作者简介: 姜 杰, 1998年生, 聊城大学地理与环境学院硕士研究生 e-mail: jiangjie1592020@163.com
光谱特征是地物的固有属性, 分析地物光谱不仅有助于提高地物识别精度, 也是定量遥感研究的基础。 然而受限于尺度效应, 近地空间采集的光谱与遥感像元尺度的光谱往往差异较大。 因此, 在遥感像元尺度上揭示湿地典型景观地类的光谱特征, 将有助于大尺度湿地遥感分类和植被参数反演精度的提高。 以华北平原典型的草型湖泊湿地南阳湖为对象, 基于EO-1 Hyperion星载成像高光谱数据, 提取荷田、 芦苇地、 林地、 水田、 旱地、 建筑用地、 河道和湖泊鱼塘等8类湿地景观的反射率, 并进行光谱一阶导数变换, 同时计算多种高光谱植被指数, 定量分析景观尺度上湿地地物的光谱特征。 结果表明: (1)8种湿地景观地物反射率光谱差异明显, 其中5种不同植被景观也存在差异。 荷田反射率在全波段明显高于其他景观地类, 荷田的绿波段反射峰和红波段吸收谷最明显。 芦苇地与水田在可见光和红边区域具有相似的反射光谱特征, 水田与旱地反射光谱曲线不同, 且水田的绿峰明显高于旱地。 (2)8种景观在蓝边、 黄边及红边处的一阶导数光谱差异明显, 尤以红边处最显著。 荷田的红边斜率最大且红边位置明显蓝移(712 nm), 说明其叶绿素含量高, 健康状况最好。 林地的红边斜率次之, 但红边位置明显红移(722 nm)。 (3)林地具有最大的植被指数, 水体和建筑用地植被指数均较低, 其他景观地类居中。 芦苇地、 水田、 旱地和荷田在大多数与归一化植被指数(NDVI)相关的指数中差异不明显, 仅在增强型植被指数(EVI)和红边叶绿素指数(Chlorophyll Index RedEdge 710)中存在较明显差异, 说明这两个指数能够更有效地指示湿地植被类型之间绿度和覆盖度的差异。 该研究对于草型湖泊湿地景观地物高精度分类及其植被参数的遥感反演具有借鉴意义。
Spectral characteristics are the inherent attributes of ground objects. Analyzing spectrum is help to improve the accuracy of ground objects recognition and a basis of quantitative remote sensing. However, limited by scale effect, the spectrum acquired in near-earth space is often quite different from that of remote sensing pixels. Therefore, revealing the spectral characteristics of typical wetland landscapes on the scale of remote sensing pixels is useful to improve the accuracy of large-scale wetland remote sensing classification and inversion of vegetation parameters. Based on the satellite-borne EO-1 Hyperion data, the reflectance of lotus field, reed land, woodland, paddy, highland, construction land, river, lake and pond were extracted from Lake Nanyang, one of the grass lake wetlands in North China Plain.The spectral characteristics of the pixel-scale ground objects were quantitatively analyzed by using the first derivative of the spectrum and calculating a variety of hyperspectral vegetation indexes. The results showed that: (1) The reflectance spectrumof eight wetland landscapes were significantly different, andthere were also differences in the 5 vegetation types. The reflectance of the lotus field was significantly higher than that of other landscapes in the whole wave-band range. It sreflective peak in the green band and absorptive valley in the red band was the most obvious. The reflectance spectrum of the reed field and paddy were similar in visible light and red edge region. The reflectivity curves of paddy and upland farms were different, and the green paddy's reflective peak was higher than that of upland. (2) The first derivative spectrum of eight landscapes were obviously different at the blue, yellow, and red edge regions, especially at the red edge.The red edge slope of the lotus field was the largest, and the red edge position was obviously blue shift (712 nm), indicates that it has high chlorophyll content and the best health condition. The red-edge slope of woodland was the second, but its red edge position was an obvious red-shift (722 nm). (3) Woodland hadthe highest vegetation index, the vegetation index of water bodies and construction mode rate landscapes land was low, and other. There was no significant difference in the mean values of indexes related to normalized difference vegetation index (NDVI) among reed land, paddy, upland and lotus fields, but only in the Enhanced Vegetation Index (EVI) and Chlorophyll Index RedEdge 710. It suggested that EVI and Chlorophyll Index RedEdge 710 index can more effectively indicate the difference of greenness and coverage between wetland vegetation types. The research has great significance for the high-precision classification wetland of and inversion of vegetation parameters.
