作者简介: 符瑞云, 女, 1995年生, 北京林业大学材料科学与技术学院硕士研究生 e-mail: 458334147@qq.com
自然光中的紫外光在木材表面产生复杂的光化学反应, 是木材在自然环境中老化降解速度最快, 反应最强的化学过程。 基于近红外光谱(NIRs)技术探讨了落叶松表面材色在340 nm波长紫外光照射条件下的老化状况。 不同时间(180, 540, 900, 1 080 h)试材弦切面经紫外光人工老化后, 测量木材表面材色色度学指数, 并采集NIRs信息。 由NIRs二阶导数及其差谱图反映的信息, 定性分析和讨论了木材表面化学组分基团的变化; 定量建立基于偏最小二乘法(PLS)结合留一交叉验证的木材表面材色预测模型。 结果表明: (1) 随着人工老化时间延长, 木材表面明度值 L*降低, 红绿指数 a*与黄蓝指数 b*出现先增加后缓慢降低的趋势, 表明发色基团的形成随着紫外光照射时间的延长而减少, 在辐射时间540 h达到最大值, 此外, 色差值Δ E*与紫外光照射时间成正相关。 (2) NIRs二阶导数在6 996, 6 773以及6 287 cm-1等分别反映木材中纤维素非结晶区、 半结晶区和结晶区的光谱吸光度随着老化时间的延长而增加, 而5 986 cm-1反映木质素特征性谱带吸收峰随着紫外光老化时间的延长而降低, 表明木质素出现降解。 通过紫外光照射1 080 h与对照材的差谱分析发现, 纤维素和半纤维素基团的特征峰差谱值为正, 表明紫外光辐射后木材表面的纤维素和半纤维素相对含量增加, 而木质素基团特征峰差谱值为负, 表明经紫外光辐射后, 木质素的降解导致其相对含量减少。 这些结果与色度值测量结果相一致。 (3) 基于NIRs建立的紫外光照射落叶松表面材色预测模型中, L*交叉验证模型决定系数( R2)为0.949, 相对分析误差(RPD)为4.42; a*交叉验证模型 R2是0.928, RPD是3.73; b*的交叉验证模型 R2是0.831, RPD为2.43, 建立的材色预测模型满足预测要求。
Among environmental degradation of wood, photodegradation originated mainly by ultraviolet light is the fastest and the strongest chemical reaction process. This work on the base of near-infrared spectroscopy (NIRs) technology studied color changes of Larch wood surface irradiated by UV light with 340 nm wavelength. At different times (180, 540, 900, 1 080 h), the wood surface colorimetric index was measured and NIRs information was collected after ultraviolet light. Qualitatively chemical group changes of the wood surface were discussed according to collecting NIRs 2nd derivative spectra and their difference spectra. Quantitatively, the prediction of color the UV-irradiated wood surface were constructed using partial least squares regression method combined with leave-one-out cross-validation process. The results can be drawn as follows: (1) The color changes for UV light irradiated larix wood surface showed that lightness (Δ L*) decreases, whereas a* and b* showed increasing then decreased slowly, indicating chromatic groups formed and then decreased with prolonged irradiation time. Δ E* increase with increasing irradiation time. (2) The amorphous, semi-crystalline and crystalline wood surface occurred at the wavenumbers of 6 996, 6 773 and 6 287 cm-1, respectively increased with prolonged UV-irradiation time. The wavenumber at 5 986 cm-1 assigned to lignin, however, decreased with increasing UV light irradiation time to some degree. Furthermore, the difference spectra between 1 080 h UV light irradiation and control found that the positive values representing cellulose and hemicellulose showed quantitative increment, the negative value representing lignin showed a quantitative decrement in relative content, respectively. (3) The color prediction models established by NIRs information in combination with measuring the L*, a*, b* showed that the determined coefficient ( R2) and Ratio of performance to deviation (RPD) were 0.949 and 4.42, 0.928 and 3.73, 0.831 and 2.43 for L*, a* and b*, respectively. These results confirmed that the proposed models, especially L* and a* models, were perfectly suitable for the in-process inspections of the UV-irradiation wood surface color and chemical content changes.
