作者简介: 王雨嫣, 女, 1996年生, 中国地质大学(武汉)珠宝学院硕士研究生 e-mail: Alicia_Wangyuyan@163.com
颜色不稳定黄色蓝宝石广泛存在市场中, 如何有效鉴别颜色不稳定黄色蓝宝石的特征是当前宝石学研究的热点。 利用改色实验、 紫外-可见光谱(UV-Vis)、 三维荧光光谱对颜色不稳定黄色蓝宝石进行深入的谱学特征研究。 改色实验表明斯里兰卡黄色蓝宝石中部分存在光致变色的现象, 短波紫外光会导致样品着色, 而太阳光会导致样品褪色。 紫外光照后黄色蓝宝石的颜色由稳定部分和不稳定部分共同组成。 颜色不稳定蓝宝石的“着色态”和“褪色态”紫外-可见光谱可见明显的蓝紫区吸收, 这可能与蓝宝石中O2-—Fe3+的电荷转移有关, 导致了蓝宝石稳定的黄色调。 蓝宝石的紫外-可见光谱在“着色态”相比“褪色态”可见明显的蓝紫区吸收增强, 可能由于紫外光照射增强了O2-—Fe3+之间的电荷转移。 紫外-可见光谱测试表明样品中具有弱的与Fe有关的吸收峰, 这与样品含有较低的Fe含量一致, 不足以产生稳定黄色调。 三维荧光光谱分析结果表明颜色不稳定黄色蓝宝石的“着色态”和“褪色态”具有一致的激发光波长Ex=325~335 nm、 发射光波长Em=560~570 nm的特征荧光中心, 在“着色态”时的荧光强度明显高于“褪色态”。 含铁黄色蓝宝石具有荧光效应且特征的荧光中心可作为识别这种颜色不稳定黄色蓝宝石的潜在鉴定手段。 综合报道了颜色不稳定黄色蓝宝石的谱学特征与可能的颜色成因, 为识别颜色不稳定的蓝宝石提供了鉴定依据, 同时为后续改色处理的工艺提供了理论基础。
Yellow sapphires with unstable color are widely available in the market. How to effectively identify the characteristics of color unstable yellow sapphires is a hot topic in gemological research. In this paper, color-changing experiment, Ultraviolet-visible spectroscopy and 3D fluorescence spectroscopy were employed to study spectral characteristics of color-stable yellow sapphires. The color-changing experiment revealed that a part of yellow sapphires from Sri Lanka have unstable color, showing a photochromic phenomenon. Short-wave ultraviolet light dyed the original color, while sunlight faded the original color. The color of yellow sapphire after ultraviolet light is composed of stable part and unstable part. Color-unstable sapphire in the “colored state” and the “faded state” both showed blue-violet region absorption in the UV-Vis spectrum, which was likely related to the charge transfer of O2--Fe3+, causing the stable yellow coloration of sapphire. The UV-Vis spectrum of sapphire with obvious color changes showed a significant absorption enhancement in the blue-violet region in the “colored state” compared to the “faded state”, which might attribute to ultraviolet irradiation enhancing the charge transfer between O2--Fe3+. The UV-Vis spectroscopy result showed that samples had a weak Fe-related absorption peak, consistent with low Fe content. The low Fe concentration in the yellow sapphire is not enough to produce a stable yellow in color. 3D fluorescence spectra results revealed that the samples in “colored state” and “faded state” had the same fluorescence center (excitation wavelength=325~335 nm and emission wavelength=560~570 nm). The fluorescence intensity in the “colored state” is much higher than that in the “faded state”. Iron-containing yellow sapphire has a fluorescent effect, and the characteristic fluorescent center can be used as a potential identification characteristic to identify color-unstable yellow sapphire. This paper comprehensively reports the spectral characteristics and possible color causes of unstable yellow sapphires, providing potential identification characteristic to identify color-unstable yellow sapphire and a theoretical basis for the subsequent color modification process.