湿地是生产力最高、 生物多样性最丰富的陆地生态系统类型之一, 其在固碳释氧、 涵养水源和维持区域生态平衡等方面发挥着重要作用[1]。 湿地植被具有“ 指示器” 的作用, 在全球变化背景下研究湿地植被的适应与响应特征具有重要意义[2]。 近年来遥感已广泛应用于湿地研究, 如牛振国等[3]以1999年— 2002年间597幅Landsat ETM+数据为基础, 采用人工目视解译为主结合辅助资料的方法, 对我国国家尺度湿地进行了初步遥感分类制图及地理特征分析, 结果表明全国湿地主要分布在中温带和高寒气候区、 湿润区, 分布的区域与年干燥度有关。 研究得到了国家层面上一致性最强的湿地空间分布数据库, 未来将着重解决湿地类型具体分布边界问题。 Mao等[4]运用集成面向对象与多层次决策树的分类方法, 应用1400余景Landsat 8 OLI遥感数据, 完成了2015年中国国家尺度湿地分类信息的更新。 但是, 这些研究多是基于多光谱遥感资料和地物的宽波段反射率特征开展的。
湿地光谱特征是湿地遥感的基础, 研究其光谱特征不仅有利于提高湿地的分类精度, 而且对于准确监测植被特征参数也具有重要意义。 当前, 国内外湿地植被光谱研究已有报道[5], 但大多是基于近地面实测分析的。 由于卫星传感器和地面观测条件的限制, 大范围的湖泊湿地光谱的采集较为困难, 且不易实现图谱合一。 即便当前成像光谱观测日趋流行[6], 也因搭载平台所限, 不能很好的反映景观尺度的光谱特征。 另外, 由于植被遥感的尺度效应, 野外近地空间采集的植被光谱往往不能很好地与遥感卫星像元尺度的光谱特征进行匹配[7]。 因此利用星载高光谱数据在像元尺度上, 基于图谱合一知识, 研究湖泊湿地典型景观地物光谱特征具有重要意义。 星载EO-1 Hyperion高光谱数据可以反映地物在可见光和近红外(NIR)的高光谱特征, 已得到广泛应用[8]。 因此, 本工作利用Hyperion数据对南阳湖湿地的典型地物反射率光谱信息进行提取变换, 计算多种高光谱遥感指数, 分析不同地物景观类型特别是典型湿地植被的高光谱特征差异, 以期为湿地遥感分类及植被参数反演提供借鉴。
研究区位于山东省南四湖北部的南阳湖湿地(图1)。 该区域属于暖温带、 半湿润季风气候, 独特的地理位置和气候特征使该地区湿地资源丰富, 生态系统复杂多样[9] , 是华北地区典型的草型浅水湖泊湿地。 该区域湿地景观类型多样, 近年来, 由于京杭运河、 南水北调及其他人类活动的影响, 自然湿地景观减少, 人工湿地景观逐渐增加, 景观格局和生态环境变化剧烈[10, 11]。
选用2010年6月2日少云的Hyperion高光谱数据, 其覆盖范围为7.5 km宽的东北西南轴向的条带, 故仅裁剪覆盖湖泊湿地的一部分。 Hyperion数据包含242个波段, 光谱范围覆盖355~2 577 nm, 光谱分辨率为10 nm, 空间分辨率为30 m。 此数据已辐射校正和几何校正, 还需利用ENVI5.1遥感平台进行FLAASH大气校正。
参考我国土地利用遥感监测分类系统[12], 并结合南四湖湿地景观特征[10], 选取荷田、 芦苇地、 林地、 农田(旱地、 水田)、 建筑及水体(河道、 湖泊鱼塘)等8种景观类型进行分析。 依照当年实地调研数据并结合Google earth影像, 再根据区域内各景观面积比例, 采用目视解译确定8类景观的感兴趣区(表1)。
| 表1 各景观类型感兴趣区所含像元信息 Table 1 The number of pixels in the region of interest of each landscape type |
基于各类感兴趣区提取不同景观的反射率光谱曲线。 对地物反射率光谱曲线进行变换, 可以降低背景环境、 光照和大气散射等对光谱的影响, 以凸显湿地景观的光谱特征差异[13, 14]。 因此, 进行一阶导数变换并分析红边、 黄边、 蓝边特征。 光谱曲线变换公式如式(1)
