作者简介: 陈传杰, 1991年生, 盐城工学院信息工程学院讲师 e-mail: chencj@ycit.edu.cn
采用了一种针对针的放电结构, 将其放置在一个高纯氩气的密闭腔室中, 通过施加正极性的过电压产生可重复的大气压纳秒脉冲放电, 并提出建立大气压放电的连续辐射模型来诊断氩气纳秒脉冲放电中的电子温度。 实验利用电压和电流探头分别获取放电过程中的电压和电流波形图, 其放电脉宽约为20 ns。 通过消色差透镜、 单色仪和ICCD等光学系统的组合来测量放电正柱区在不同时刻(0< t<20 ns)的时间分辨发射光谱。 结果表明, 放电中连续谱的强度随时间先增加(0< t<10 ns)后减小(10 ns< t<20 ns), 但是氩原子的谱线强度则随时间的增加而一直增大。 研究表明连续谱强度与电子密度成正相关, 因而电子密度随着时间也是先增加而后减小, 这与放电电流的变化规律是完全一致的。 根据连续谱模型拟合得到放电过程中(0< t<10 ns)的电子温度为(1.4±0.2) eV。 随着驱动电压的下降(10 ns< t<20 ns), 电子温度逐步减小至0.9 eV。 在0< t<10 ns中, 激发态氩原子主要是由电子碰撞激发产生的, 因而谱线强度随着电子密度的增加而增大。 然后, 随着电子温度的减小, ${Ar_{2}}^{+}$复合反应速率激增, 导致电子与离子的复合过程主导产生激发态氩原子, 即谱线强度继续增大。 通过加入0.5%的水蒸气以获取OH的振转光谱。 实验发现, OH(A)的产生机制使其偏离玻尔兹曼平衡分布, 本文采用了双温的OH(A-X)光谱模型来考察气体温度。 在放电过程中, 气体温度保持不变, 大约为400 K。 此外, 水蒸气的加入使得短波长的连续谱发生显著增强。 光谱分析认为H2O在放电中能够解离产生H2, 继而与氩原子的亚稳态发生能量转移生成激发态H2($a^{3} \sum^{+}_{g}$)。 H2($a^{3} \sum^{+}_{g}$)将会自发辐射跃迁到排除态H2($b^{3} \sum^{+}_{u}$), 同时发射短波长的连续谱。 由于短波长的连续谱对电子温度( Te>1 eV)的响应较为灵敏, 所以载气中少量的水蒸气将会对连续谱诊断电子温度带来较大的影响。
In this paper, atmospheric pressure nanosecond pulsed discharges in pin-to-pin geometry are very easily reproducible by applying a positive overvoltage, and such discharge system is placed in a sealed chamber filled with high purity argon gas. A continuum radiation model for the atmospheric pressure discharges is proposed to diagnose the electron temperature of the nanosecond pulsed argon discharges. The high voltage and current probes monitor the voltage and current waveforms during the discharge, and the discharge pulse width is about 20 ns. The time-resolved emission spectra of the discharge column at different times (0< t<20 ns) are measured by the combination of optical systems, such as achromatic lens, monochromator and ICCD. The results indicate that the continuum emission intensity of the discharge increases with time during the period of 0< t<10 ns, and then decreases during 10 ns< t<20 ns. However, the intensity of argon lines always increases with time. As the intensity of continuum emission is positively correlated to the electron density, the electron density also increases firstly and then decreases, which has the same tendency as the discharge current. According to the continuum radiation model, the electron temperature during the discharge (0< t<10 ns) is measured to be (1.4±0.2) eV. As the driven voltage drops (10 ns< t<20 ns), the electron temperature decreases gradually to 0.9 eV. Our research suggests that the excited argon atoms are mainly populated by electron impact excitation during 0< t<10 ns, and thus their emission intensities increase with the electron density. Afterwards, due to the decreasing of electron temperature, the rate of ${Ar_{2}}^{+}$ ions recombination reaction increases dramatically. The production of excited atoms is governed by the electronion recombination processes, leading to increase their emission intensities further. The virotational spectrum of OH species is detected by adding 0.5% water vapor into the working gas. It is found that the production mechanisms of OH( A) make it deviated from Boltzmann distribution. In this work, a two-rotational temperatures OH( A-X) spectral model is employed to examine the gas temperature. During the discharge pulse, the gas temperature remains invariant around the value of 400 K. Moreover, the addition of water vapor causes the increase of the intensity of the continuum in the short wavelength range. It is analyzed that H2 could be produced by the dissociation of H2O in the discharge and then excited to the excited state H2($a^{3} \sum^{+}_{g}$) by means of the energy transfer reaction from argon atoms in a metastable state. Finally, H2($a^{3} \sum^{+}_{g}$) decays by spontaneous radiation to the repulsion state H2($b^{3} \sum^{+}_{u}$) and emits the short-wavelength continuum emission. The electron temperature ( Te>1 eV) is very sensitive to the short wavelength response of the continuum spectrum. So even if the working gas contains a small amount of water vapor, it will greatly influence the electron temperature diagnosed by the continuum radiation.