自然光中的紫外光与木材中的化学基团进行光氧化反应导致木材化学组分分解或降解, 是木材变色、 降解、 老化的主要原因。 紫外光照射下, 木材产生两个光化学过程: 首先, 木质素中的苯环形成苯基自由基, 这些自由基被氧化为发色的醌类化合物; 其次, 木质素中愈疮木基甘油-β -芳基醚键断裂, 形成新的酚羟基以及酚羰基[1]。 有研究表明, 木材色度值变化与木质素降解和羰基等发色基团的形成呈正比[2]。
通常采用傅里叶变换红外光谱(FTIR)以及荧光光谱的分析方法对木材表面光降解机制进行研究。 使用FTIR技术观察木材表面光降解时, 由于取样厚度以及厚度的均匀性, 对分析结果产生很大的影响。 拉曼光谱在分析木材表面的光化学作用时, 由于木质素产生的荧光效应会使拉曼信号缺失。
近红外光谱(near infrared reflectance spectroscopy, NIRs)为范围12 500~4 000 cm-1、 波长介于可见光与红外光之间波段的光谱总称[3]。 Tong和Mo等曾通过NIRs技术, 成功分析和建立了热处理木材及竹材的表面材色定量预测模型[4, 5], 所得模型具有良好的预测性能。 Petrillo等通过NIRs研究了人工紫外光老化672 h云杉表面的变化, 结合主成分分析了早晚材老化后色度学指数的变化[6]。 Sandak等通过近红外高光谱成像技术研究了紫外光老化木材表面材色的时间效应以及早晚材差异, 发现木材中的早材降解速度快于晚材[7]。 本研究通过NIRs技术, 定性分析了紫外光照射落叶松木材表面化学组分的变化, 结合偏最小二乘法(partial least squares, PLS), 建立了化学组分变化与颜色之间的定量预测模型, 国内外尚未见相关报道。
树龄约50年的落叶松[Larix gmelinii (Rupr.) Kuzen.]气干材板材锯制成规格为70 mm(纤维方向)× 30 mm(弦向)× 5 mm(径向)的片状试样。 选择无树节、 早晚材分布均匀的试样共105件, 平均分为五组, 其中一组为对照, 其余四组试材在弦切面进行紫外光照射人工老化试验。
紫外老化测试采用美国Q-Lab公司生产的型号为QUV/SPRAY的人工加速紫外老化箱以模拟户外自然老化进程, 参照标准《ASTG G154-06》进行老化试验。 每个老化周期由8 h紫外辐射和4 h冷凝过程。 8 h的紫外辐射波长340 nm, 照射强度为0.89 W· m-2, 老化箱黑板温度为60 ℃; 冷凝阶段紫外灯自动关闭, 老化箱内部温度为50 ℃。 本实验中分别在老化时间180, 540, 900和1 080 h后取出试样用于后续的色度学等检测与分析。
通过色差仪(CM-2300d, Konica Minolta, INC, Japan)测量光老化木材各项色度学参数。 每个试样上取9个点测量色度学参数, 结果取平均值。 色度学参数Δ L* , Δ a* , Δ b* 参照CIE1976L* a* b* 系统确定, 总色差(Δ E* )表示光老化试材与对照组相应差值, 计算公式如式(1)
式(1)中: Δ L* , Δ a* 和Δ b* 分别表示试材老化前后的明度值差、 红绿值差和黄蓝值差。
采用MPA型近红外光谱仪(德国 Bruker)采集近红外光谱, 光谱采用直径为20 mm的积分球漫反射方式, 波谱范围8 000~4 000 cm-1, 分辨率为8 cm-1, 每个扫描点面积约7 mm2, 采用漫反射模式, 每个位点自动扫描次数为32次, 获得一张图谱。 落叶松试材弦切面上采集9个点扫描获得光谱信息, 结果取平均值。