式(1)中, Rλ 为波段处的反射率, Dλ 为对应波段处的反射率一阶导数值。
为进一步分析各景观类型的光谱特征, 揭示遥感指数对不同地类的解释能力, 选择了11个常用的高光谱遥感指数进行分析, 能够有效地指示湿地植被类型之间绿度和覆盖度的差异(表2)。
| 表2 本工作采用的高光谱植被指数 Table 2 The Hyperspectral Vegetation indexes used by this work |
分析各湿地地类像元反射率均值曲线及其标准差曲线。 8种湿地景观的反射率均值曲线特征各有不同(图2)。 水体反射率在全波段相对较低, 整体维持在15%左右, 这一方面与水体对可见光近红外的强吸收特性有关, 另外由于南阳湖水体深度较浅, 水底背景也会对反射率信号产生影响。 具体而言, 湖泊鱼塘可见光反射率略高于河道水体; 在700 nm处, 湖泊鱼塘反射率明显下降, 而河道反射率略有上升, 两曲线在此交叉, 700 nm之后两曲线整体较平直。 建筑用地反射率与其他地类明显不同, 反射率在20%左右。 建筑用地多为湿地附近村庄, 村庄内的树木导致建筑用地光谱略微呈现植被红边特征, 但不显著。
5类湿地典型植被景观的曲线特征整体相似, 均表现出明显的植被反射特征。 其在可见光区域存在蓝、 红吸收谷和绿返射峰, 且均在15%以下, 小于此处的水体反射率; 在700 nm处开始陡升, 近红外区域形成反射高原, 均值在20%~35%之间; 在1 600 nm左右也都存在一个反射峰谷的变化, 但反射率值略有下降, 在10%~20%左右。 具体而言, 5类植被曲线又有所不同。 其中荷田反射率在全波段明显高于其他植被, 并且在可见光区域的绿反射峰和红、 蓝吸收谷最为明显, 且红边位置的陡升最剧烈。 林地反射率在可见光区域最低, 红边处陡升剧烈, 近红外区域达30%左右。 芦苇地与水田具有相似的特征, 在可见光区域几乎相同, 仅在近红外和短波红外区域存在差异。 旱地与水田反射率接近, 仅在近红外区域水田高于旱地。
反射率标准差可以反映同一景观反射率的变异性。 分析发现各景观的反射率变异总体较小, 标准差最大值出现在荷田和芦苇地的近红外区间, 标准差在6%左右。 其余地类反射率标准差曲线较平滑, 基本在3%以下(图3)。 这表明, 荷田和芦苇地景观具有复杂多变性, 而林地、 农田和建筑用地等人类主导的景观及水体具有较高的景观一致性。
考虑到近红外区域信噪比的下降, 因此截取光谱特征差异最显著的可见光近红外区域(430~930 nm)分析(图4)。 除芦苇地与水田的一阶导数曲线特征较相似外, 其他湿地景观在蓝边、 黄边和红边的光谱特征各不相同, 其中最明显差异在红边处。 荷田的红边位置明显蓝移, 在712 nm, 而其他撞被的红边红移, 均在720 nm左右。 各植被景观的红边斜率最大值由大到小依次为荷田(49.23)、 林地(43.63)、 芦苇地(36.10)、 水田(35.17)和旱地(29.09)。 建筑用地由于夹杂了部分植被信息, 具有一定的红边特征, 但是红边斜率低(15.75), 而两类水体的一阶导数曲线较为平缓, 不存在红边特征。
各植被景观的蓝边位置不同, 荷田蓝边位置偏右(518 nm), 斜率也最高(8.70), 其他4种植被景观蓝边位于510 nm左右, 蓝边斜率较接近在4.5~5之间。 各类植被景观的黄边均位于570 nm附近, 且黄边斜率均为负值, 其中荷田最低, 次低为林地和芦苇地。 非植被景观的蓝边和黄边特征不明显。 三边的斜率特征越明显说明植被的叶绿素含量越高, 三边位置的偏移程度代表着植被的营养健康状况[26]。 可以推断, 南阳湖湿地植被中, 荷田的叶绿素含量明显高于其他湿地植被类型, 健康状况也优于其他植被类型。 其次是林地、 水田和芦苇地, 而旱地的状况最差。