大气压纳秒脉冲放电(nanosecond pulsed discharge, NPD)可以在极短的时间内在驱动电极上施加数万甚至数十万伏的电压, 从而能够在放电间隙获得很高的约化电场强度[1]。 在强约化电场作用下, 放电会产生大量的高能电子, 这不仅可以有效地生成活性基团, 而且能够抑制中性气体被过度加热。 NPD是最为典型的低温等离子体之一, 其非平衡特征表现为等离子体中各种粒子的各种运动自由度之间处于非平衡的状态, 其中最显著的是电子温度远高于中性气体温度(Te≫Tg)[2]。 因此, NPD被广泛应用于辅助燃烧、 生物医学、 材料制备、 表面改性和环境保护等领域[3]。
不同的低温等离子体应用对于放电状态参数的要求不尽相同, 其中包括气体温度、 电子密度和温度以及活性粒子密度, 等等[3]。 电子温度是衡量等离子体中电子能量的物理量, 而电子又是等离子体中最活跃的组分, 它直接或间接决定着绝大部分的物理化学过程。 光谱是等离子体诊断最为常用的手段之一, 其中电子温度的诊断方法大致有: (1)玻尔兹曼斜率法[4]; 由于气体放电中处于高能级的原子或离子的激发与退激发平衡过程由电子碰撞主导, 所以高能级激发态粒子趋于玻尔兹曼平衡分布, 其激发温度可以表征高能电子的能量分布特征。 当服从麦克斯韦分布时, 激发温度近似等于电子温度; (2)碰撞辐射模型法[5]是通过建立粒子的碰撞和辐射模型, 从而确立激发态粒子谱线强度与电子温度之间的关系; (3)连续谱法[6]; 由于等离子体中的连续谱主要来自电子与中性粒子或离子的轫致辐射以及电子与离子的复合辐射过程, 所以连续谱是电子密度和温度的函数。 通过考察连续谱可以确定放电中的电子温度; (4)汤姆逊散射技术是一种主动式的光谱诊断方法[7], 获得主体(低能)电子的特征能量, 并在热平衡分布条件下近似等于电子温度。 其中, (1)— (3)属于发射光谱法, 具有无扰动、 设备造价相对较低、 实验操作简单等优点。
针对NPD中电子温度的诊断研究, Huang等[5]在氦气放电中通过建立碰撞辐射模型来确定电子温度与氦氩原子谱线强度比值之间的关系, 得到了等离子体中的电子温度约为1.5~2.2 eV。 Roettgen等[8]利用汤姆逊散射法研究了100~200 Torr气压下氦气NPD中电子温度和密度的时空分布特征。 本文采用了针-针的电极结构和氩气为工作气体, 通过施加过电压产生可以稳定重复的大气压纳秒脉冲放电, 提出了基于连续谱的诊断方法来研究脉冲放电过程中电子温度的时间演化, 进而评估NPD的非平衡状态, 并结合光谱特性定性分析了脉冲放电的物理过程。 最后, 还深入探讨了纳秒脉冲放电中连续谱诊断法的相关问题。
图1(a)是本实验装置示意图。 大气压纳秒脉冲放电采用非对称的金属针电极结构(上电极ϕ 1.0 mm, 下电极ϕ 3.2 mm), 其中上电极连接高压纳秒脉冲电源(NPG-18/3500, Megaimpulse), 下电极通过一个72.5 Ω 电阻接地, 避免放电击穿后电路发生短路[9]。 脉冲电源的调制频率为300 Hz。 金属针采用钨材料, 两者间距约为4.2 mm。 为了防止外界空气干扰纯氩气放电, 实验将整个放电系统设置在尺寸为15 cm× 15 cm× 15 cm的密封腔室中。 放电腔室连通有三个进出气口, 分别为载气进气口, 出气口和抽气口。 载气进气口连接着质量流量控制计(MKS GE50A)和高纯氩气源(99.999%)。 出气口安装有单向的压力控制阀, 用于排出腔室中的气体来保证大气压强并防止空气进入。 抽气口连接一个机械真空泵(nXDS Edwards)。 在每次放电前, 重复充入和抽出工作气体三次以上, 达到清洗腔室的目的。