将105块试材采集到的色度学参数(L* , a* , b* )与其对映的近红外谱图联立, 参数模型的样品数量比为校正模型:验证模型=2:1。 使用OPUS 7.6 (Bruker Optics, Germany)定量分析模块基于PLS建立落叶松颜色预测模型, 使用留一法交叉验证(leave-one-out cross validation)检验模型。 模型建立采用多种预处理方法: 矢量归一、 多元散射校正、 一阶导数。 选取决定系数(R2)、 校正均方根误差(RMSEC)、 交叉验证均方根误差(RMSECV)及相对分析误差(RPD)等指标对模型进行评价。
木材经180 h紫外光照射后, 颜色从黄褐色变成棕褐色, 继续经900和1 080 h照射后, 最终变为深褐色、 黑褐色。 不同老化时间后试材颜色变化的色度学指数(L* , a* , b* )变化见表1。
| 表1 未处理和光老化落叶松试材的色度学参数 Table 1 Chromaticity parameters of larch wood with and without ultraviolet light irradiation |
由表1可以看出, 随着照射时间的延长, 明度值L* 持续下降, 与对照材的72.01相比, 经1 080 h紫外光照射后, L* 值降至39.19, 表明落叶松表面的颜色加深约一倍。 与未处理材相比较, L* 值的变化分为两个阶段: (1)紫外照射时间180 h时, 变化较明显, 180 h→ 540 h变化不大; (2)照射时间达到1 080 h时, 再次发生明显的变化。 紫外光照射使木材表面a* 与b* 明显增加, 与对照材相比, 木材表面变红、 变黄, 照射540 h时达到最大值, 其后红色、 黄色略微变浅。 此外, 色差值Δ E* 与照射时间呈正相关, 随着照射时间的延长, a* 和b* 增加的趋势有所减弱。 上述结果表明, 紫外光照射下, 木材材色变红、 变黄、 材色加深。
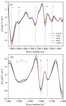
图1为谱带7 100~5 450 cm-1 (a)和谱带5 000~4 000 cm-1 (b)范围内未处理、 紫外光照射至1 080 h试材的NIRs二阶导数谱。 在NIRs区, 7 200~6 000 cm-1范围主要表征纤维素上羟基伸缩振动一次倍频, 6 000~5 400 cm-1范围主要表征脂肪族和芳香族C—H基团伸缩振动一次倍频与O—H基团的合频, 而5 000~4 000 cm-1谱带范围主要表征羟基伸缩振动与变形振动的合频、 以及与次甲基各种振动模式的合频[8]。
随着照射时间的延长, 照射时间180和540 h的试材两者吸光度之间差别变化不大, > 900 h时吸光度则发生明显的变化, 该结果与2.1中色度学的测量结果相一致。 图1(a)中, 从高波数往低波数方向, 观察到5个明显的吸收峰, 图1(b)中, 观察到4个明显的吸收峰(吸收峰归属如表2所示)。 在图1(a, b)中, 首先, 除d外, 所有的吸收峰随照射时间延长, 相应基团相对数量的增加。 其次, 谱带d为木质素芳香环骨架上C—H基团伸缩振动的一次倍频, 该吸收峰随着紫外光老化时间的延长而降低, 表明木质素相对含量减少, 木质素发生降解。 吸收带a, b, c, f和i归属于纤维素, 随光老化时间的延长, 吸光度增加, 表明试材中纤维素含量均呈上升趋势。 其中b, c和f谱带中由于结晶区和半结晶区O—H的伸缩振动, 纤维素含量上升的趋势相对不明显。
| 表2 落叶松典型吸收带归属 Table 2 Assignment of representative absorption bands in Larch wood |
通过对照材二阶导数谱带减去1 080 h试材二阶导数谱带, 获得NIRs二阶导数差谱, 见图2。 差谱体现木材化学组分相对含量的增加或减少, 正值表示相对含量的增加, 负值表示相对含量的减少。 图2(a, b)分别表示光谱范围7 100~5 450和5 000~4 000 cm-1的差谱(虚线)和二阶导数光谱(实线), 字母编号见表2。
