作者简介: 郑裕东, 1993年生, 中国农业大学水利与土木工程学院博士研究生 e-mail: 15612771262@163.com
以大型喷灌机为平台的近地遥感技术可有效观测作物的生长状态, 对田间生产管理和作物水肥需求特性等研究具有十分重要的意义。 由于在遥感观测过程中, 作物冠层具有二向反射特性, 因此不同观测方式会影响遥感观测结果。 通过自行搭建的近地遥感系统模拟大型喷灌机平台的实地观测条件, 使用双通道光谱传感器获取小麦与玉米冠层的光谱反射率信息, 引入变异系数 CV对由冠层二向反射特性引起的信息数据变幅进行量化, 并采用影响因素权重 W分析各观测参数对数据变幅的影响程度。 通过获取2019年冬小麦返青期至灌浆期、 夏玉米V7—V14生育期的冠层近红外波段(810 nm)和红光波段(650 nm)的反射率数据, 分析多种观测因素对比值植被指数(RVI)数据和植被归一化指数(NDVI)数据的影响。 结果表明, 观测高度(0.5~2.5 m)、 观测频率(2~60次·min-1)和移动速度(0~4 m·min-1)与观测结果无显著相关关系( p>0.05), 观测时刻(8:00—18:00)、 观测天顶角(-60°~60°)和观测方位角(0°~180°)与观测结果相关关系极为显著( p<0.01); 小麦和玉米的冠层RVI、 NDVI数据获取结果主要取决于冠层覆盖程度, 在相同叶面积指数(LAI)情况下观测结果也会因观测时刻、 观测方位角和观测天顶角的差异而受到不同程度的影响; 冠层光谱反射率信息二向反射特性明显, 小麦冠层RVI和NDVI变异系数分别为15%~50%和2%~50%, 玉米冠层RVI和NDVI变异系数分别为10%~33%和18%~39%; 进行观测时, 应尽量选择在太阳天顶角较稳定的12:00—14:00时段, 并尽量缩短观测时长, 还应选择固定的观测角度, 注意阴影效应与热点效应的影响; 此外, 在小麦返青至拔节期、 抽穗至扬花期获取RVI和NDVI时, 还应分别注意观测天顶角、 观测时刻对测量精度的干扰。 研究结果可为快速获取高精度的小麦、 玉米冠层光谱反射率数据提供技术支撑。
Implement ground-based remote sensing technology in a large-scale sprinkler irrigation system can monitor crop growth status and has played an important role in detecting of crop water and nutrient demands and field management of crop production. Crop canopy has bidirectional reflectance characteristics, so different observation methods used in ground-based remote sensing will affect the accuracy of canopy spectral reflectance measurement. This study used a self-built ground-based remote sensing system to simulate the field observation conditions of large sprinkler irrigation machinery, obtained spectral reflectance information of wheat and maize canopy through multi-spectral optical sensors, and quantified the variation of the crop canopy information data caused by the canopy bidirectional reflection characteristics by the coefficient of variation CV, and analyzed the effect of the observation conditions on the crop canopy spectral reflectance measurements through influence factor weight W. Reflectance in the red band (650 nm) and reflectance in the near-infrared band (810 nm) of winter wheat at regreening to filling growth stages and summer maize at V7 to V14 growth stages were measured and recorded in 2019 season. Effect of various observation factors on the ratio of vegetation index (RVI) and the normalized index of vegetation (NDVI) was analyzed. Results showed that the correlation of observation height in 0.5~2.5 m, observation frequency in 2~60 min-1 and moving speed in 0~4 m·min-1 with the measurements of the canopy spectral reflectance characteristics were not significant ( p>0.05); observation time in 8:00—18:00, observation zenith angle at -60°~60°, and observation azimuth angle from 0° to 180° had an extremely significant correlation with the measurements ( p<0.01). Results of canopy spectral reflectance measurement for wheat and maize depended mainly on the degree of the canopy coverage. Under the same leaf area index (LAI), the canopy spectral reflectance would also be affected by the observation time, observation azimuth and observation zenith angle: canopy spectral reflectance had significant bidirectional reflection characteristics. In wheat crop, the coefficients of RVI and NDVI variation were 15%~50% and 2%~50%, respectively, while in maize, they were 10%~33% and 18%~39%, respectively. When measuring RVI and NDVI with wheat and maize crops, the desired time for the measurement could be 12:00—14:00 because the solar zenith angle is relatively stable. The observation angle should be in a fixed angle, and also the influence of shadow effect and hot spot effect should be noticed. When measuring RVI and NDVI of wheat during regreening to jointing stage and heading to the flowering stage, close attention should be paid to the effects of observation zenith angle and observation time, respectively. This study performed a quantitative analysis of measuring canopy spectral reflectance with wheat and maize crops. The results obtained in the study could provide technical support for accurate and effective measurement of the crop canopy spectral reflectance.
