研究, 而色素与色彩参数相关性研究也有学者探索。 但比较并优选分别以色彩参数值、 光谱参数值作为自变量与色素含量拟合出的模型, 还未见报道。 本实验以5种针叶树种为研究对象, 筛选蓝边幅值Db、 黄边幅值Dy、 红边幅值Dr、 绿峰幅值Rg、 红谷幅值Rr、 蓝边面积SDb、 黄边面积SDy、 红边面积SDr、 比值植被指数RVI、 差值植被指数DVI、 归一化植被指数NDVI 11种光谱植被参数作为该光谱分析的基础, 将实测针叶色彩参数值、 光谱参数值分别作为自变量, 采用多元线性逐步回归方法(SMLR)预估色素含量建立模型, 以 R2、 RMSE为评价标准, 对比选出模型精度最高的参数组合应用于实践。 研究结果表明: (1) 树种间针叶色素含量、 色相参数值、 光谱反射率均存在一定差异( p<0.05)。 (2) 树种间针叶光谱反射率红松显著低于北美短叶松、 樟子松、 赤松( p<0.05), 针叶树种原始光谱在可见光波段500和680 nm附近呈现“蓝谷现象”和“红谷现象”, 在550和760 nm波段附近呈现“绿峰现象”和“红边现象”; 一阶微分光谱反射率在700 nm附近产生剧烈变化。 (3) 色素含量与色彩参数、 光谱反射率、 光谱特征参数存在显著线性关系。 (4) 花青素和叶绿素分别以 L, a*和 L, a*, b*, S色彩参数组合为自变量时, 拟合模型 R2最高, 分别为0.588和0.638; 而类胡萝卜素、 叶绿素a、 叶绿素b都是以FD652, FD700, SDb, SDy, RVI, DVI和NDVI光谱参数组合为自变量时, 拟合模型 R2最高, 分别为0.779, 0.786, 0.774。 该研究运用高光谱相机、 色彩色差仪、 紫外-可见分光光度仪实现了快速预估针叶色素含量, 在色彩参数值与光谱值都与色素含量存在显著相关性的基础上, 成功选出建立模型精度最高的参数组合, 在针叶树种色素预估时可以根据精度需求及研究条件选择不同方法和参数值。
Spectral imaging technology is widely used in the field of non-invasive determination of physical and chemical parameters of plants, and scholars have also explored the correlation between pigments and color parameters. However, it has not been reported that the models fitted using color parameter values and spectral parameter values as independent variables and pigment content, respectively, are compared and optimized. In this experiment, five conifer species were used as research objects, and 11 spectral vegetation parameters, including blue edge amplitude Db, yellow edge amplitude Dy, red edge amplitude Dr, green peak amplitude Rg, red valley amplitude Rr, blue edge area SDb, yellow edge area SDy, red edge area SDr, ratio vegetation index RVI, difference vegetation index DVI, and normalized vegetation index NDVI, were screened as the basis of spectral analysis in this paper. The measured conifer color parameter values and spectral parameter values were used as independent variables, respectively. Stepwise multiple linear regression (SMLR) was used to estimate the pigment content to establish a model, with R2 and RMSE as evaluation criteria, and the parameter combinations with the highest model accuracy were compared and selected for practice. The results of the study indicate that: (1) There are differences in leaf pigment content, color phase parameter values, and reflectance spectral between tree species ( p<0.05). (2) The leaf spectral reflectance of Pinus koraiensis Sieb. et Zucc. was significantly lower in Pinus sylvestris var. mongolicaLitv., Pinus banksiana Lamb and Pinus densifloraSieb. et Zucc. ( p<0.05). The original spectrum of conifer species shows “blue valley phenomenon” and “red valley phenomenon” near 500 and 680 nm in the visible band, and “green peak phenomenon” and “red edge phenomenon” near 550 and 760 nm bands; the first-order differential spectral reflectance produces dramatic changes near 700 nm. (3) Pigment content was significantly correlated with color parameters, spectral reflectance, and spectral characteristic parameters, and there was a significant linear relationship. (4) When anthocyanins and chlorophyll were combined with L, a* and L, a*, b*, and S color parameters as independent variables, respectively, the fitted model R2 was the highest, 0.588 and 0.638, respectively. In contrast, carotenoids, chlorophyll a, and chlorophyll b were all combined with FD652, FD700, SDb, SDy, RVI, DVI, and NDVI spectral parameters as independent variables. The fitted model R2 was the highest, 0.779, 0.786, and 0.774, respectively. In this study, a hyperspectral camera, color difference instrument and UV-Vis spectrophotometer were used to realize rapid prediction of needle pigment content. Based on a significant correlation between color parameter value and spectral value and pigment content, the parameter combination with the highest accuracy of the established model was successfully selected. Different methods and parameter values could be selected according to the accuracy requirements and research conditions in predicting of needle pigment.