黄色蓝宝石是目前被报道存在颜色不稳定现象最为明显的名贵宝石之一。 宝石的颜色不稳定是指宝石暴露在紫外光或者日光下产生肉眼可见的颜色变化的现象。 宝石的颜色不稳定现象早在1981年就受到关注, Schiffmann[1]报道过一颗产自斯里兰卡的黄色蓝宝石在365 nm紫外光下照射36 h后发生明显褪色至浅黄色。 近年来, Cara Williams等[2]2016年报道了一颗未知产地的黄色蓝宝石在低温加热后颜色从黄色变成无色, 当无色蓝宝石暴露于长波紫外光或日光下一段时间后又恢复成黄色。 2018年Michael S Krzemnicki等[3]发现这种颜色不稳定的现象在颜色类帕帕拉恰的蓝宝石中也有出现。 这种颜色不稳定的现象极大的影响了宝石的商业价值, 不利于市场稳定。 如何有效鉴别这种颜色不稳定宝石, 什么会导致宝石颜色不稳定现象的产生是当前宝石学研究的重要课题。
斯里兰卡是黄色蓝宝石重要的产地, 此地产出的颜色不稳定黄色蓝宝石广泛出现于市场中, 但很少受到关注。 有限的研究曾对比了多个产地多种颜色的两百多颗蓝宝石的颜色稳定性, 发现产于斯里兰卡和马达加斯加的颜色不稳定黄色蓝宝石比例较大[4]。 越来越多的研究成果揭示出黄色蓝宝石的颜色不稳定现象后, 仍只有少数的检测机构针对黄色蓝宝石颜色增加了持久性测试[3], 依次用相当于日光的100 W光源与6 W的紫外灯对样品进行照射, 通过肉眼评级、 白光下拍照记录并测试其UV-Vis光谱, 对比不同阶段下样品颜色的差别。 尽管检测机构增加了颜色不稳定性测试, 并可识别出颜色不稳定的宝石, 但时间慢、 效率低, 且可能产生样品送检与还样时颜色不符的情况, 容易引起商业纠纷。
无损谱学技术可针对宝石进行的快速无损鉴定和鉴别, 在宝石光谱分析中利用最为广泛的有紫外可见光谱、 红外光谱和拉曼光谱, 分别对研究对象的颜色成因[5]、 分子结构[6]和矿物成分[7]进行研究, 从而应用于宝石品种的确定、 合成、 优化处理和产地的鉴定。 然而, 以上光谱学手段针对颜色不稳定的宝石尚未发现诊断性鉴别特征。 三维荧光光谱受不同光源激发, 其特性参数可以反映样品结构的性质, 能很好的指示样品中结构缺陷的类型, 是用来鉴定和识别特有色心的标识。 自然界中, 无色蓝宝石和由Fe3+强猝灭剂致色的黄色蓝宝石, 在激发源的作用下通常不发光, 但当晶格内存在辐射损伤心时, 则可诱导发光[8]。
因此, 本文通过利用三维荧光谱分析并结合颜色不稳定测试实验和“ 着色态” 与“ 褪色态” 紫外可见光谱的差异, 对颜色不稳定的黄色蓝宝石进行初步分析, 旨在解释颜色成因并寻找一种快速、 无损、 有效的识别方法, 为有效鉴别颜色不稳定宝石的特征并对探讨其颜色不稳定成因提供一定的基础资料。
