作者简介: 王怡慧, 女, 1992年生, 中国科学技术大学环境科学与光电技术学院博士研究生 e-mail: yhwang@aiofm.ac.cn
HO x(OH, HO2)自由基是大气中重要的氧化剂, 准确测量大气HO x自由基的浓度对研究大气光化学反应机理有着重要作用。 气体扩张激光诱导荧光技术(FAGE)已广泛应用于HO x自由基的外场观测, 准确标定是FAGE系统准确测量大气HO x自由基的重要前提。 介绍了一种可以产生准确OH和HO2自由基浓度的便携式湍流标定系统。 该系统是基于低压汞灯产生的185 nm线辐射处于湍流状态的H2O和O2产生一定浓度的HO x自由基。 该系统中产生的自由基浓度分布均匀, 适用于多种平台的系统标定。 为了准确计算出湍流标定装置中产生HO x自由基的浓度, 分别开展了氧气和水汽吸收截面的测量。 利用高精度的腔衰荡光谱(CRDS)系统测量臭氧浓度, 并用冷镜式露点仪对温湿度计测量水汽的浓度进行修正, 提高标定系统HO x自由基浓度计算的准确度。 为了便携化湍流标定系统的外场应用, 快速获取标定系统中产生的HO x自由基的浓度, 测量了用于探测汞灯光强的光电倍增管的灵敏度因子, 实现用汞灯光强代替标定系统中产生的臭氧浓度。 考虑到HO x自由基的活性比较高, 在湍流标定系统传输的过程中会有一定的壁碰撞损失, 通过改变汞灯和标定装置出气口之间的距离对HO x自由基在标定系统中的壁碰撞损失进行定量测量。 将搭建好的湍流标定系统应用于基于气体扩张激光诱导荧光技术HO x自由基探测系统(FAGE-HO x)的准确标定测试, 根据OH自由基在标定系统中的壁碰撞损失对FAGE系统中探测的OH自由基荧光数进行修正, 实验结果表明修正后的OH自由基荧光数和OH自由基浓度之间有着良好的相关性, 这说明HO x自由基湍流标定系统具有很好的准确性, 并且体积小方便携带, 适用于外场复杂环境条件下的系统标定。
HO x radicals are important oxidants in the atmosphere. Accurate measurement of atmospheric HO x radicals plays an important role to study the mechanisms of atmospheric photochemical reactions. Gas expansion laser-induced fluorescence technology (FAGE) has been widely used in the field measurement of HO x radicals. Accurate calibration has always been an important prerequisite for the FAGE system to accurately detect atmospheric Hox radicals. A turbulent calibration system producing an accurate concentration of OH and HO2 radicals is developed in this work. It is based on the photolysis of H2O and O2 radiated by 185 nm UV light produced by a low-pressure mercury lamp. HO x radicals generated in the calibration system are uniformly distributed and suitable for system calibration on multiple platforms. The measurement of oxygen and water vapor absorption cross-sections were carried out to accurately calculate the concentration of HO x radicals in the turbulent calibration device. The high-precision cavity ring-down spectroscopy (CRDS) system was used to measure the ozone concentration, and a chilled mirror dew point meter was used to correct the concentration of water vapor measured by humidity & temperature probe to improve the calculation of HO x radicals concentration. In order to simplify the field application of the turbulent calibration system and quickly obtain the concentration of HO x radicals, the sensitivity factor of the phototube used to detect the intensity of mercury lamp was detected, and the relationship between mercury light intensity and ozone concentration was measured. There will be a certain loss during the transmission process of the turbulent calibration system. By changing the distance between the mercury lamp and the gas outlet of the calibration device, the loss of HO x radicals during the transmission process is a quantitative measurement in the turbulent calibration system. And then, the built-up turbulent calibration system is applied to the system, which is based on gas expansion laser-induced fluorescence technology (FAGE). The fluorescence signal of OH radical detected in the FAGE system is corrected according to the transmission loss of OH radical in the calibration system. The experimental result shows a good correlation between the corrected OH fluorescence signal and the concentration of OH radicals, which intimates that the turbulent calibration system has good accuracy. And the high accuracy and small size of the turbulent calibration system is more suitable for the field measurement of HO x radicals.
