作者简介: 于蕾, 女, 1996年生, 中国地质大学(武汉)珠宝学院硕士研究生 e-mail: 535118912@qq.com
颗粒大、 圆度高并具有浓郁颜色的淡水有核养殖珍珠(商贸名称为“爱迪生”珍珠)为珍珠市场提供了更高的品质与价值, 然而受利益的驱使, 染色的有核养殖珍珠也逐渐流入市场, 扰乱了消费者的健康消费, 在一定程度上阻碍了“爱迪生”珍珠产业的良性发展。 本文利用红外光谱仪、 紫外—可见分光光度计和光致发光光谱仪对养殖和染色“爱迪生”珍珠进行了系统的谱学研究, 并将其与海水珍珠、 染色海水珍珠进行了比较。 结果表明: (1)染色与养殖“爱迪生”珍珠在红外光谱上均显示1 445, 882和725 cm-1处的文石振动峰, 其中染色“爱迪生”珍珠在3 800 cm-1处均出现宽缓的弱吸收峰; (2)染色“爱迪生”珍珠的紫外可见光光谱中280 nm处的吸收峰明显弱于养殖“爱迪生”珍珠, 染色后的“爱迪生”珍珠整体反射率降低, 可能与染剂使珍珠中的蛋白质分子受损有关。 染黄色“爱迪生”珍珠缺失养殖橙黄色“爱迪生”珍珠在360~380 nm处的吸收峰, 而与染色海水金珠430 nm处的强吸收峰相似。 染黑色“爱迪生”珍珠在425 nm处有吸收峰, 染色海水黑珍珠在480和645 nm处有吸收峰, 养殖海水黑珍珠在702 nm处有吸收峰, 三者图谱的差异可能为各自的染料不同所致; (3)养殖“爱迪生”珍珠在光致发光光谱中450~550 nm范围内可见一组吸收峰, 染色“爱迪生”珍珠的发光中心向红区偏移且在650 nm附近出现强度不等的与染色剂相关的吸收峰, 染色海水金珠也在600 nm处有和染色剂有关的吸收峰。
Fresh water nucleated cultured pearls with large grain size, high roundness and rich color (the commercial name is “Edison” Pearl) provide higher quality and value for the pearl market. However, due to the trend of interests, dyed nucleated cultured pearls gradually flow into the market, which disturbs the healthy consumption of consumers and hinders the sound development of “Edison” pearl industry to a certain extent. In this paper, infrared spectrometer, ultraviolet-visible spectrophotometer and photoluminescence spectrometer were used to systematically study the spectra of cultured and dyed “Edison” pearls and compared with seawater pearls and dyed seawater pearls. The results showed that: (1) the dyed and cultured “Edison” pearls showed aragonite vibration peaks at 1 445, 882 and 725 cm-1 in the infrared spectrum, and the dyed “Edison” pearls showed a broad and weak absorption peak at 3 800 cm-1; (2) The absorption peak at 280 nm of dyed “Edison” pearls is obviously weaker than that of cultured “Edison” pearls, which may be related to the damage of protein molecules in pearls caused by dyes. After dyeing, the overall reflectivity of “Edison” pearls decreased. Dyed yellow “Edison” pearl lacks the absorption peak at 360~380 nm of cultured orange-yellow “Edison” pearl, which is similar to the strong absorption peak at 430 nm of dyed seawater gold beads. Dyed black “Edison” pearls have absorption peaks at 425 nm, dyed sea water black pearls have absorption peaks at 480 and 645 nm, and cultured sea water black pearls have absorption peaks at 702 nm. The difference between the three patterns may be due to their different dyes; (3) A group of absorption peaks can be seen in the range of 450~550 nm in the photoluminescence spectrum of cultured “Edison” pearls. The luminous center of dyed “Edison” pearls shifts to the red zone, and absorption peaks related to dyes appear around 650 nm with different intensities. Dyed seawater gold beads also have absorption peaks related to dyes at 600 nm.
