作者简介: 尚超男, 1995年生, 海南大学化学工程与技术学院硕士研究生 e-mail: 19085216210035@hainanu.edu.cn
以海南禁塑名录(第一批)中禁用不可降解塑料聚乙烯(PE)和乙烯-醋酸乙烯共聚物(EVA)为目标物, 按不等质量梯度分别与聚己二酸/对苯二甲酸丁二醇酯(PBAT)和聚乳酸(PLA)等可生物降解聚合物熔融共混, 进行复合物中PE和EVA的定性定量分析研究, 以期为市场监督禁塑组分的违规添加提供数据。 傅里叶变换红外光谱(FTIR)结合聚类分析, 对PE-PBAT、 EVA-PBAT、 PE-PLA和EVA-PLA二元共混体系中的68个自制样品进行目标物鉴别及定量分析。 结果表明, 将所有光谱数据采用化学计量法分析研究, 其聚类分析法可将样品分为3类, 全波段下 A=14, R2 X(cum)=0.997, Q2(cum)=0.992。 FTIR解析以峰形和峰位置筛选定性特征峰, 以峰强变化筛选定量特征峰, 其中PE-PBAT和EVA-PBAT体系有定性特征峰2 918和2 850 cm-1, 定量特征峰2 918, 2 850, 1 714和727 cm-1; PE-PLA体系有定性特征峰2 918, 2 850和718 cm-1, 定量特征峰2 918, 2 850和1 747 cm-1, 另外1 460 cm-1谱带的强弱与组分比例不相关的特点可用于辅助定量; EVA-PLA体系包含定性特征峰2 918, 2 850, 1 237和718 cm-1, 定量特征峰2 918, 2 850和1 740 cm-1, 红外定性分类结果与化学计量分析一致。 进而探究峰强度比与禁塑组分含量的相关性, Spectrum Quant软件建立的定量模型表示: PBAT基共混材料的2918/727峰强度比与PE或EVA含量存在高度相关性, PE-PLA共混材料中2 918/1 460峰强比与PE含量存在高度相关性, EVA-PBAT共混材料中2 918/1 740峰强比与EVA含量有高度相关性; 盲样验证显示残差值在±2.7%内。 FTIR技术在禁塑组分PE和EVA定性定量分析中方法可靠, 可实现简便快捷的半定量分析。
A law on the one-time use of plastics was carried out as one measure of protecting the ecological environment in Hainan Province of China. The Hainan Forbidden Plastic List (first batch) is regulated to prohibit six non-degradable plastic compositions. The polyethylene (PE) and ethylene-vinyl acetate copolymer (EVA) were selected as detection targets in this simulating illicit-adding system. Poly(butylene adipate-co-terephthalate (PBAT) and polylactic acid (PLA) were chosen as the blend portions of simulating composites for their extensive application in bio-degradable plastics products. Then PE was blended with PBAT and PLA, respectively, according to the different mass percentages. Moreover, EVA was also blended with PBAT and PLA with the same formula, respectively. These simulating samples were provided for qualitative and quantitative testing of PE and EVA by Fourier transform infrared spectroscopy (FTIR) and cluster analysis (CLA). Their spectra screened the qualitative characteristic peaks by peak shape and wavenumbers. Furthermore, the characteristic quantitative peaks were screened for the correlation of peak-high ratios and the content of the non-degradable plastic components. Their quantitative curves were obtained and used for blind verification. The results showed that the mixture can be divided into three categories by applying all original spectral data in a chemometric method within 4 000 to 400 cm-1 and the parameter of the classification model are A=14, R2 X(cum)=0.997, Q2(cum)=0.992. The