随着社会发展和城市化进程的加快, 工业排放、 农业生产、 人类生活等众多因素导致NOx和VOCs等前体物的浓度高[1], 以PM2.5和O3为特征的大气复合污染日益严重, 这其中一个重要原因就是大气氧化性的增强。 大气HOx(OH和HO2)自由基一直被认为是大气化学中最重要的氧化剂, 它们在对流层的光化学反应中起着催化作用[2]。 由于HOx自由基在大气中的高反应活性、 低浓度和低寿命等特点, 必须利用高灵敏度、 高时间分辨率的仪器对其进行探测。 目前气体扩张激光诱导荧光技术(FAGE)已广泛应用于HOx自由基的外场观测[3, 4, 5], 与差分光学吸收光谱技术(DOAS)[6]不同, FAGE需要对系统的探测灵敏度进行标定[7, 8]。 准确标定一直是FAGE系统准确测量大气HOx自由基的重要前提[9], 大气中OH和HO2自由基原位测量的准确度, 与标定方法的准确度密切相关。
用于系统复杂HOx源的标定技术主要包括低压流动管射频放电技术[10]、 激光光解臭氧技术[11]、 稳态臭氧烯烃技术[8, 12]和紫外同步光解H2O和O2[13, 14, 15]。 低压流动管射频放电技术主要原理是在低压流动管中微波放电产生H原子, 通过滴定技术H原子与NO2反应生成OH自由基。 这种技术需要在低压条件下进行, 操作比较复杂, 不适用于对流层仪器灵敏度的标定。 激光光解臭氧对系统OH进行标定是利用臭氧在248 nm被光解产生激发态的氧原子(O1D), O1D再与H2O反应产生OH自由基。 该种技术仪器体积过大, 操作不便且成本高。 稳态烯烃技术和激光光解臭氧技术测量精度较差, 标定过程耗时繁琐, 运用并不广泛。 紫外同步光解H2O和O2可以用于系统中OH和HO2的标定, 利用这种标定技术搭建的仪器可以实现仪器小型化和便携式, 目前广泛应用于FAGE和CIMS仪器的标定。
紫外同步光解水和氧气主要有两种模式, 层流和湍流。 层流模式中由于流动管中臭氧的浓度分布不均匀, 要准确计算出HOx自由基的浓度, 需要对流动管中臭氧的分布廓线进行测量, 且流动管中臭氧浓度比较低, 测量氧气浓度仪器的分辨率达不到要求, HOx自由基浓度测量误差主要来源于臭氧浓度的测量, 准确计算出的HOx自由基的浓度必须通过测量臭氧浓度分布因子来校正[8]。 因此, 层流标定方法具有低壁反应和碰撞损失的优点, 但需要准确确定校正因子。 而在湍流模式下, 自由基传输的过程中会有一定的壁碰撞损失, 但自由基在流动管的浓度分布是均一的, 因此不需要对流动管中臭氧浓度分布进行测量, 且湍流标定系统整个仪器体积小, 目前国外已应用于多种平台的系统标定, 比如地基[14, 15, 16]、 船载[17]、 机载[18, 19]等, 更方便后期外场系统标定便携式测量。
本文首先介绍紫外同步光解H2O和O2原理, 然后通过设计搭建湍流标定实验系统, 为实现HOx自由基浓度的准确计算, 分别对湍流标定系统内汞灯185 nm处的氧气吸收截面、 水汽吸收截面、 臭氧浓度、 水汽浓度等方面进行测量和研究, 并将搭建好的湍流标定系统应用于FAGE系统标定, 量化HOx自由基在标定系统中的损耗, 对标定的结果进行分析和研究。
当向石英管中通入含有一定水汽的混合空气(79%N2和21%O2)时, 在185 nm紫外光的照射下发生光解反应(R1— R2)产生OH和HO2自由基
产生的OH和HO2浓度可以通过式(1)计算出
其中, [H2O]为气流中水汽的浓度,
F185辐射通量以及Δ t光分解时间很难精确量化, 通过测量F185Δ t的乘积, 可以实现自由基浓度方便有效的测量。 由于通入的气流中含有O2, O2在185 nm处也会发生光解产生臭氧
标定系统中产生的臭氧可以根据式(2)计算得到
其中, [O2]为气流中氧气的浓度,
结合式(1)和式(2)可以得出