小麦、 玉米生长过程中的水肥亏缺会造成粮食减产。 作物冠层也会因生长状态的不同产生相应的变化, 以此为切入点, 通过人工手持或近地平台搭载光谱传感器快速获取作物冠层信息, 为作物的高效水肥管理提供决策, 及时缓解作物水肥亏缺问题, 是目前近地遥感研究的重要方向。 国内外学者已在设备选择与布设[1, 2, 3]、 观测系统搭建[4, 5]与诊断模型建立[6, 7, 8]等方面开展了较多研究。 由于大型自走式喷灌机具有自动化程度高、 覆盖面积广等优点, 因此亦有将大型喷灌机作为平台进行作物冠层的近地遥感观测研究[9]。 作物冠层具有复杂的立体结构, 对光谱具有二向反射特性, 会造成光谱反射率数据与实际偏离。 为此, 有学者选取特定的观测天顶角构建了诊断模型, 如Feng等[10]研究了作物植被指数与叶氮含量的关系, 提出了新的叶氮含量预测模型, 降低了-30° ~0° 之间观测天顶角的干扰; Song等[11]发现主平面后向区域观测天顶角40° 条件下构建的氮素诊断模型具有较高的预测精度。 同时, 也有学者将研究重点关注在观测方式对冠层信息数据的影响方面, 如Sun[12]在不同观测天顶角条件下测量水稻冠层光谱反射率, 发现水层深度和LAI可影响冠层反射率的各向异性; 郭建茂[13]利用地面遥感系统连续观测冬小麦冠层, 发现在不同观测天顶角、 方位角下的冠层NDVI与增强型植被指数(EVI)具有相似变化趋势。
由此可见观测条件给冠层光谱测量的干扰增加了数据的不确定性。 目前已开展的研究多以单个参数的观测条件为主, 且只对有限观测因素进行定性分析, 缺乏对各观测条件下作物不同生育期冠层光谱数据变化的定量分析。 为此, 本工作模拟大型喷灌机观测条件搭建近地遥感系统, 以高效、 快捷地获取冬小麦和夏玉米的冠层光谱数据, 通过变异系数和权重分析方法量化在不同观测天顶角、 观测方位角、 观测高度下作物冠层RVI和NDVI数据的变化情况, 并分析观测条件对数据变化的影响程度, 从而掌握关键冠层光谱信息的变化规律, 为快速获取高精度的冠层信息数据提供指导。
试验地点位于中国农业大学通州实验站(39° 41'59″N、 116° 41'01″E), 属温带大陆性半湿润季风气候, 海拔21 m, 年平均温度11.3 ℃, 年平均降水量620 mm, 土壤类型为砂壤土, 肥力中等。 受试小麦和玉米进行正常水肥管理, 品种分别为农大211和农大86。 在长势均一的农田内选择三块5 m× 5 m的观测小区, 于2019年4月14日(返青期)、 4月30日(拔节期)、 5月4日(抽穗期)、 5月13日(扬花期)、 6月2日(灌浆期)进行小麦冠层观测, 7月23日(V7期)、 7月27日(V9期)、 8月1日(V11期)、 8月8日(V12期)和8月19日(V14期)进行玉米冠层观测。 观测时天气晴朗无风、 无云或少云。 使用SRS-NDVI传感器(Decagon Devices, Inc. USA)测得冠层近红外波段(810 nm)和红光波段(650 nm)的反射率, 视场角36° ; 使用CR300数据采集器(Campbell Scientific, Inc. USA)设置采集频率及时间, 并存储数据。
试验时搭建了观测系统[图1(a)]用于还原大型喷灌机实地观测条件, 传感器固定在观测系统平台的支架梁上, 可调整观测角度和高度; 平台底座装有滑轮, 便于在固定轨道上移动。 试验参数包括传感器观测方向与天顶方向的夹角θ (观测天顶角)、 观测平面与主平面的夹角φ (观测方位角)、 传感器距地面的垂直距离H(观测高度)、 当日的采集时刻t(观测时刻)、 作物生育期T(观测时期)、 冠层信息采集频率f(观测频率)和观测时传感器的移动速度v(移动速度)。 图2为天顶角与方位角示意图, 观测方向所在直线与Z轴相交, 二者所处平面为观测平面, 太阳与Z轴所处平面为主平面, 观测平面与主平面的夹角为φ , 试验时要求太阳高度角不小于10° 。 试验采用单因素法进行观测, 设计参数如表1所示, 移动速度依据大型喷灌机行走速度范围确定; 考虑到作物冠层二向反射率的各向异性和观测视场内组分的变化情况, 试验利用主平面内45° 天顶角的观测条件, 每组因素的观测时间控制在0.5 h内完成。 通过长宽系数法测得叶面积指数(LAI), 小麦、 玉米的各生育期LAI如表2所示。