| 图1 大气压针-针纳秒脉冲放电 (a): 实验装置示意图; (b): 电压和电流波形图Fig.1 Atmospheric pressure pin-pin nanosecond pulsed discharges (a): Schematic of experimental setup; (b): Waveforms of voltage and current |
电学测量系统包括高压探头(Tektronix P6015A)和电流探头(Pearson electronics 2878), 其中高压探头连接到上电极, 电流探头位于电阻与接地之间, 并都连接到数字示波器上(RIGOL DS1204B)。 本实验中的电流信号仅包含传导电流, 而位移电流可以忽略不计。 将纳秒脉冲电源连接到一个自制的真空电容上, 通过测量其电压与电流信号, 并根据i=Cdu/dt关系确定两个探头(包括同轴连接线)之间的延迟时间[9]。 图1(b)是经校正的纳秒脉冲放电中电压与电流的波形图。
光谱测量系统是由光学透镜和光谱仪组成。 放电产生的光透过放电腔室上的石英介质窗口, 经透镜成1:1的像耦合到单色仪的狭缝中。 光信号经过单色仪分光(Andor Shamrock 303i, 配备150, 1 800和2 400 g· mm-1光栅), 将光谱成像在侧出口的ICCD(Andor iStar DH340T-25U-3)上并进行记录。 ICCD与纳秒脉冲电源的触发同步由信号发生器(Tektronix AFG2021)进行控制。 本实验采用消色差三合透镜(UV-NIR f=90 mm, Edmund Optics)来消除成像色差。 由标准光源(Energetiq EQ-99 LDLS)确定整个测量系统的相对光谱灵敏度, 即光源的实验光谱与其标准辐射谱的比值。
等离子体放电中的连续谱主要来源于电子与中性粒子、 离子的轫致辐射以及电子与离子的复合辐射[6]。 在大气压条件下, 由于中性粒子数密度较大, 所以大气压放电的连续谱大部分来自电子与中性粒子的轫致辐射[10], 其辐射强度表示为[6]
式(1)中, ne和na分别为电子和中性粒子数密度, Qea为电子与中性粒子轫致辐射的碰撞截面, f(E)为电子能量分布函数。 在模型中, 电子服从麦克斯韦分布
将式(2)代入(1)式中, 整理得到
其中Cea为2.0 W· m-2· J-3/2· sr-1,
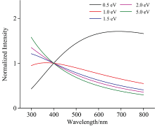
图2是不同电子温度条件下300~800 nm的归一化连续谱。 随着电子温度的增加, 短波长的连续辐射强度增加, 但是变化幅度却不断减小。 当Te> 1 eV, 连续谱对电子温度响应最为敏感的波长范围在300~400 nm。 虽然NPD中较高的电子密度(~1016 cm-3)会导致其他两个辐射过程增强, 但是Park等[10]研究表明在p=760 Torr, ne/na~10-3, Te≥ 1 eV时, ε ea对连续谱的贡献仍然是主要的。
从图1(b)可知, 脉冲放电的持续时间约为20 ns。 图3是不同时刻的发射光谱, 其发光强度由光谱相对响应曲线进行了校正。 光谱中包含有氩原子谱线(Ar(5p-4s)和Ar(4p-4s))和连续谱, 而其他杂质分子(如N2和OH)的谱带可以忽略不计。