本次研究样品来自于斯里兰卡, 共收集不同颜色饱和度的黄色蓝宝石14颗(图1)。 样品为刻面形切工, 折射率在1.758~1.765之间, 属于蓝宝石折射率范围。 研究样品的元素分析显示Al2O3的含量在97.9%~99.7%之间, 还含有可被检测的微量元素Fe, Ti, Mg, Ga和V。 元素含量根据Emmett等[3]的转换系数将ppmw转换成ppma。 样品中Fe含量为88~267 ppma, Mg含量在16~91 ppma之间, Ti和V的含量较低, 分别在7~75和0.5~5.1 ppma之间。 样品中还含有Ga元素, 含量5~20 ppma之间, 指示样品为非人工合成蓝宝石[10]。 对样品进行显微观察发现HS-1和HS-2分别含有盘状裂隙和羽状裂隙包裹体, HS-2的羽状裂隙中还存在黄褐色充填物质, 为典型的经过加热处理后包裹体爆裂氧化的特征(图2)。 对其他样品的显微观察未见加热处理后包裹体特征。
| 图1 黄色蓝宝石样品在“ 褪色态” (a)与“ 着色态” (b)的颜色对比Fig.1 Color of yellow sapphire samples showing in “ fading state” (a) and “ coloring state” (b) |
为了探究样品是否存在颜色不稳定现象, 本次研究设计了样品增色和褪色实验。 在增色实验中, 选取主波长为253 nm的紫外光为增色实验的光源。 在增色实验过程中, 将样品放置与光源距离约10 cm处的位置照射至颜色不再加深, 此时紫外光照射后的样品为“ 着色态” 。 随后在褪色实验中, 选用模拟太阳光组成的色温为4 000 K、 功率为5 W的LED暖白光作为褪色光源, 将样品放置于距离光源约10 cm处的位置进行照射至颜色不再变浅, 称为4 000 K LED暖白光照射后样品为“ 褪色态” 。 在改色实验前后分别通过拍照记录颜色。 为探究样品改色前后的颜色变化, 在实验中对样品“ 着色态” 与“ 褪色态” 分别进行紫外-可见分光光度计(UV-Vis)测试与三维荧光光谱测试, UV-Vis和三维荧光光谱测试均在中国地质大学(武汉)珠宝学院进行。 UV-Vis仪器型号为PerkinElmer Lambda 650s, 测试范围为250~800 nm。 荧光测试仪器型号为: JASCO FP-8500, 荧光激发范围在200~700 nm, 以5 nm为间隔单位依次照射样品。 荧光发射谱采集范围在220~750 nm, 扫描速度为2 000 nm· min-1, 响应时间0.5 s。 通过激发并收集样品发出的光线, 集合成3D谱图, 以此来观察样品在不同光源下发射的光谱分布与最强的荧光中心。 研究样品的化学成分测试在中国地质大学地质过程与矿产资源国家重点实验室采用激光剥蚀电感耦合等离子体质谱仪(LA-ICP-MS)分析完成。 激光剥蚀系统型号为GeolasPro, ICP-MS型号为Agilent 7500a, 本次分析的激光束斑为44 μ m, 频率为8 Hz。