qualitative characteristic peaks of the PE-PBAT and EVA-PBAT systems were 2 918 and 2 850 cm-1, while the characteristic quantitative peaks were 2 918, 2 850, 1 714 and 727 cm-1. The characteristic qualitative peaks of the EVA-PLA system were 2 918, 2 850, 1 237 and 718 cm-1, and the characteristic quantitative peaks were 2 918, 2 850 and 1 740 cm-1. For the PE-PLA system, the characteristic qualitative peaks were 2 918, 2 850 and 718 cm-1, and the characteristic quantitative peaks were 2 918, 2 850 and 1 747 cm-1.Otherwise, the 1 460 cm-1 band intensity could be used to assist in quantification that was not related to component distribution. The qualitative classification results of ATR-FTIR were consistent with principal component analysis (PCA) classification. Furthermore, the quantitative models were established by the Spectrum Quant software. Peak-high ratios and non-degradable components had a great a high correlation. The peak-high ratio of 2 918/727 and PE or EVA content had high correlation in PBAT-base blend material. The peak-high ratio of 2 918/1 740 was determined as the dependence of the EVA content in the EVA-PBAT material. The peak-high ratio of 2 918/1 460 was defined as the dependence of the PE content in the PE-PLA material. The blind verification results indicated that the inaccuracy is within ±2.7%. Therefore, the FTIR technology showed good reliability in the qualitative and quantitative analysis of prohibited non-degradable plastic components, which could provide a scientific basis for identifying of non-biodegradable materials.
塑料制品改善了我们的生活, 但其过度使用后的随意丢弃, 对环境造成的污染受到全球关注, 传统一次性不可降解塑料制品是主要的贡献源之一。 有研究表明, 凡是含有不可降解组分的塑料, 短时间内都不能完全降解, 尤其以不可降解和可生物降解材料复合制备的塑料制品, 其崩解后, 不可降解组分形成塑料碎片或微塑料, 微塑料在水环境、 生物链和土壤生态系统之间有迁移和传递的风险[1, 2, 3]。 因此, 在一些减塑有限或难以回收领域推行可生物降解替代品极其必要。 自海南省2020年12月1日起实施禁塑[4], 明确禁止生产、 销售和使用主要含有聚乙烯(PE)、 聚丙烯(PP)、 聚苯乙烯(PS)、 聚氯乙烯(PVC)、 乙烯-醋酸乙烯共聚物(EVA)、 对苯二甲酸乙二醇酯(PET)等6种不可降解高分子材料的一次性膜、 袋类和餐饮具类一次性塑料制品。 禁塑实施后大量一次性可生物降解替代品进入市场, 目前其材料组分主要包括聚己二酸/对苯二甲酸丁二醇酯(PBAT)、 聚乳酸(PLA)和淀粉(St)等。
少量PE和EVA的掺入即可大大降低替代品的成本, 并显著提高其使用性能, 曾有PE与PBAT复合制备地膜[5]、 气调保鲜膜[6]; 具有低柔韧性和高达800%断裂伸长率的EVA与PBAT共混后, 复合材料呈现出较高的弹性体性能[7]。 聚乙烯类的柔性聚合物与PLA共混可达到增韧和耐冲击的效果[8, 9]。 然而, 据海南禁塑措施, PE、 EVA等不可降解塑料不得用于可生物降解替代品中, 由此, 须建立相应检测技术作为防范储备。