| 图3 不同时刻下的大气压氩气纳秒脉冲放电的发射光谱Fig.3 The optical emission spectra of nanosecond pulsed argon discharges at different times |
实验发现, 连续谱的辐射强度随着时间先增加后减小: ε 10 ns> ε 5 ns≈ ε 15 ns> ε 20 ns。 根据式(3)可知, 连续谱辐射强度与电子密度成正相关。 因此, 在t< 10 ns时, 电子密度迅速增加, 而t> 10 ns则开始减少。 根据放电传导电流与电子密度成正比, 从电流波形图1(b)中也可以验证电子密度具有上述的变化规律。 然而, 氩原子的谱线强度随着时间(0< t< 20 ns)的增加而增加, 这说明激发态粒子数密度是一直增多的。
图4是利用连续辐射模型来研究不同时刻的氩气纳秒脉冲放电中的电子温度。 结果表明, 当0< t< 5 ns[图4(a)], 理论拟合连续谱所获得最佳的电子温度约为(1.4± 0.2) eV。 考虑到高压脉冲放电具有很高的约化电场, 因此在放电击穿过程中流注头部的电子温度一般可以高达数个电子伏[2, 5]。 然而, 连续谱法诊断得到的电子温度要明显偏低。 这是因为本实验的脉冲放电的上升沿非常短(约2~3 ns), 两针电极之间达到准稳态放电(建立放电通道)的时间远小于ICCD的曝光时间5 ns, 所以图4(a)是放电击穿过程和准稳态放电过程的叠加光谱[9]。 虽然击穿过程具有较高的电子温度, 但是由于电子密度较低(电流较小), 根据式(3)可知其产生的连续谱所占的权重较小。 因此, 连续谱法[图4(a)]得到的是放电通道建立后正柱区的电子温度。
在t=5~10 ns放电阶段, 连续谱法得到电子温度约为(1.4± 0.2) eV, 如图4(b)所示。 当t> 10 ns时, 随着驱动电压的下降, 电子温度开始从1.4 eV减小到0.9 eV, 如图4(c, b)所示。 当t> 20 ns时, 脉冲放电处于复合状态, 实验已经无法获取高信噪比的连续谱(图3)。
根据上述电子温度和密度的变化规律, 我们分析认为在t≤ 10 ns过程中, 激发态氩原子主要产生于电子与基态氩原子的碰撞激发过程[11]
因此, 激发态氩原子密度随着电子密度的增加而增加。 当t> 10 ns时, 随着电子温度和密度减小, 激发态原子则主要产生于电子与离子的复合过程[11]
其中A
将0.5%的水蒸气添加到氩气中, 观察OH(A-X, 0-0)的发射光谱如图5所示。 研究发现, OH(A, ν '=0)的振转分布不服从玻尔兹曼平衡分布。 Bruggeman等[12]研究认为OH(A)的能级分布与其产生损失过程密切相关。 在氩气放电中, OH(A)有如下的产生过程[12]
| 图5 大气压Ar+0.5% H2O纳秒脉冲放电中的OH(A-X)实验光谱与理论光谱Fig.5 Experimental and simulated spectra of OH(A-X) in nanosecond pulsed discharges in atmospheric pressure Ar+0.5% H2O |
在大多数情况下, OH(A)不是由电子碰撞基态OH(X)激发产生(R4), 而是由电子与H2O+, H3O+复合生成(R5, R6)以及其他能量转移过程(R7, R8)[12]。 因此, OH(A)的振转分布往往处于非热平衡态。