在增色实验过程中, 将样品置于紫外光下1 h后, 其中13个样品发生了肉眼可见的明显改变, 均增加了不同程度的橙黄色调。 为达到最大增色程度, 逐步增加照射时长至4 h后颜色不再加深。 样品S-0在增色实验过程中未发生肉眼可见的变化, 两颗热处理的样品HS-1由深黄色转为深橙黄色, HS-2由浅蓝色转为橙黄色。 在随后的褪色实验中, 样品在4 000 K LED光源下放置若干小时后样品发生明显褪色, 增加照射时长至24 h后样品颜色达到最浅。 样品在颜色不稳定测试前后的结果如图1, “ 褪色态” 为上, “ 浅色态” 为下。
颜色不稳定测试实验结果表明黄色蓝宝石样品存在颜色不稳定的现象, 紫外光照射会显著增加黄褐色调, 而4 000 K LED光源或日光照射会对样品颜色产生“ 漂白” 作用。 这种颜色不稳定现象在无加热处理和有明显热处理痕迹的黄色蓝宝石中均可能存在。
黄色蓝宝石在“ 褪色态” 依然残余部分黄色调, 而在“ 着色态” 颜色加深, 表明该黄色蓝宝石的颜色可能分为稳定致色部分和不稳定致色部分。 稳定部分为在“ 褪色态” 也依然存在的浅黄色部分; 不稳定部分为紫外线照射后带有的橙黄色。 其中不稳定的颜色会受到光照影响而发生改变。 黄色蓝宝石体色颜色饱和度越高, 颜色增加的肉眼可区分度越不明显。 宝石的颜色是否稳定与颜色稳定和不稳定两部分的比例有关。 当颜色稳定的部分占主导地位时, 尽管宝石在不同光照条件下颜色变化有所改变, 但肉眼对其感知较弱, 如样品S-0, 仅凭视觉记忆时无法准确识别颜色变化, 可认为是颜色稳定的宝石。 当颜色中不稳定组分占主导地位时, 如样品HS-2, 出现明显的颜色变化, 由浅蓝白色转换为黄褐色, 为明显的颜色不稳定宝石。 颜色是否稳定与是否经过热处理没有必然联系, 热处理能增加稳定的颜色, 但不会影响样品已有的不稳定颜色组分。
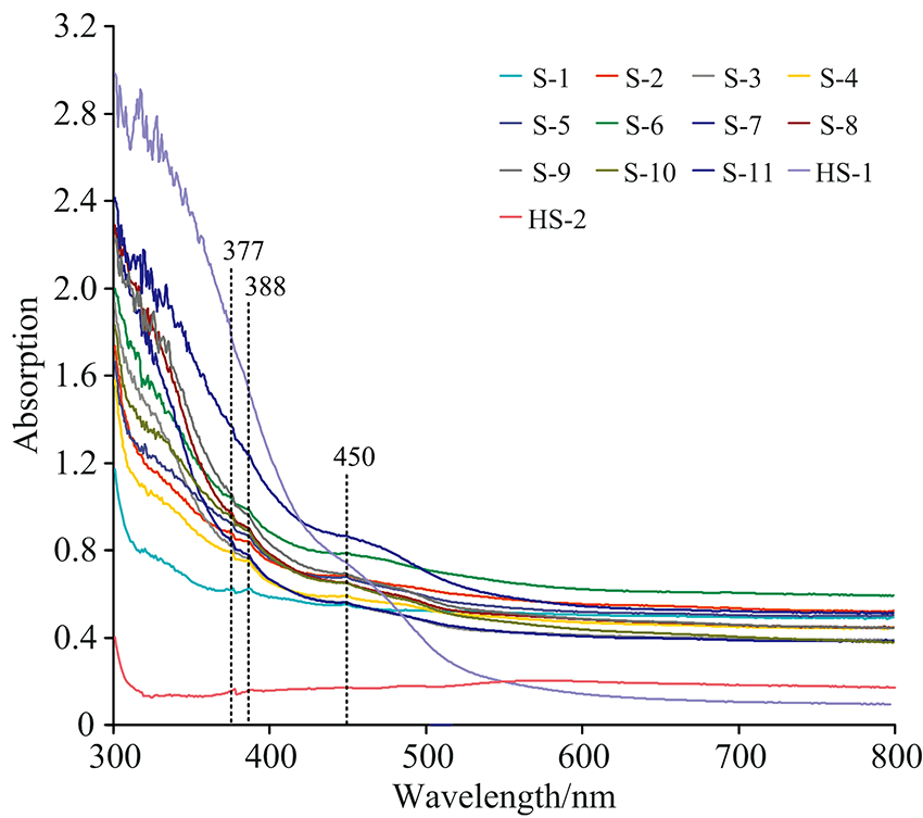
图3为13个颜色不稳定样品在“ 褪色态” 的紫外可见光谱。 所有样品在蓝紫区均呈现宽缓的吸收弱带, 无明显吸收峰。 紫外可见光谱中在蓝紫区整体的吸收带可归属为蓝宝石晶体中由于O2-与Fe3+之间的电荷转移引起的从紫外区延伸至可见光区的吸收[11]。 其中11个未经过热处理样品的主要吸收弱峰集中在377, 388和450 nm处, 部分样品的峰值发生微小偏移。 这三个峰分别归属于蓝宝石晶体八面体场中Fe3+的6A1— 4E(4D), 6A1— 4T2(D), 6A1— 4E1+4A1(4G)的谱项跃迁[8], 其中377和450 nm的吸收峰是由Fe3+-Fe3+离子对置换了刚玉中相邻的两个Al3+所致[12, 13], 388 nm的尖峰被认为是单个的Fe3+置换了刚玉中的Al3+所致[13, 14]。 图4为代表性样品紫外光照射处理前后的UV-Vis对比谱图。 两颗热处理的样品HS-1和HS-2在“ 褪色态” 分别为浓黄色和无色, HS-1在377和388 nm没有吸收, 而在371与373 nm有微小吸收, 在450 nm附近有宽缓的吸收带(图4e)。 HS-2在378与390 nm处有吸收, 在450 nm处的吸收很弱[图4(f)]。 HS-2在560 nm为中心的波段有平缓的吸收带, 这部分归属于Fe2+-Ti4+离子对替换了刚玉中相邻的两个Al3+并发生电荷转移[9]。 样品中所有与Fe3+有关的吸收峰均很微弱, 表明样品Fe含量很低, 这与微量元素成分测试中低的Fe含量较为一致。