“ 爱迪生” 珍珠是我国自主研发的内脏团型淡水有核养殖珍珠, 其母蚌为三角帆蚌, 是人为将一定规格的珠核和外套膜细胞小片植入其内脏团内, 随后珍珠囊外表皮分泌珍珠质和有机质覆盖在珠核上, 层复一层形成珍珠。 养殖周期一般在24个月以上, 直径多为9 mm以上, 常见11~13 mm, 最大可达到20 mm。 “ 爱迪生” 珍珠圆度好, 光泽强, 其绚丽的颜色更增添了养殖淡水珍珠的魅力, 深受消费者的喜爱, 弥补了外套膜型淡水养殖珍珠不够圆、 不够大和海水珍珠颜色相对单一的缺点。 正因为“ 爱迪生” 珍珠金属般的光泽和艳丽饱满的颜色为其带来的增值价值, 目前, 市场上涌现了一系列染色处理的有核养殖珍珠, 使得“ 爱迪生” 珍珠的市场鱼龙混杂。 经染色处理的有核养殖珍珠分为染色“ 爱迪生” 珍珠和染色海水珍珠。
前人对淡水养殖珍珠、 海水养殖珍珠和染色海水养殖珍珠进行了较为系统的宝石学及谱学测试[1, 2, 3, 4, 5, 6, 7], 并对其致色成因进行了解释, 然而对“ 爱迪生” 珍珠及染色“ 爱迪生” 珍珠的研究彰显不足。 本文以“ 爱迪生” 珍珠为基础, 采用常规宝石学仪器、 红外光谱仪、 紫外-可见分光光度计和光致发光光谱仪将“ 爱迪生” 珍珠与染色“ 爱迪生” 珍珠、 海水养殖珍珠、 染色海水珍珠的谱学特征进行了对比研究, 得出了一系列有价值的鉴别依据, 为“ 爱迪生” 珍珠市场的良性发展起到了积极的推动作用。
实验样品选用来自浙江诸暨的粉紫色、 橙黄色、 白色、 深紫色“ 爱迪生” 珍珠八颗(编号为1, 2, 3, 4, 6, 7, 8和9), 染黄色、 染紫色“ 爱迪生” 珍珠各两颗(编号为RAz-12, RAz-13, RAhg-15和RAhg-22), 染黑色“ 爱迪生” 珍珠三颗(编号为RAh-16, RAh-17, RAh-19), 染色海水金珠和海水金珠各一颗(编号为TRHS-10, RSHSr-24), 共17颗珍珠进行测试(图1)。
样品的宝石学特征部分采用天平、 密度仪、 紫外荧光灯对待测样品的重量、 密度、 LW和SW下的荧光特征进行测试, 并对待测样品的颜色、 光泽、 表面特征进行观察并拍照;
红外光谱测试采用BRUKER公司的Tensor27傅里叶红外光谱仪, 样品扫描时间和背景扫描时间均为16 scans, 扫描速度10 kHz, 分辨率4 cm-1, 保存数据400~4 000 cm-1, 采用反射附件对珍珠的分子结构进行鉴定;
紫外-可见吸收光谱测试采用PerkinElmer公司的Lambda650紫外可见分光光度计, 测量范围200~800 nm, 间距5 mm, 为珍珠的呈色机理以及对染色珍珠的鉴定提供有效信息;
光致发光光谱测试采用标旗光电公司的PL-Image, 激发光源405 nm, 积分时间100 ms, 平均次数10次, 平滑宽度3, 测试范围400~700 nm, 对养殖与染色珍珠的发光图谱进行测试并比较。
所有测试工作均在中国地质大学(武汉)珠宝检测中心广州实验室完成。
17颗珍珠样品的基本宝石学特征与测试结果见表1。
| 表1 17颗珍珠样品的宝石学特征 Table 1 The gemmology character of 17 pearls samples |
通过对珍珠样品的观察可以发现, 经染色后的“ 爱迪生” 珍珠和海水珍珠的光泽都较养殖“ 爱迪生” 珍珠和海水珍珠黯淡(图2)。 由于养殖珍珠的文石片层呈叠瓦状整齐堆积 , 其层间阶梯清晰明显, 对光的干涉能力强, 而染色珍珠由于受到化学侵蚀, 其文石层上有一定数量的微孔, 因而使珍珠的光泽下降。