实验测试过程中可以通过测量湍流标定系统出口处水汽和臭氧浓度, 根据式(3)计算出生成的OH和HO2的浓度。
标定系统中的气流状态会受到流动管管内直径、 气体流速等影响, 本文采用湍流模式进行测试, 实验过程中通入到标定系统的气流流速通过质量流量计控制, 当气体的总流速> 44 L· min-1, 根据雷诺数的式(4)可以计算出Re> 4 000, 湍流标定系统中的气流呈现湍流状态[14]。
式(4)中, v, ρ , μ 分别为流体的流速、 密度与黏性系数, d为特征长度。
当标定装置内通入50 L· min-1的空气时, v=4.07 m· s-1; 流动管内径为17 mm, d=17 mm; 在一个大气压和室温条件下, 空气的密度ρ =1.293 kg· m-3, 黏性系数μ =1.81× 10-5 Pa· s, 计算雷诺数Re> 4 000, 气流呈现湍流状态。
湍流标定系统是由气路装置和自由基生成装置组成, 如图1和图2。 气路装置是由高纯空气(≥ 99.999%, 南京晨虹特气集团)、 高纯氮气(≥ 99.999%, 南京晨虹特气集团)、 质量流量计和水汽发生装置组成。 高纯空气分成两路并通过质量流量计控制气体流速, 一部分空气经过水汽发生装置产生饱和水汽, 另一部分空气作为稀释气体与水汽汇合, 总的气流通入到自由基生成装置产生一定浓度的OH和HO2自由基。 自由基生成装置是由一个内径17 mm, 长300 mm的玻璃管、 一个低压的笔形汞灯模块(SP-3, 日本森光), 聚焦透镜、 185 nm滤光片(185 nm-NB, 美国佩勒姆研究光学)、 光电管(RU6800, 日本滨松)以及铝制固定座组成。 低压汞灯模块持续通入氮气吹扫, 一方面保持汞灯温度稳定, 另一方面避免气体对185 nm光的吸收。 汞灯光强在照射到玻璃管之前通过一个以185 nm为中心的带通滤波片, 经过聚焦透镜后由光电管检测汞灯光强。 本文所搭建的标定系统体积小, 可以实现HOx自由基外场实验便携式测量, 而且为将来外场实验的自动化标定奠定基础。对于湍流标定系统的外场应用, 外场标定的不确定度一方面来源于标定系统中计算HOx自由基浓度的不确定度, 另一方面来源于HOx自由基在传输过程中损耗的测量误差。HOx自由基浓度计算的不确定度来源主要包括臭氧浓度、 水汽浓度、 水汽吸收截面、 氧气吸收截面测量。为此, 本文将从以上几个方面对HOx自由基湍流标定系统的准确性和外场标定便携性等方面展开讨论。
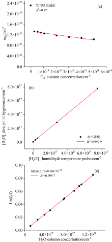
氧气在185 nm处的吸收截面具有精细结构, 汞灯发出的谱线波长会受到电流以及臭氧浓度的影响[20], 因此需要对每个标定系统汞灯氧气的吸收截面进行测量。实验测试过程中, 在汞灯和185 nm的滤光片之间加了一个孔径为3 mm的光阑, 用来限制汞灯杂散光的干扰, 并将汞灯光程近似确定为17 mm。 当汞灯预热20 min左右, 汞灯光强基本稳定。标定装置中的总气流保持不变, 改变气流中氧气的含量, 测量汞灯光强的变化, 根据朗伯比尔定律可以计算出氧气的吸收截面
其中, I0为标定装置内通入50 L· min-1的氮气时汞灯光强, I为通入50 L· min-1不同氧气浓度的气体时汞灯光强, c为气体中氧气的浓度, l为流动管的直径, σ 为氧气的吸收系数。
在实验室多次测量汞灯光强I0和I的变化, 在室内温度为25 ℃左右, 根据图3(a)可知, 当氧气柱浓度变化范围为2.6× 1018~5.0× 1019 cm-2对应的氧气吸收截面的变化范围为1.0× 10-20~1.3× 10-20 cm2, 这一结果与Hofzumahaus等[20], Creasey等[21]测量的氧气吸收截面范围1.1× 10-20~1.4× 10-20 cm2相似。 其中, 当氧气含量为21%时, 氧气的吸收截面是