| 图4 部分样品改色前后UV-VIS吸收谱对比 AS-1表示样品S-1经过紫外光照射后呈“ 着色态“ 时, S-1表示样品在“ 褪色态” 时, 下同Fig.4 UV-Vis spectrum of some samples in “ coloring state” and “ fading state” |
由于黄色蓝宝石的多色性表现的不明显, 所以尽管存在刻面宝石在测试UV-Vis时样品放置的角度对测试结果有一定的影响, 但影响较小。 在经过增色处理后, 有明显颜色变化样品在蓝紫区的吸收带均增强[如图4(a), (b), (f)], 而肉眼无明显颜色变化的样品在蓝紫区的吸收带则无明显增强[如图4(c), (d), (e)]。 样品在“ 褪色态” 体色黄色饱和度越大, 紫外光照处理后蓝紫区吸收增强越弱。 而在处理前后无颜色变化的样品S-0在蓝紫区的吸收带则无明显变化。 结合样品颜色前后的明显的颜色变化, 紫外光照处理后蓝紫区吸收增强的现象进一步佐证样品在受到紫外光辐照后增加的橙黄色调是由于样品中整体蓝紫区的吸收增强所致, 紫外光照射可能增强了样品内O2-与Fe3+之间的电荷转移, 从而增加了样品黄色调颜色不稳定部分。
绝大多数样品在450 nm处的吸收峰高度没有明显改变, 在388 nm处的吸收峰减弱甚至消失, 部分样品在377 nm处的吸收减弱, 这可能与蓝紫区域的吸收总体增强导致377和388 nm的吸收峰被掩盖有关。
在实验中发现研究样品有强橙红色荧光, 这与含铁的蓝宝石的荧光会受到抑制的现象不符[8]。 因此本次对所有样品进行了荧光光谱测试。 除颜色没有明显变化的样品S-0外, 所有样品在不同激发光波长下“ 褪色态” 与“ 着色态” 具有很明显的一致性, 存在激发光波长Ex=325~335 nm、 发射光波长Em=560~570 nm的特征荧光中心。 此外, 部分样品如S-1和S-7在激发光波长Ex=447~455 nm、 发射光波长Em=550~555 nm处存在荧光中心; 样品如S-5和S-3存在激发光波长Ex=425~420 nm、 发射光波长Em=574~575 nm的荧光中心。
值得注意的是, 颜色不稳定黄色蓝宝石在“ 褪色态” 与“ 着色态” 的荧光存在两个方面的差别。 一方面, 在Ex=200~220 nm时, “ 着色态” 相比“ 褪色态” 在276, 402, 466和526 nm处多出几组发射峰[图5(a), (b)]。 类似的荧光现象在合成和天然蓝宝石中较为常见, 多认为与Ti4+相关的局部和非局部电价补偿有关, 产生被称为“ chalky” 的视觉外观[14]。 