| 图1 观测系统及设备 (a): 观察场所; (b): SRS-NDVI传感器; (c): CR300数据采集口Fig.1 Observation system and equipment (a): Observation site; (b): SRS-NDVI sensor; (c): CR300 data collector |
| 表1 试验参数 Table 1 Experimental parameters |
| 表2 小麦、 玉米各生育期的LAI Table 2 LAI of wheat and maize in each growth stage |
试验获取的冠层光谱数据包括比值植被指数RVI和植被归一化指数NDVI, 其计算公式如式(1)和式(2)
式中: RNIR为近红外波段的冠层反射率数据; RRED为红光波段的冠层反射率数据。
通过引入变异系数CV评估各观测参数对冠层RVI和NDVI数据的影响程度[15], 并在此基础上获得观测参数的影响因素权重W; CV和W的计算公式如式(3)— 式(6)
式中: σ 是标准偏差; μ 是平均值; N是某类数据的样本数量; xi是某类数据中第i个(i=1, 2, 3, …, N)样本数据; Wj是某类数据在特定条件下对变异系数的影响因素权重; M是数据的种类数量; CVj是第j类(j=1, 2, 3, …, N)数据在该特定条件下的变异系数。
以小麦灌浆期、 玉米V12时期为例, 通过Person相关性分析获得RRED, RNIR与各观测参数之间的相关系数(表3), 其中观测时刻换算为太阳天顶角进行计算。 由表3可知, 观测高度、 观测频率、 移动速度对冠层信息数据无显著相关关系(p> 0.05), 观测时刻、 观测天顶角、 观测方位角与小麦和玉米冠层RRED, RNIR相关关系极显著(p< 0.01), 以上结果由冠层二向反射特性引起, 即冠层反射率不仅与其形态结构和光谱特征有关, 还与光的入射角度和反射角度有关。
| 表3 冠层光谱信息与观测条件的相关系数 Table 3 Correlation coefficient of canopy spectral information and observation conditions |
2.1.1 RRED, RNIR随观测条件的变化
小麦、 玉米的冠层RRED和RNIR日变化趋势如图3所示, 两者趋势基本一致: 正午时刻太阳天顶角最小, RRED和RNIR处于当日最小值。 随着太阳天顶角增大, 叶片对太阳光产生了更多地拦截与散射, RRED和RNIR逐渐增加。 随着LAI增大, 视场内非叶片组分比例下降, RNIR增大, RRED降低。 由于近红外对太阳天顶角的敏感性较红光弱, 并且太阳天顶角增大使投射到土壤和叶片背景内的阴影组分比例增加, 因此稀疏冠层RRED增速大于稠密冠层。
观测方位角对玉米和小麦冠层RRED和RNIR的影响如图4所示, 小麦与玉米的RRED和RNIR变化趋势相近。 当视场从前向观测区域(0° ~90° )移动至后向观测区域(90° ~180° ), 视场内的阴影比例减小, 光谱反射率增大; 并且随着LAI增大, 此变化趋势愈发明显[11]。 同时由于近红外波段具有较强的反射、 透射和散射能力, 其反射率随方位角的变化幅度小于红光波段, 但是与小麦植株密度(37万株/亩)相比, 玉米植株密度(5 500株/亩)较低, 会影响近玉米红外波段的散射及反射, 使其RRED和RNIR的变化幅度差异较小。
| 图3 冠层RRED和RNIR日变化趋势 (a): 小麦; (b): 玉米Fig.3 Daily trend of canopy red light and near infrared reflectance (a): Wheat; (b): Maize |