| 表3 湿地景观三边(蓝边、 黄边、 红边)特征 Table 3 Characteristics of three sides (blue, yellow and red) of wetland landscape |
一阶导数标准差较大的区域在红边和反射高原(750~850 nm)处, 其中荷田和芦苇地的变异是最大的, 标准差可达10以上, 几乎占到其一阶导数值的20%~30%左右(图5)。 而其他景观的一阶导数标准差较小。 这也暗示荷田和芦苇地作为自然植被, 光谱变异性较大, 而人工景观的光谱变异性较小。
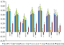
NDVI系列的6个高光谱遥感指数(NDVI, GNDVI和NDVI1-4)在8类景观中表现相似, 林地的指数值均显著高于其他景观, 植被景观与非植被景观的指数值差异明显, 建筑用地与水体差异明显, 河道和湖泊鱼塘的指数分别为接近于零的正负数(图6)。 相比NDVI系列指数, EVI不仅在植被与非植被间有明显的区分能力, 而且在5种植被景观间也有一定的区分能力。 从标准差看, 林地指数的变异是最小的, 说明林地景观内部特征较一致, 而荷田和芦苇地像元间指数变异性较大。
就GI指数而言, 8种景观类型没有明显差异, 3种非植被的景观也呈现较高的GI, 不易区分植被与非植被景观。 MCARI/OSAVI, 及MSR705和Chlorphyll Index RedEdge 710可以较好地区分植被与非植被, 而且都突出了林地与其他植被景观的差异, 同时3个指数均呈现旱地略高于水田的特征。 仅Chlorphyll Index RedEdge 710指数可以显著区分荷田和芦苇地(图7)。
(1)从反射率曲线看, 荷田反射率在全波段明显高于其他植被景观, 绿峰和红谷特征显著。 林地反射率曲线在红边处陡升, 芦苇地和水田反射率曲线较相似, 旱地和水田存在差异, 水田的绿峰高于旱地。 芦苇地与荷田整体的反射率标准差较大, 反映出其景观内部的复杂性。
(2)从一阶导数曲线看, 各湿地植被景观存在蓝边、 黄边和红边特征, 其中红边特征最明显。 除芦苇地与水田的红边特征较相似外, 其他植被景观红边特征各不相同, 荷田的红边斜率最大且红边位置明显蓝移, 林地的红边斜率次之, 但红边位置明显红移。 暗示相比之下, 荷田的健康状况最佳。
(3)遥感指数分析表明, 林地植被指数最高, 水体和建筑用地的均较低, 其余景观居中。 芦苇地、 水田、 旱地和荷田4种景观在大多数与NDVI相关的植被指数中差异不明显, 仅在EVI和红边叶绿素指数中差异比较明显。
在星载高光谱数据稀缺的现状下, 本研究在景观尺度分析了南阳湖湿地景观的光谱特征, 特别是在先行分类选取感兴趣区的基础上, 将芦苇地、 荷田和林地、 水田、 旱地加以区分, 分析了典型景观地物的光谱特征特别是植被的红边特征。 研究结论一方面可以指导湿地景观高精度遥感识别, 特别是基于高光谱的光谱角填图和多光谱的植被指数分类; 另外, 本文梳理出的不同类型植被景观的光谱特征可为遥感像元尺度植被参数的遥感反演提供重要借鉴。
致谢: 感谢美国地质勘探局(USGS)提供的EO-1 Hyperion高光谱遥感数据!
| [1] |
|
| [2] |
|
| [3] |
|
| [4] |
|
| [5] |
|
| [6] |
|
| [7] |
|
| [8] |
|
| [9] |
|
| [10] |
|
| [11] |
|
| [12] |
|
| [13] |
|
| [14] |
|
| [15] |
|
| [16] |
|
| [17] |
|
| [18] |
|
| [19] |
|
| [20] |
|
| [21] |
|
| [22] |
|
| [23] |
|
| [24] |
|
| [25] |
|
| [26] |
|