赤松(Pinus densiflora Sieb. et Zucc.)、 红松(Pinus koraiensis Sieb. et Zucc.)、 油松(Pinus tabulaeformis Carr.)、 北美短叶松(Pinus banksiana Lamb)、 樟子松(Pinus sylvestris var. mongolica Litv.)松科松属针叶常绿乔木, 作为东北冬季为数不多的常绿树种, 不仅为北方寒冷的冬天增添一抹绿色, 且还具有重要的生态作用。 叶片色素含量是研究植物生理代谢、 抗逆性、 观赏特性评价研究的重要评价指标[1, 2]。
传统测定色素的方法过程繁琐且误差较大, 因此, 有学者探究色素与色相参数的相关性, 通过叶色参数预估色素含量并建立最优模型[3, 4, 5], 目前, 将色彩参数值、 光谱参数值分别作为自变量预估色素含量而建立模型并对比选出最优拟合模型应用于实践, 还未见报道。 光谱成像受植被的色素含量、 内部结构、 生化物质等的影响, 光谱技术分析可提供鲜叶中化合物快速以及非破坏性原位测定[6, 7]。 因此, 光谱成像技术广泛应用于植被生态遥感监测[8, 9]、 植物理化参数无损伤测定[10]等领域的研究。 本工作利用紫外-可见分光光度仪、 色彩色差计、 高光谱相机获取5种松属植物针叶色素含量、 色彩参数值、 光谱特征参数值, 对实测的针叶色彩参数值、 光谱参数值分别作为自变量与色素含量建立模型, 筛选出最优模型的参数组合, 旨在为今后树种色素测定提供高效无损伤的方法和理论支撑。
试验区位于吉林市北华大学树木园, 土壤为粘壤土。 地理位置为125° 40'— 127° 56'E, 42° 31'— 44° 40'N。 区内属温带大陆性季风气候, 年平均气温为3~5 ℃, 年降水量550~910 mm[11]。
选择生长环境一致、 规格相近、 健康无病虫害的赤松[胸径(0.17± 0.01) m、 冠幅(4.23± 0.24) m]、 红松[胸径(0.16± 0.02) m、 冠幅(4.28± 0.26)m]、 油松[胸径(0.17± 0.02) m、 冠幅(4.39± 0.04)m]、 北美短叶松[胸径(0.19± 0.04)m、 冠幅(4.53± 0.17)m]、 樟子松[胸径(0.19± 0.03) m、 冠幅(4.93± 0.15) m]各9株为试验材料, 10月从东西南北4个方向采集样品, 每个方向分别从植株上、 中、 下采集10束针叶混合均匀作为1组样品, 每株树取样4组, 共180组样品。
1.3.1 针叶色素含量的测定
参照李合生[12]的分光光度计法, 利用紫外-可见分光光度仪测定叶绿素、 类胡萝卜素和花青素含量。 针叶质量为0.3 g, 提取液体体积为10 mL。
1.3.2 针叶色彩参数值的测定
运用色彩色差仪(CHROMAMETER CR_410)测定针叶的L(明亮度)、 a* (红绿比)、 b* (黄蓝比)值, 并计算出饱和度c(c=(a* 2+b* 2)1/2)、 色光值S(S=2 000× (a* /L)× (a* 2+b* 2)1/2)。
1.3.3 光谱采集
取5种树种不同方向的健康针叶用水冲洗, 并用滤纸吸干。 用芬兰SPECIM手持智能型AISA高光谱相机进行光谱测量, 该光谱相机波长范围为400~1 000 nm, 本研究只选取400~800 nm之间的波段进行相关分析。
1.3.4 光谱数据微分处理
利用ENVI扩展工具Savitzky-Golay滤波进行平滑处理。 光谱一阶微分计算公式
式(1)中, FDRλ n为波段从n到n+1之间光谱一阶微分, Rλ n+1, Rλ n分别为n+1, n处原始光谱反射率值, λ n为单个波段, Δ λ 为1。
1.3.5 “ 三边” 参数以及植被指数计算方法
筛选11种高光谱特征参数作为本文光谱分析的基础, 包括“ 三边” 幅值和面积、 绿峰和红谷幅值(Rg、 Rr) 等8种“ 三边” 参数[13]和归一化(NDVI)、 比值(RVI)以及差值(DVI)等3种植被指数[14]。
针叶树种色素含量与光谱反射率数据配套样本数为180个, 用K折交叉验证法随机选取144个样本作为建模数据集, 剩下36个样本为验证集。
树种之间红松针叶各色素含量与其他4个树种有极显著差异(p< 0.01), 且含量均最高。 油松针叶各色素含量均显著低于其他树种(p< 0.05)。 5个色素含量统计值详见表1。
| 表1 针叶树种色素含量统计描述 Table 1 Statistical description of pigment content in conifer species |