| 图4 不同观测方位角下的冠层RRED和RNIR分布 (a): 小麦; (b): 玉米Fig.4 Distribution of canopy red light and near infrared reflectance under different view azimuth angles (a): Wheat; (b): Maize |
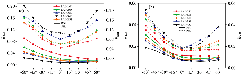
图5显示了不同观测天顶角条件下玉米和小麦的冠层RRED和RNIR变化规律。 由于阴影效应及热点效应, 整体上RRED和RNIR在前向观测区域(0° ~60° )小于后向观测区域(-60° ~0° ), 但近红外波段较强的透射及散射能力减少了视场中的阴影比例, 使其在前、 后向观测区域分布更为对称[图5(a)]。 在近红外波段, 其反射率呈“ V” 型分布, 并且整体上随天顶角增大而增大, 同时由于在视场最低点(天顶角为0° )处的非叶片组分比例最大, RNIR处于最小值; RNIR随着LAI增大而增大, 且对天顶角的敏感性增强。 由于玉米较小的植株密度在生长前期(LAI为0.85和1.95)影响了近红外波段在冠层中的散射及透射, 在其前向观测区域内近红外波段对天顶角的敏感程度弱于小麦, 因此玉米RNIR在前、 后向观测区域未呈对称分布[图5(b)]。 小麦和玉米冠层的RRED整体上随着LAI增大而减小, 且在后向观测区域随着天顶角增大而增大, 在前向观测区域随着天顶角增大略有减小, 且减小幅度随LAI增大而减小, 这也是由阴影效应与红光本身散射及透射性能决定的。
| 图5 不同观测天顶角下的冠层RRED和RNIR分布 (a): 小麦; (b): 玉米Fig.5 Distribution of canopy red light and near infrared reflectance under different view zenith angles (a): Wheat; (b): Maize |
2.1.2 RVI和NDVI随观测条件的变化
小麦和玉米RVI和NDVI的日变化趋势如图6所示, 整体上二者随LAI增大而增大。 与前人研究结果相同[14], 在太阳天顶角最小时, 上述两种植被指数处于最大值。 由于可见光反射率的变化幅度大于近红外, RRED增幅大于增幅RNIR(图3), 因此RVI和NDVI随太阳天顶角增大呈减小趋势。 由线段斜率可知, 小麦和玉米RVI和NDVI对太阳天顶角的敏感性随LAI增大而增强, 因此获取植被指数数据时应尽量缩短观测时间, 以减小太阳天顶角的影响。
图7给出了观测方位角对玉米和小麦RVI、 NDVI的影响。 当视场从前向转为后向观测区域时, 由于RRED增幅大于增幅RNIR(图4), RVI和NDVI均呈减小趋势。 而且当LAI增大时, 由于RRED和RNIR增幅变缓(图4), 导致观测方位角对NDVI的影响减弱、 而对RVI影响增强。 图8给出了不同观测天顶角对玉米和小麦RVI和NDVI的影响, 在视场从后向移至前向观测区域的过程中, RVI和NDVI在整体上呈逐渐增大趋势, 这是由RNIR降幅小于RRED(图5)所致。 同时随着LAI增大, RRED降幅逐渐大于RNIR降幅(图5), 导致观测天顶角对NDVI的影响逐渐减弱、 对RVI的影响逐渐增强。
| 图7 不同观测方位角下的冠层RVI和NDVI分布 (a): 小麦; (b): 玉米Fig.7 Distribution of canopy RVI and NDVI under different view azimuth angles (a): Wheat; (b): Maize |
2.2.1 变异系数