傅里叶变换红外(FTIR)光谱作为快速检测技术, 是测定高聚物结构常用的技术之一。 已有报道通过峰面积谱带比值法用于聚酰胺、 聚碳酸酯和聚苯乙烯等高聚物单组分的定量研究[10, 11], 但目前6类禁塑组分的红外光谱定量法的研究未见报道。 若根据禁塑组分的分子结构特征, 通过红外谱图的峰形与峰位置确定出定性特征官能团, 进而由聚类分析中的主成分分析(PCA)法进行分类判别来降低人为干扰; 进一步利用峰高比进行半定量分析, 将有效检出低含量禁塑组分, 降低峰面积计算的偶然误差, 提高定检测量精密度这对监督潜在的违禁添加意义重大。 故本研究结合海南省地方标准(DB 46/T 544— 2021)制备PE-PBAT、 EVA-PBAT、 PE-PLA、 EVA-PLA等4个二元共混体系。 结合聚类分析采用FTIR识别共混材料中的官能团, 经二阶导数处理提高信噪比筛选出目标组分的定性特征峰; 通过Spectrum Quant软件遵循朗伯比尔定律原则对定量特征峰峰高比与禁塑组分含量的相关性建立定量模型并作盲样验证, 以期为一次性可生物降解塑料制品中禁塑组分的分析和禁塑检测技术标准提供数据基础。
实验样品均由塑料纯组分制得, 其中聚己二酸/对苯二甲酸丁二醇酯(PBAT, 801T)、 聚乳酸(PLA, 6801)购于深圳光华伟业公司, 聚乙烯(PE, 7042)、 乙烯-醋酸乙烯共聚物颗粒(EVA, 53001)购于中联塑化公司。
电子分析天平(日本岛津, AUW220D); 微量混合流变仪(美国赛默飞, HAAKe Mini-Lab Ⅱ )、 傅里叶变换红外光谱仪FTIR(美国赛默飞, Nicolet is50)。
使用电子分析天平按配料总量为5.00 g、 不同比例称取适量的PE和PBAT于自封袋中, 得到PE-PBAT体系的预混料。 探究加工转速30~60 r· min-1, 结合仪器性能和加工效果, 确定设置为50 r· min-1。 当微量混合流变仪的温度和转速达到表1设定值后, 将预混料加入熔融, 双螺杆搅拌15 min, 扭力达到恒定值, 记录于表1中。 挤出并压片制得厚度约为3 mm、 呈乳白色或透明态样品, 置避光干燥柜中保存备用。 EVA-PBAT、 PE-PLA和EVA-PLA样品的制备同上。 严格参照样品加工工艺参数以确保其均匀性。
| 表1 样品加工工艺参数 Table 1 Sample machining process parameters | 
使用FTIR的衰减全反射(ATR)模式采集样品振动谱, 波长范围为4 000~400 cm-1, 分辨率4 cm-1, 扫描次数32次; 每个样品采集3次。
对比PE, EVA, PBAT和PLA等4种纯组分与PE-PBAT, EVA-PBAT, PE-PLA和EVA-PLA等4个共混体系的红外谱图, 对低含量共混材料进行二阶求导处理, 筛选出共混材料的定性特征峰; 部分特征峰的峰强度随不可降解或可生物降解材料的含量变化呈现出规律性增大或减小, 即定量特征峰; 使用Spectrum Quant软件在同一基线下计算特征峰峰强比, 建立定量模型, 筛选出最优峰强比-禁塑组分含量曲线; 基于重点检测低含量禁塑组分的现实意义, 对相同制备条件下二次制备的20个盲样对定量曲线进行验证。
采用soft independent modeling of class analogy (SMICA)统计软件对原始光谱矩阵进行统计。 按不同配比收集95个样品, 优化选取56个代表性样本组成训练集, 通过对比全波段和分波段聚类分析结果, 选出最佳波段。
PE、 EVA、 PBAT和PLA的红外谱图如图1; 各自的定性特征峰及其对应基团振动如表2所示。
| 表2 纯组分的红外定性特征峰及其基团振动归属 Table 2 Qualitative characteristic peaksand group's vibrationof pure materials | 
共混材料的红外谱图分别如图2(a, b)— 图5(a, b), 与纯组分相比, 其部分特征峰被覆盖或叠加。 故为加强特征信号, 减小背景干扰, 对谱图进行二阶导数(SD)处理; 在SD谱图中特征峰表现出更高识别度和更小的极小值。 其共混体系中禁塑组分的定性定量特征峰波数见表3。
| 图2 PE-PBAT体系的ATR-FTIR谱图 (a): FTIR谱图; (b): 低含量组分的二阶导数处理图Fig.2 ATR-FTIR spectra of PE-PBAT system (a): FTIR spectra; (b): Second-order derivative processing diagram of low content components  | 
| 图3 EVA-PBAT体系的ATR-FTIR谱图 (a): FTIR谱图; (b): 低含量组分的二阶导数处理图Fig.3 ATR-FTIR spectra of EVA-PBAT system (a): FTIR spectra; (b): Second-order derivative processing diagram of low content components  | 
| 图4 PE-PLA体系的ATR-FTIR谱图 (a): FTIR谱图; (b): 低含量组分的二阶导数处理图Fig.4 ATR-FTIR spectra of PE-PLA system (a): FTIR spectra; (b): Second-order derivative processing diagram of low content components  | 
| 图5 EVA-PLA体系的ATR-FTIR谱图 (a): FTIR谱图; (b): 低含量组分的二阶导数处理图Fig.5 ATR-FTIR spectra of EVA- PLA system (a): FTIR spectra; (b): Second-order derivative processing diagram of low content components  | 
| 表3 共混材料的定性定量特征峰 Table 3 Qualitative and quantitative characteristic peaks of blend material | 