图2(a)中, 二阶导数谱带出现的5个吸收峰谱带, 分别位于6 996, 6 773, 6 287, 5 986和5 800 cm-1处。 其中, 6 996 cm-1为纤维素的非结晶区自由羟基以及弱氢键结合的羟基伸缩振动一次倍频, 谱带6 773和6 287 cm-1分别表示纤维素半结晶区和结晶区羟基伸缩振动的一次倍频, 而5 800 cm-1则表示半纤维素中呋喃环上C—H伸缩振动的一次倍频。 上述表示木材纤维素以及半纤维素的各个吸收谱带特征峰差谱均为正值, 表明紫外光辐射使木材表面纤维素和半纤维素相对含量增加。 谱带5 986 cm-1处为木质素芳香环骨架上C—H伸缩振动一次倍频, 该处差谱值为负, 表明木质素相对含量降低。 图2(b)中, 二阶导数谱带出现4个吸收谱带, 分别位于4 852~4 667, 4 404, 4 281和4 019 cm-1处, 均归属于纤维素或半纤维素中相应基团的伸缩振动或者变形振动。 由差谱图(虚线)可知, 以上4个吸收谱带均为正值, 表明经紫外光照射后, 落叶松表面纤维素和半纤维素相对含量均有增加。 上述NIRs分析结果表明, 紫外光照射木材表面木质素发生降解, 而纤维素和半纤维素的相对含量则增加。 有研究表明, 木材表面经紫外光老化后, 以木质素为主, 纤维素和半纤维素将出现不同程度的降解[10]。 本研究中, 通过差谱观察到木质素降解、 相对含量减少外, 纤维素和半纤维等多糖类组分的解聚没有体现在NIRs所反映的信息中, 考虑该结果归结于木质素降解的速度较快, 而多糖类组分发生不同程度的解聚时, 由于速度较慢, 则随着木质素的降解, 多糖类组分相对含量增加。
PLS结合适宜预处理方法能减少基线漂移、 降噪等影响, 使建立的模型更稳健。 根据1.5节建模及评价方法, 选择低的RMSECV, 低维数, 高R2参数作为预测模型评价参数。 表3列出了落叶松材色预测模型的各项参数, 参考Zornoza等的研究总结[11]。
| 表3 落叶松试材颜色参数预测模型的各项参数 Table 3 Detailed parameters of color prediction models of larch wood |
在本研究中, 色度学参数L* , a* , b* 在适宜的光谱范围及预处理方法内所建预测模型的
对颜色参数测量-预测模型进行拟合得到线性关系图(图3)。 图中L* 和a* 预测值与测量值散点靠近斜率为45° 直线, 表明所构建的模型具有准确回归结果和良好的预测精度, b* 相对分散。 本研究对老化落叶松表面材色建立的NIRs定量预测模型, 满足木材颜色测定的要求。
使用NIRs对紫外光照射下落叶松木材表面化学基团的变化进行了定性分析, 基于PLS结合留一交叉验证建立材色定量预测模型。 结果表明: (1)900 h照射时, 木材化学组分的相对含量增加, 与色度学指数的变化相一致; (2)随着紫外光照射时间延长, 木材表面纤维素和半纤维素含量出现不同程度增加, 而木质素相对含量降低, 是木材发生颜色变化的主要原因; (3)对于建立的L* 和a* 预测模型, R2和RPD分别大于0.90和3, 预测结果优秀, 模型满足紫外光老化木材表面材色的预测要求分析测定。
本研究通过NIRs技术, 从定性和定量两个方面对紫外光老化落叶松木材的表面化学基团变化以及表面材色预测模型的建立和评价进行了研究。 随着紫外光照射时间的延长, L* 逐渐降低, 而a* 和b* < 540 h时逐渐增加, 之后则降低, 本实验结果与木材表面化学组分基团的变化以及对预测模型b* 的影响还有待于深入研究。
| [1] |
|
| [2] |
|
| [3] |
|
| [4] |
|
| [5] |
|
| [6] |
|
| [7] |
|
| [8] |
|
| [9] |
|
| [10] |
|
| [11] |
|