| 图2 深紫色、 染紫色、 橙黄色、 染黄色“ 爱迪生” 珍珠和海水金珠、 染色海水珍珠的光泽Fig.2 The luster of deep purple, dyed purple, orange, dyed yellow “ Edison” pearls and golden seawater pearl, dyed golden seawater pearl |
通过对珍珠样品的颜色观察也可以发现, 染黄色的“ 爱迪生” 珍珠颜色单一不灵动, 而染黑色的“ 爱迪生” 珍珠颜色分布不均匀(左下), 有色剂富集现象且晕彩极强(右上)。 “ 爱迪生” 珍珠样品有多种表面特征, 包括小尖包状凸起(左上)、 不规则褶皱(中上)等现象。 染黑色、 染紫色、 染黄色“ 爱迪生” 珍珠均存在叠瓦状生长结构(中下)和生长缺陷处染料富集(右下)的现象(图3)。
| 图3 “ 爱迪生” 珍珠与染色爱迪生珍珠的表面特征Fig.3 Surface characteristics of “ Edison” pearls and dyed “ Edison” pearls |
通过紫外荧光灯的测试可以观察到, 除白色“ 爱迪生” 珍珠有强蓝白色荧光外, 未经染色的有核养殖珍珠在长波(LW)和短波(SW)下均呈现无-弱的荧光; 染黄色“ 爱迪生” 珍珠在LW下显示中等强度的土黄色荧光, 染色海水金珠呈现强的黄白色荧光; 染黄色“ 爱迪生” 珍珠在SW下显示弱的土黄色荧光, 染色海水金珠呈现中等-强的橙黄色荧光(图4)。
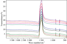
将不同颜色“ 爱迪生” 珍珠进行红外光谱测试, 它们的峰形、 峰位基本一致, 均在1 445, 882和725 cm-1处有振动峰, 其中1 445 cm-1最高峰为C— O非对称伸缩振动所致, 882 cm-1处为
将各色“ 爱迪生” 珍珠(上四)、 染色“ 爱迪生” (下三)珍珠与养殖海水金珠、 染色海水金珠(中二)的红外光谱图进行对比, 可以发现, 染色“ 爱迪生” 珍珠在3 800 cm-1处出现宽缓的弱吸收峰, 而养殖“ 爱迪生” 珍珠、 养殖海水金珠和染色海水金珠均无此现象(图5)。
2.3.1 淡水养殖“ 爱迪生” 珍珠的紫外-可见吸收光谱特征
养殖粉紫色“ 爱迪生” 珍珠的谱图中出现280 nm处的吸收峰和以500 nm为中心的吸收宽带, 由于黄绿区吸收, 透过了红区和紫区, 使珍珠呈现粉紫色(图6); 养殖橙黄色的“ 爱迪生” 珍珠的谱图中出现280 nm处的吸收峰、 360~380 nm处弱吸收峰和以480 nm为中心的吸收宽带, 由于蓝绿区吸收, 透过黄-红区, 使珍珠呈现橙黄色(图7)。
2.3.2 染色“ 爱迪生” 珍珠的紫外-可见吸收光谱特征
染黄色“ 爱迪生” 珍珠的谱图中出现280 nm处的弱吸收峰和以430 nm为中心强的宽吸收峰, 由于红区吸收, 透过了黄区, 使珍珠呈现金黄色; 染紫色“ 爱迪生” 珍珠的谱图中出现280 nm处的弱吸收峰和以530 nm为中心的吸收宽带, 由于黄绿区吸收, 透过了紫区, 使珍珠呈现紫色。
为了对比养殖“ 爱迪生” 珍珠和染色“ 爱迪生” 珍珠的差异, 将白色、 粉紫色、 紫色和染紫色“ 爱迪生” 珍珠的紫外荧光光谱图进行对照, 可以发现, 虽然养殖“ 爱迪生” 珍珠和染色“ 爱迪生” 珍珠均在280 nm处有吸收, 但养殖“ 爱迪生” 珍珠在此处的吸收峰更尖锐, 吸收强度更强。 且染紫色“ 爱迪生” 珍珠的反射率很低, 可能与染料颜色过深有关(图8); 将白色、 橙黄色、 染黄色“ 爱迪生” 珍珠的紫外荧光光谱图进行对照, 也可以发现养殖“ 爱迪生” 珍珠在280 nm处的吸收强度更强, 染黄色“ 爱迪生” 珍珠在430 nm处明显的吸收峰, 反射率仅为27%, 这也是染黄色“ 爱迪生” 珍珠颜色单一, 光泽黯淡的原因(图9)。