北美短叶松色彩参数值L, a* , C, S值显著高于其他4个树种(p< 0.01); 而红松针叶b* 值含量明显高于其他4个树种, 呈极显著关系(p< 0.01)。 由于常绿针叶树种针叶属于同色系, 饱和度越大, 颜色越明亮, 因此, 明亮度L值、 a* (红绿比)、 饱和度c值、 色光值S值变化一致。
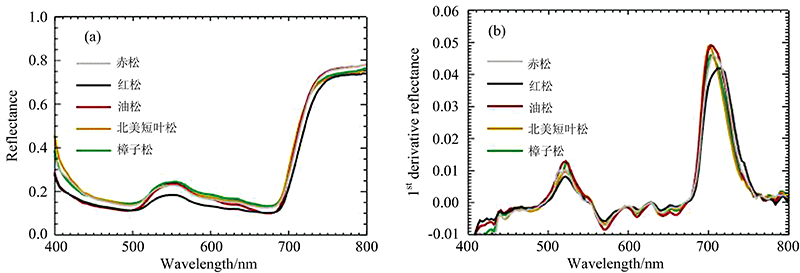
5种树种针叶原始光谱反射率变化规律相似, 详见图1(a)。 在可见光波段500和680 nm附近形成“ 蓝谷” 和“ 红谷” 现象, 550 nm波段附近呈现“ 绿峰” 现象。 光谱反射率在700~760 nm波段显著上升, 并在760 nm附近呈现“ 红边” 现象, 这是由于植物色素在不同波段强吸收所致。 这与字李等[15]研究结果一致, 与臧卓等[16]分析马尾松(Pinus massoniana Lamb.)和杉木(Cunninghamia lanceolata Lamb.) Hook)色素和冠层光谱数据敏感波段的结论大体一致。
| 图1 针叶树种原始光谱曲线(a)和针叶树种一阶导数光谱曲线(b)Fig.1 Original (a) and first-order differential (b) spectral curves of conifer species |
原始光谱进行导数微分处理可以有效消除系统误差, 降低反射、 散射等背景噪音对光谱的影响[17]。 由图1(b)可见, 5种针叶树种在700 nm附近的光谱反射率有明显不同, 同时发现针叶光谱反射率与色彩参数值特征变化规律相似, 红松光谱反射率、 色彩参数值L, a* , c, S显著低于北美短叶松、 樟子松、 赤松(p< 0.05)。
2.3.1 针叶色素含量与色彩参数值相关性
5个色素含量与色彩参数值L(明亮度)达到最大负相关, 相关系数为-0.620, -0.775, -0.752, -0.797, -0.830, 结果详见表2。 这与Li[18]研究结果一致, 色素含量与色彩参数呈显著负相关。
| 表2 针叶树种色素含量与色彩参数相关性分析 Table 2 Correlation analysis between pigment content and color parameters of conifer species |
2.3.2 针叶色素含量与光谱值相关性
由图2可见, 5种树种的色素含量与光谱反射率相关系数拟合曲线变化趋势一致, 原始光谱反射率与色素含量在536~570, 702~723, 528~610, 693~732, 519~634和690~738 nm间呈现显著负相关, 相关系数值在710~760 nm波段显著上升, 在760 nm附近出现拐点并且相关系数变化平缓。 一阶光谱反射率花青素在蓝边区域(490~530 nm)和513 nm波段处出现极值点, 而其余4个色素在黄边区域(550~580 nm)和569 nm波段附近出现极值点。 色素在652 nm附近达到最大正相关; 在700 nm波段出现最大负相关。 Main等[19]表明基于红边导数光谱建立的指数用于估算叶片叶绿素含量适用性和稳定性最好, 与本工作的红边参数与5种针叶色素含量具有极显著相关性, 并参与拟合模型决定系数高的结论大体一致。 对5种色素含量与光谱反射率正负相关系数最大值(绝对值)及所在波长进行统计, 详见表3。
| 表3 树种色素含量与光谱反射率相关系数 Table 3 Correlation coefficient between pigment content and spectral reflectance of tree species |
树种色素含量与光谱特征参数相关性分析结果详见表4。
| 表4 树种色素含量与光谱特征参数相关性分析 Table 4 Correlation analysis between pigment content and spectral characteristic parameters of tree species |
只用单变量方法预估某一化学成分, 往往容易忽略某些重要信息, 常进行多波段选择和重组, 因此, 多元线性回归是最好的方法之一[20]。 刘昕等[21]通过比较一元线性回归、 多元线性逐步回归和偏最小二乘法3种方法, 验证多元线性逐步回归最适宜植物叶片盖度预测模型。 为了更准确地拟合各个色素与色彩参数、 光谱参数模型, 选用多元线性逐步回归分析方法, 由所有显著相关的色彩参数、 光谱反射率建立线性预测函数模型。 方程式如式(2)
式(2)中, y为色素含量估测值; an为第n个特征变量的系数; Xn为第n个特征变量, a0为常数。