为了准确计算标定系统中产生的自由基浓度, 还需要对臭氧浓度进行准确测量。 由于标定系统中通入零空气时, 产生的臭氧浓度只有2.5× 1010 cm-3左右, 浓度比较低。 本文利用实验室搭建的基于腔衰荡光谱测量技术的CRDS_O3系统对臭氧浓度进行间接测量[23, 24, 25]。 该仪器的测量原理是向系统中通入过量的NO将臭氧转化成NO2, 通过测量系统中产生的NO2的浓度来计算出O3的浓度, 且系统的探测限在3.75× 108 cm-3左右, 可以实现标定系统中低浓度臭氧的准确测量。 为了便携化标定系统, 方便外场实验对FAGE系统灵敏度快速准确的标定, 本文对湍流标定装置进行改进。 当向标定装置通入一定的H2O和O2时, 产生的臭氧浓度与汞灯185 nm光强线性相关。 汞灯光强是采用高灵敏度的光电管对其进行探测, 光电管对185 nm汞灯光强是线性响应的。 通入50 L· min-1氧气和氮气的混合气, 改变总气流中氧气的浓度, 测量不同臭氧浓度下对应的汞灯光强。 由于不同氧气浓度下, 氧气的吸收截面有所差别, 测量到的臭氧浓度需要对氧气吸收截面进行归一化处理。 当通入到流动管中的总气流恒定, 臭氧浓度与汞灯光强之间线性相关。 本文假设光电管存在一个灵敏度因子U, 如式(6), 表示该湍流标定系统在特定的185 nm汞灯光强作用下臭氧的生成效率。 在不改变光路结构的情况下, U仅与流动管内气体总流速和光电管的老化程度相关。 本文测定了总流速为50 L· min-1的灵敏度因子U, 利用CRDS仪器测量流动管出口处臭氧的浓度, 并实时采集汞灯光强的变化, 作出汞灯光强I和臭氧浓度[O3]的函数关系。 其中, 汞灯光强探测的不确定度小于1%, 臭氧浓度测量的不确定度为7%, 图4是汞灯光强和臭氧浓度线性拟合的结果, 灵敏度因子U测量的不确定度为7%。 改进后的标定系统计算出的OH和HO2自由基的浓度又可以表示为式(7), 标定系统中产生的OH和HO2自由基的浓度可以通过汞灯光强和水汽浓度获得。
由于自由基的活性比较高, 湍流状态下自由基在标定系统的传输过程中会存在一些化学反应和壁损失, 其中主要的损失来源于自由基的壁碰撞损失(R5— R6)[14]。
为了实现FAGE系统外场的准确标定, 需要分别对系统中的OH和HO2自由基的壁碰撞损失进行定量测量。 通过改变流动管上汞灯光源的位置来改变气体在流动管中的停留时间, 量化OH和HO2自由基在流动管中的壁碰撞损失。 首先对HO2自由基的壁碰撞损失进行测量, 其中通入到标定系统总气流为50 L· min-1, 标定系统出气口流量是FAGE系统喷嘴采样流量的几十倍, 保证标定气流过度填充喷嘴周围的体积, 以确保没有环境空气混入。 将距离定义为汞灯与流动管出气口之间的长度, 距离变化范围为50~250 mm。对于流动管中HO2自由基壁碰撞损失的测量, 将足够的CO通入到流动管中使OH自由基全部转换为HO2自由基, 再向FAGE系统中通入一定浓度的NO, 将HO2转化为OH, 测量不同距离下FAGE系统探测到的荧光数。 测量结果如图5(a)所示, 在两种不同HO2自由基浓度下, HO2自由基在流动管中的壁碰撞损失小于系统误差, 可以忽略不计。对于OH自由基的壁碰撞损失测量结果与HO2自由基有所差别, 如图5(b)所示。当标定系统中水汽浓度为1.5× 1017 cm-3时, 生成的OH自由基浓度约为2.0× 109 cm-3。 在这一水汽浓度下, 随着距离的增大, 荧光腔内探测到OH自由基的荧光信号变弱, 这就说明OH自由基在传输的过程中有一定的损失。 并且随着自由基浓度的升高, OH自由基的壁碰撞损失也有所增加。 对于不同的湍流标定系统, 自由基的壁碰撞损失会有所差别, 因此需要对每个标定系统的壁碰撞损失进行定量测量。 根据测量得到的标定系统中OH和HO2自由基的壁碰撞损失, 对实际探测到的OH和HO2自由基的荧光数进行修正, 实现对FAGE系统灵敏度准确标定。