PBAT基共混体系的红外谱图如图2(a)和图3(b)所示, 两体系的特征峰相同且无法区分。 EVA和PBAT共混后, 在1 738和1 709 cm-1处的酯基双键C=O相差约30 cm-1, 由于在1 732 cm-1存在PBAT上游离C=O的特征吸收, 故酯基— COO— 信号差异经二阶导数放大后仍重叠[见图2(b)和图3(b)]。 随PE或EVA含量增加, 2 918和2 850 cm-1处— CH2— 的伸缩振动峰增强, PBAT中2 957 cm-1处的肩状峰形开始转为缓坡形, 当PE或EVA含量添加至5 Wt%时, — CH2— 的伸缩振动明显, 这在SD图中进一步体现, 故将2 918和2 850 cm-1作为PBAT基材料中PE或EVA的定性定量特征峰。 随PE或EVA由0~100 Wt%增加的过程中, C=O伸缩振动和苯环上CH振动逐渐减弱, 故将1 714和727 cm-1峰同时作为定量特征峰。
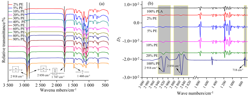
对图4(a, b)和图5(a, b)所示的PLA基共混体系, 随PE或EVA增加, 2 918和2 850 cm-1处逐渐由“ 齿状” 发展成两个尖峰, 对应强度增强, 同时718 cm-1处长链烷烃的特征明显; 不同的是, EVA-PLA体系中1 237 cm-1处EVA的— COO— 基团的特征吸收也明显增强。 随PLA减少开始, 两体系中酯基双键C=O吸收峰呈减弱趋势, 而PE-PLA体系中1 460 cm-1处— CH2— 的弯曲振动吸收强度基本不随组分配比改变的现象可用于辅助测定PE含量。
为降低红外定性特征峰可能产生假阳性或漏检误差, 使用主成分分析法(PCA)对样品原始光谱矩阵进行统计分析, 经样本诊断、 模型诊断得到4 000~400 cm-1全波长范围内可实现最大分离的聚类分析结果, 如图6, A=14, R2X(cum)=0.997, Q2(cum)=0.992。
在PCA模型中, EVA-PLA和PE-PLA两体系分别位于不同区域, 且没有交叉, 表示完全分离; EVA-PBAT和PE-PBAT重叠为同一区域, 少数PE-PBAT样品点散落在另一区域, 表示PBAT基的两体系基本为同一类, 这可能与EVA、 PE和PBAT的分子结构相关: EVA与PE的差异官能团为酯基, 而PBAT中较丰富的酯基基团使得类间最大化减弱。
四个体系被分为三类, 与ATR-FTIR据定性特征峰得出的分类结果一致, 表明ATR-FTIR定性识别具有较好的可靠性。 ATR-FTIR官能团识别定性分析结合PCA对分类样品进行了具体特征的分析, 实现了混合物的快速、 简单分类及内部剖析。
依据朗伯-比尔定律原理[A=lg(1/T)=Kbc]对本研究4个体系进行定量分析, 探究了特征峰峰强比与禁塑组分含量的关系。 为降低手动基线校正、 手动标峰、 手动计算峰高等操作引起的偶然误差, 采用红外光谱检测系统原装Spectrum Quant软件在同一基线下使用峰高谱带比值法进行数据建模处理, 筛选出最优峰高比与禁塑组分含量的线性相关性。 对PE-PBAT和EVA-PBAT体系的峰高比确定为2 918/727, 对PE-PLA体系确定为2 918/1 460, 对EVA-PLA体系确定为2 918/1 740, 得到的标准曲线如图7— 图9, 图10为四个体系聚类分析结果。
| 图10 四个体系的聚类分析结果 [1]: EVA-PBAT; [2]: PE-PBAT; [3]: EVA-PLA; [4]: PE-PLAFig.10 The classification results of four systems [1]: EVA-PBAT; [2]: PE-PBAT; [3]: EVA-PLA; [4]: PE-PLA  | 
且精密度和重复性也是影响定量方法优劣的必要因素, 故采用盲样验证的方法对各曲线进行了测试, 每个样品平行测三次, 得到均值如表4。 平均残差值, 表示FTIR技术定量的残差在± 2.7%以内。
| 表4 盲样验证(n=3) Table 4 Blind sample verification (n=3) | 
采集可生物降解塑料-禁塑组分共混材料的分子结构振动图谱, 通过ATR-FTIR技术结合聚类分析, 将PE-PBAT, EVA-PBAT, PE-PLA及EVA-PLA等4个体系分类判别为三类, 结果有效可靠, 明确分离了PBAT基与PLA基等不同基材的二元共混物, 且PE或EVA的加入可明显引起PLA基材料不同位置的吸收振动, 这减小了因部分特征峰重叠而引起假阳性的概率; 在二阶导数处理下分析出每一类对应的定性定量特征峰; 为提高定量分析可靠性, 通过Spectrum Quant软件采用峰高谱带比值法进行数据建模处理, 选出最优峰高比与PE或EVA等禁塑组分含量的相关性, 定量曲线的相关因子均在98%以上; 重复性和精密度表示定性在100%准确率下, 盲样检测的残差值在± 2.7%以内。
| [1] | 
							 | 
					
| [2] | 
							 | 
					
| [3] | 
							 | 
					
| [4] | 
							 | 
					
| [5] | 
							 | 
					
| [6] | 
							 | 
					
| [7] | 
							 | 
					
| [8] | 
							 | 
					
| [9] | 
							 | 
					
| [10] | 
							 | 
					
| [11] | 
							 | 
					

				