在大气压下, 若激发态分子的转动自由度与平动自由度的弛豫时间(RET)小于其有效寿命, 则分子的转动温度将有足够的时间与平动温度达到热平衡, 即转动温度近似等于气体温度[12]。 由于H2O对OH(A)具有极强的猝灭作用, 从而导致OH(A)在本实验条件下的有效寿命仅有15 ns。 在氩气中, OH(A)的RET速率随着转动量子数的增加而呈指数形式减小[12]。 当J'=1时, RET约为1 ns, 而当J'=5时, RET增加至16 ns, 大于其有效寿命。 这意味着OH(A)中较高的转动能级无法达到热平衡。 大量研究表明OH(A)振转分布所对应较低的转动温度非常接近气体温度[12, 13], 即Tg=
图6是Ar和Ar+0.5% H2O纳秒脉冲放电的发射光谱。 从图中明显看出, 在短波长(λ < 450 nm)部分, Ar+0.5% H2O放电的连续谱强度明显大于Ar放电的, 而在λ > 450 nm, 两者的连续谱强度分布则完全相同。 因此, 本文认为水蒸气的加入对放电中电子温度的影响是很小的。
| 图6 大气压纳秒脉冲放电在Ar和Ar+0.5%H2O中的发射光谱Fig.6 Emission spectra of nanosecond pulsed discharges in atmospheric pressure Ar and Ar+0.5% H2O |
在Ar+0.5% H2O放电中, 除了电子主导参与的连续辐射过程外, H2的解离辐射跃迁也能够产生连续谱, 其中H2是H2O解离产生的, 例如R6。 基态氢分子H2(X1
其中H2(a3
H2的特征连续谱在120~600 nm。 这与图6中实验观察到的连续谱强度分布基本吻合。
从图2可知, 当Te> 1 eV时, 连续谱强度分布随电子温度的响应变化主要表现在其短波长部分。 当氩气中含有少量
的水蒸气时, 分解形成的H2对连续谱在短波长部分的贡献是不可忽略的, 这将对运用连续谱获取准确的电子温度带来很大的影响。
在高纯氩气的腔室中, 采用针-针电极结构产生大气压纳秒脉冲放电等离子体。 通过时间分辨的光谱测量系统获取放电过程中的特征光谱, 主要包括有氩原子谱线和连续谱, 其中连续谱强度随着时间先增加后减小, 而氩原子谱线强度则随时间的增加而增加。 研究结果表明由于连续谱的强度与电子密度成正相关, 所以电子密度是先增加而后减少, 这与放电电流的变化规律是一致的。 通过建立以电子与中性粒子弹性碰撞的连续谱辐射模型, 模拟氩气纳秒脉冲放电中的连续谱, 得到放电正柱区的电子温度约为(1.4± 0.2) eV。 在放电下降沿过程中, 随着约化电场强度降低, 电子温度逐步减小至0.9 eV, 而后连续谱消失。 由此可见, 激发态氩原子在放电过程中是由电子碰撞激发过程控制, 但随着电子温度减小, 电子与氩分子离子复合反应生成大量的激发态, 从而导致氩原子谱线强度能够继续增大。 实验通过添加少量水蒸气获得OH(A-X)振转光谱。 利用双温的光谱模型拟合得到气体温度约为400 K, 大气压氩气纳秒脉冲放电的非平衡度[(Te-Tg)/Te]约为0.975。 在含有0.5% H2O的氩气放电中, 分解和激发产生H2的H2(a3
| [1] |
|
| [2] |
|
| [3] |
|
| [4] |
|
| [5] |
|
| [6] |
|
| [7] |
|
| [8] |
|
| [9] |
|
| [10] |
|
| [11] |
|
| [12] |
|
| [13] |
|
| [14] |
|