湍流标定系统测量HOx自由基的浓度误差主要来源于氧气吸收截面、 水汽吸收截面、 臭氧浓度以及水汽浓度。 本文对湍流标定系统中汞灯185 nm处氧气吸收截面和水汽吸收截面进行了测量, 其测量误差主要来源于汞灯光强和光程的测量, 当通入高纯空气时, 测量得到氧气吸收截面值为1.26× 10-20 cm2, 不确定度为2%; 水汽吸收截面为6.72× 10-20 cm2, 不确定度为1%。 利用CRDS系统实现对O3的准确测量, 并且测量光电管的灵敏度因子U, 其不确定度为7%。 实验过程中H2O浓度变化范围在1.5× 1017~3.0× 1017 cm-3, 其中冷镜式露点仪测量水汽的不确定度约2.5× 1014 cm-3, 这样标定系统中水汽的测量误差小于0.2%。 结合以上分析, 标定系统中测量的OH和HO2浓度的不确定度为8%。
将搭建的湍流标定系统应用于FAGE自由基探测系统灵敏度标定, 由于在湍流标定系统内, OH自由基在传输的过程中存在一定的壁碰撞损失, 为准确实现FAGE系统探测灵敏度的标定, 除了OH自由基浓度计算的不确定度(8%), 还要考虑OH自由基壁碰撞损失的不确定度(7%), 因此湍流标定系统对FAGE系统灵敏度标定的不确定度为11%。 FAGE系统灵敏度标定的过程中, 标定系统中水汽浓度的变化范围1.5× 1017~2.9× 1017 cm-3左右, 产生的臭氧浓度变化范围约为2.5× 1010~3.0× 1010 cm-3, 对应的HOx自由基的浓度变化范围为1.9× 109~4.2× 109 cm-3。 考虑到OH自由基在传输过程中的损失, 对FAGE系统测量的OH荧光数进行修正, 并对修正后的荧光数与自由基的浓度进行线性拟合, 结果如图6所示, 线性拟合相关性R2=0.98, 这表明FAGE系统中探测到的荧光计数与湍流标定系统中产生的OH自由基的浓度有着很好的相关性。 根据线性拟合的结果可以知道FAGE系统荧光腔的灵敏度为3.6× 10-8 cps· (cm-3)-1· mW-1。
介绍了一种利用低压汞灯紫外光光解H2O和O2产生定量的OH和HO2自由基的湍流标定系统, 准确测量标定装置中氧气、 水汽的吸收截面, 利用CRDS_O3系统准确测量臭氧浓度, 对标定系统进行便携化改进, 测量汞灯光强和臭氧浓度之间的函数关系, 通过测量汞灯光强代替臭氧浓度, 便于将湍流标定系统应用与外场标定。 利用冷镜式露点仪对温湿度计测量的水汽浓度进行修正, 提高HOx自由基浓度计算准确性。 量化标定系统中OH和HO2自由基的传输过程中的壁碰撞损失, 对FAGE系统中HOx自由基探测到的荧光数进行修正, 提高湍流标定系统对FAGE系统灵敏度标定的准确性。 并将搭建的便携式湍流标定系统应用于FAGE系统灵敏度的测量, 湍流标定系统中产生OH自由基的浓度范围为1.9× 109~4.2× 109 cm-3, OH荧光信号与OH自由基浓度之间有着良好的线性关系, 结果表明该湍流标定系统有着较好的准确性和稳定性[14]。
| [1] |
|
| [2] |
|
| [3] |
|
| [4] |
|
| [5] |
|
| [6] |
|
| [7] |
|
| [8] |
|
| [9] |
|
| [10] |
|
| [11] |
|
| [12] |
|
| [13] |
|
| [14] |
|
| [15] |
|
| [16] |
|
| [17] |
|
| [18] |
|
| [19] |
|
| [20] |
|
| [21] |
|
| [22] |
|
| [23] |
|
| [24] |
|
| [25] |
|