该现象多在样品表面出现, 与Fe— O的电价转移有关, 且铁含量越高(高于200 ppma), 该现象越不明显[14]。 该现象的出现进一步证实紫外光照条件下产生的不稳定部分黄色调可能是由于Fe— O的电荷转移所致。 另一方面, 虽然颜色不稳定样品在“ 褪色态” 与“ 着色态” 下荧光中心位置(Ex=325~335 nm, Em=560~570 nm)没有发生明显改变, 但“ 着色态” 的荧光中心强度远大于“ 褪色态” 。 强度成数倍至数十倍的增加, 且两种色态下颜色变化越明显, 荧光中心强度也变化越明显。 在“ 褪色态” 和“ 着色态” 的荧光中心位置均为Ex=325 nm, Em=564 nm[如样品S-2, 图5(a)和(b)], 但荧光强度发生明显变化, “ 褪色态” 荧光强度为323, “ 着色态” 荧光强度为723, 相差近三倍。 然而, 颜色稳定样品经紫外光照与4 000 K暖白光照射后的荧光光谱中均没有出现明显吸收[如样品S-0, 图5(c)和(d)]。 颜色稳定与不稳定样品荧光强度对比结果表明当被测样品存在颜色不稳定特性时, 处于“ 褪色态” 或“ 着色态” 均会有这种荧光中心, 且位置不变, 但荧光强度存在较大的差别。 虽然目前对荧光中心产生的具体原因未知, 但含铁黄色蓝宝石具有激发光波长Ex=325~335 nm、 发射光波长Em=560~570 nm的特征荧光中心, 且荧光中心在“ 褪色态” 或“ 着色态” 均存在可作为识别这种颜色不稳定黄色蓝宝石的潜在鉴定手段。
(1)颜色不稳定测试实验研究表明, 来自斯里兰卡的黄色蓝宝石不管是经过加热处理还是自然样品, 均会存在颜色不稳定的现象。 短波紫外光会导致颜色不稳定蓝宝石着色, 而太阳光会导致其褪色。
(2)颜色不稳定黄色蓝宝石的颜色由稳定致色部分和不稳定致色两部分组成。 稳定部分为在“ 褪色态” 下存在的浅黄色部分, 可能与Fe3+和O2-与Fe3+之间的电荷转移叠加致色有关。 “ 褪色态” 与“ 着色态” 紫外可见光谱对比分析指示不稳定部分为紫外线照射赋予的橙黄色, 可能与紫外线照射增强了O2-与Fe3+之间电荷转移有关。 颜色不稳定黄色蓝宝石的颜色是否稳定与是否经过热处理没有必然联系, 热处理能增加稳定的颜色, 但不会影响样品已有的不稳定颜色组分的属性。
(3)颜色不稳定黄色蓝宝石在“ 褪色态” 与“ 着色态” 均存在明显的荧光效应且荧光中心的位置具有一致性, 但“ 着色态” 时的荧光强度明显高于“ 褪色态” 。 含铁黄色蓝宝石具有荧光效应且具有激发光波长Ex=325~335 nm、 发射光波长Em=560~570 nm的特征荧光中心可作为识别这种颜色不稳定黄色蓝宝石的潜在鉴定手段。
| [1] |
|
| [2] |
|
| [3] |
|
| [4] |
|
| [5] |
|
| [6] |
|
| [7] |
|
| [8] |
|
| [9] |
|
| [10] |
|
| [11] |
|
| [12] |
|
| [13] |
|
| [14] |
|