表4给出了小麦、 玉米冠层在不同观测条件下RVI和NDVI数据的CV。 小麦和玉米冠层RVI的CV分别为15%~50%和10%~33%。 不同观测时刻下二者RVI的CV均与LAI成正比, 这主要是由RVI日变化幅度在生长过程中增大而引起的(图6)。 由于在LAI增长过程中RVI在不同观测方位角下变化幅度增大(图7), 不同观测方位角下小麦和玉米RVI的CV亦与LAI成正比关系。 不同观测天顶角下小麦RVI的CV与LAI成反比, 这主要是由于小麦生长初期(LAI为1.04)RVI均值接近于0造成[图8(a)], 随着LAI增大小麦RVI均值增加幅度大于由观测天顶角引起的RVI变化幅度, 致使CV逐渐降低; 与小麦相反, 由于玉米生长初期(LAI=0.85)RVI均值相对较大[图8(b)], 且随着LAI增大玉米RVI均值增加幅度小于由观测天顶角引起的RVI变化幅度, 因此不同观测天顶角下玉米RVI的CV与LAI成正比。
| 表4 不同观测条件下冠层光谱信息的变异系数 Table 4 CV of canopy spectral information under different observation conditions |
由表4可知, 小麦和玉米冠层NDVI的CV分别为2%~50%和18%~39%。 观测时刻、 观测方位角和观测天顶角对小麦和玉米冠层NDVI观测的影响类似, 由于在LAI增长过程中NDVI变化幅度小于NDVI均值增幅(图6— 图8), 因此小麦和玉米NDVI的CV随LAI增大均有减小趋势。 由以上可知, 小麦和玉米的冠层光谱信息获取结果主要取决于冠层覆盖状况, 并且在相同的LAI条件下, 冠层RVI和NDVI数据也会因观测时刻、 观测方位角和观测天顶角的差异受到不同程度的影响。
2.2.2 影响因素权重
表5给出了不同观测条件对小麦、 玉米冠层RVI和NDVI数据变化的影响权重。 随着LAI增大, 观测时刻对小麦冠层RVI、 NDVI的影响逐渐增大, 观测天顶角对其影响逐渐减小, 而观测方位角带来的影响几乎不变。 在玉米V7— V14阶段, 观测时刻、 观测方位角和观测天顶角对玉米冠层RVI和NDVI的影响程度大致相同。 因此在获取小麦冠层RVI和NDVI时应根据冠层覆盖度有所侧重, 即在返青至拔节期和抽穗至扬花期应分别注意观测天顶角和观测时刻对测量结果的影响。
| 表5 不同观测条件对冠层光谱信息的影响权重W Table 5 Influence weight W of different observation conditions on canopy spectral information |
对冬小麦返青期至灌浆期、 夏玉米V7— V14时期进行了近地遥感观测试验, 分析了各观测参数对作物冠层光谱反射率数据变化的影响程度。 对于小麦和玉米的冠层RVI和NDVI, 研究结果发现: (1)观测高度、 观测频率和移动速度对数据的影响可忽略不计。 (2)数据获取主要取决于冠层覆盖程度, 且在相同LAI情况下数据也会因观测时刻、 观测方位角和观测天顶角的差异而受到不同程度的影响。 (3)应尽量选择在太阳天顶角较稳定的12:00— 14:00时段进行观测, 并缩短观测时长, 此外还应选择固定的观测方位角和观测天顶角, 注意阴影效应与热点效应的影响。 (4)小麦RVI和NDVI变异系数分别为15%~50%和2%~50%, 玉米RVI和NDVI变异系数分别为10%~33%和18%~39%; (5)在小麦返青至拔节期和抽穗至扬花期应分别注意观测天顶角和观测时刻对测量结果的影响。 本文研究结果可为小麦、 玉米不同生长阶段的冠层光谱信息比对提供基准, 为快速获取其高精度的冠层信息数据提供技术支撑。
致谢: 美国农业部农业研究局可持续水管理研究所隋瑞秀老师从试验开展到文章内容修改均倾注了很多心血, 特此表示衷心感谢!
| [1] |
|
| [2] |
|
| [3] |
|
| [4] |
|
| [5] |
|
| [6] |
|
| [7] |
|
| [8] |
|
| [9] |
|
| [10] |
|
| [11] |
|
| [12] |
|
| [13] |
|
| [14] |
|