| 图8 白色、 粉紫色、 深紫色和染紫色 “ 爱迪生” 珍珠的紫外可见光谱图Fig.8 The UV-Vis absorption spectra of white, pink-purple, dark purple and dyed purple “ Edison” pearls |
| 图9 白色、 橙黄色和染黄色“ 爱迪生” 珍珠的紫外可见光谱图Fig.9 The UV-Vis absorption spectra of white, orange and dyed yellow “ Edison” pearls |
据前人资料, 蛋白质分子中含有共轭双键的酪氨酸、 色氨酸等芳香族氨基酸, 它们具有吸收紫外光的性质, 其吸收高峰在280 nm波长处。 珍珠是一种有机宝石, 有机成分包含壳角蛋白, 因此也可以在280 nm处产生吸收。 染色“ 爱迪生” 珍珠由于原本体色不佳, 需要后期加入大量的染剂使其具有饱和度高的颜色, 推测染剂的覆盖可能会使珍珠中的蛋白质分子受损, 因此在280 nm处较养殖“ 爱迪生” 珍珠的吸收强度弱。
2.3.3 “ 爱迪生” 珍珠、 海水珍珠及染色珍珠的紫外-可见吸收光谱对比
为了对比黄色调的“ 爱迪生” 珍珠和海水金珠及其他们的染色珍珠的颜色的成因, 选取橙黄色、 染黄色“ 爱迪生” 珍珠和海水金珠、 染色海水金珠的紫外可见光光谱图进行对照, 测试结果表明: 海水金珠在360和430 nm处出现两个明显的吸收峰, 且360 nm处的吸收强度大于430 nm处。 染色海水金珠和染黄色“ 爱迪生珍珠” 均在430 nm处有明显吸收峰, 两者的图谱相似, 推测它们的染色剂可能相似, 且430 nm处的强吸收, 可以作为染黄色珍珠的检测依据(图10)。
| 图10 橙黄色、染黄色“ 爱迪生” 珍珠和海水金珠、染色海水金珠的紫外可见光谱图Fig.10 The UV-Vis absorption spectra of orange, dyed yellow “ Edison” pearl, golden Seawater pearl and dyed golden Seawater pearl |
将染黑色“ 爱迪生” 珍珠与海水黑珍珠和染色海水黑珍珠进行对比, 发现养殖海水黑珍珠有702 nm处的吸收峰, 而染色后的黑珍珠均没有此处的吸收峰。 且染色海水黑珍珠在480和645 nm处有吸收峰, 染黑色“ 爱迪生” 珍珠在425 nm处有吸收峰, 均与天然海水黑珍珠的图谱有差异, 可能为各自的染料不同所致, 由此可以区分养殖海水黑珍珠与染黑色的有核养殖珍珠(图11)。
橙黄色、 白色、 粉紫色和紫色的养殖“ 爱迪生” 珍珠在光致发光光谱上表现相似, 均在450~550 nm的范围内可见一组吸收峰, 其中480, 522和550 nm处为主要吸收峰(图12)。 黄色、 紫色和黑色的染色“ 爱迪生” 珍珠均在650 nm附近出现强度不等的与染色剂相关的吸收峰, 染黄色“ 爱迪生” 珍珠在此处的吸收峰较弱, 猜测为染色剂的强荧光反应(图4)将其覆盖所致(图13)。
| 图12 白色、橙黄色、粉紫色、深紫色 “ 爱迪生” 珍珠的光致发光光谱图Fig.12 The PL spectra of white, orange, pink-purple, dark purple “ Edison” pearls |