2.4.1 叶片色素含量与色彩参数值、 光谱值模型拟合
将显著相关的色彩参数视为自变量逐步代入与各色素含量进行回归方程模型拟合, 相关参数详见表5。
| 表5 针叶树种色素含量与色彩参数值模型拟合评价指标 Table 5 Pigment content and color parameter model fitting evaluation indexes of conifer species |
以色素含量为因变量, 以原始和一阶微分的光谱反射率、 光谱特征参数与色素含量相关性最高波段的反射率为自变量, 选表3、 表4与色素含量相关性r值(绝对值)分别大于0.460, 0.620, 0.550, 0.620和0.620植被指数利用建模数据构建模型, 相关拟合参数见表6。
| 表6 针叶树种色素含量与光谱值模型拟合评价指标 Table 6 Pigment content and spectral value modem of conifer species |
2.4.2 模型筛选与验证
对比色素含量与色彩参数值(表5)、 色素含量与光谱反射率(表6)拟合R、 R2、 标准估计误差、 DW值选出拟合最优模型, 其中花青素、 叶绿素分别以L, a* 和L, a* , b* , S色彩参数组合为自变量时, R2最高; 而类胡萝卜素、 叶绿素a、 叶绿素b都是以FD652, FD700, SDb, SDy, RVI, DVI, NDVI光谱参数组合为自变量时, R2最高模型最优。 为了验证模型的稳定性以及适应性, 以R2, RMSE为评价指标, 利用验证集对模型预测性能进行验证, 结果见表7。
| 表7 最优拟合模型及及精度验证 Table 7 Optimal fitting model and accuracy verification |
5种色素含量实测值与预测值拟合散点图详见图3, 类胡萝卜素、 叶绿素b和叶绿素a验证集R2达到0.76以上, 表明模型的模拟效果较优; 以色彩参数值为自变量的花青素、 叶绿素验证集R2分别为0.590、 0.636。
为了避免某些因素随着色素含量实测变化而对回归模型结果产生不同影响, 导致预估结果出现误差, 用误差项正态性检验方法和Durbin-Wastson检验。 模型残差独立性检验DW检验表达式为式(3)
式(3)中, $ε_{i}$为第i期的残差, $ε_{i-1}$为第i-1期的残差, ∑是对i从第2期到第i期的求和。
对表7进行误差项检验, 从标准残差直方图和标准化残差p-p图看出(见图4), 5个模型正态分布曲线中心轴两侧几乎接近对称, 散点都在斜线附近。 查阅Durbin-Watson分布表, 各色素含量的DW值均出现无自相关值域中, 认定残差独立, 通过检验。
(1)树种间针叶色素含量、 色相参数值、 光谱反射率均存在规律性, 红松光谱反射率、 色彩参数值L, a* , c, S均显著低于北美短叶松、 樟子松、 赤松(p< 0.05); 而红松色彩参数值b* 、 色素含量值最高。
(2)针叶色素含量与色彩参数、 光谱参数等均存在显著相关性, 色素含量与一阶微分光谱反射率相关性高于原始光谱; 色素含量与色彩参数值L呈现最大负相关。
(3)针叶类胡萝卜素、 叶绿素a、 叶绿素b含量都是以FD652、 FD700、 SDb、 SDy、 RVI、 DVI、 NDVI光谱参数组合为自变量时模型最优, 决定系数R2均高于0.774, 而花青素、 叶绿素含量分别以L, a* 和L, a* , b* , S色彩参数组合为自变量时构建模型最优, 决定系数R2介于0.588和0.638之间。
(4)运用高光谱技术和色彩色差技术可以实现高通量快速测定东北5种常见松属树种叶片中花青素、 类胡萝卜素、 叶绿素含量, 对比以色彩参数值、 光谱参数值为自变量时与色素含量分别建立模型, 成功筛选出拟合模型精度最高的参数组合。 在今后针叶树种色素预估可以通过高光谱遥感为大尺度机载星载提供科研指导, 而小样本小数据用色彩参数值预估即可。 本研究为针叶树种的叶色性状测定提供了无损伤、 高效便捷的方法和理论支撑。
| [1] |
|
| [2] |
|
| [3] |
|
| [4] |
|
| [5] |
|
| [6] |
|
| [7] |
|
| [8] |
|
| [9] |
|
| [10] |
|
| [11] |
|
| [12] |
|
| [13] |
|
| [14] |
|
| [15] |
|
| [16] |
|
| [17] |
|
| [18] |
|
| [19] |
|
| [20] |
|
| [21] |
|