| 图13 染黄色、染紫色、染黑色“ 爱迪生” 珍珠的光致发光光谱图Fig.13 The PL spectra of dyed yellow, dyed purple, dyed black “ Edison” pearls |
为了对比养殖“ 爱迪生” 珍珠和染色“ 爱迪生” 珍珠的差异, 将白色、 粉紫色、 紫色和染紫色“ 爱迪生” 珍珠的光致发光光谱图进行对照, 可以发现, 染紫色“ 爱迪生” 珍珠的图谱有两个峰值, 左峰(470 nm)高于右峰(650 nm), 与养殖“ 爱迪生” 珍珠有明显差异(图14)。 将白色、 橙黄色和染黄色“ 爱迪生” 珍珠的光致发光光谱图进行对照可以发现, 染黄色“ 爱迪生” 珍珠的发光中心为585 nm, 较养殖“ 爱迪生” 珍珠的发光中心向红区偏移(图15)。
| 图14 白色、 粉紫色、 深紫色和染紫色 “ 爱迪生” 珍珠的光致发光光谱图Fig.14 The PL spectra of white, pink-purple, dark purple and dyed purple “ Edison” pearls |
| 图15 白色、 橙黄色和染黄色“ 爱迪生” 珍珠的光致发光光谱图Fig.15 The PL spectra of white, orange and dyed yellow “ Edison” pearls |
为了将“ 爱迪生” 珍珠与海水有核珍珠进行对比, 选取橙黄色“ 爱迪生” 珍珠、 染黄色“ 爱迪生” 珍珠、 养殖海水金珠和染色海水金珠进行光致发光光谱图的对照, 可以发现, 除染黄色“ 爱迪生” 以外, 其余三者的发光中心均在500 nm左右, 染色海水金珠也在600 nm处有和染色剂有关的吸收峰(图16)。
(1) 经染色后的“ 爱迪生” 珍珠和海水珍珠的光泽都较养殖“ 爱迪生” 珍珠和海水珍珠黯淡。 除白色“ 爱迪生” 珍珠有强蓝白色荧光外, 未经染色的有核养殖珍珠在长波(LW)和短波(SW)下均呈现无-弱的荧光。 染黄色“ 爱迪生” 珍珠在LW下显示中等强度的土黄色荧光, 染色海水金珠呈现强的黄白色荧光; 染黄色“ 爱迪生” 珍珠在SW下显示弱的土黄色荧光, 染色海水金珠呈现中等-强的橙黄色荧光。
(2)染色与养殖“ 爱迪生” 珍珠在红外光谱上均显示1 445, 882和725 cm-1处的文石振动峰, 其中染色“ 爱迪生” 珍珠在3 800 cm-1处均出现宽缓的弱吸收峰, 该峰的归属尚待研究。
(3)染色“ 爱迪生” 珍珠的紫外可见光光谱中280 nm处的吸收峰明显弱于养殖“ 爱迪生” 珍珠, 可能与染剂使珍珠中的蛋白质分子受损有关。 染色后的“ 爱迪生” 珍珠整体反射率降低。 染黄色“ 爱迪生” 珍珠缺失养殖橙黄色“ 爱迪生” 珍珠在360~380 nm处的吸收峰, 而与染色海水金珠430 nm处的强吸收峰相似, 可以作为染黄色珍珠的检测依据。 染黑色“ 爱迪生” 珍珠在425 nm处有吸收峰, 染色海水黑珍珠在480和645 nm处有吸收峰, 海水黑珍珠在702 nm处有吸收峰可以作为诊断依据, 三者图谱的差异可能为各自的染料或色素不同有关。
(4)养殖“ 爱迪生” 珍珠在光致发光光谱中450~550 nm范围内可见一组吸收峰, 染色“ 爱迪生” 珍珠的发光中心向红区偏移且在650 nm附近出现强度不等的与染色剂相关的吸收峰, 染色海水金珠也在600 nm处有和染色剂有关的吸收峰。
对于“ 爱迪生” 珍珠及染色处理有核珍珠的鉴别需要多种方法综合评判, 不同仪器光谱中出现的与染剂有关的特殊峰的指证还需进一步研究。
| [1] |
|
| [2] |
|
| [3] |
|
| [4] |
|
| [5] |
|
| [6] |
|
| [7] |
|

