作者简介: 张天尧, 1991年生, 北京科技大学自动化学院讲师 e-mail: zhangtianyao@ustb.edu.cn
极化率作为材料的重要微观属性, 与其呈现出的多种宏观属性等紧密相关, 在新型药物及功能材料的设计中扮演着关键角色。 对于微观结构存在复杂分子间作用的物质体系, 获取其太赫兹波段的动态极化率具有重要意义。 极化率的实验测定建立在其本征介电常数的准确测定之上, 太赫兹时域光谱系统凭借其相干探测属性, 可直接提供太赫兹波在穿透样品后的相位变化信息, 用于精确测定样品的介电常数。 当样品由待测物纯物质组成时, 实验测得的介电常数可直接用于计算极化率。 但对于大多数的有机晶体, 其自身对太赫兹波的特征吸收以及与颗粒尺寸与波长相当造成的散射, 使其纯样品的太赫兹时域光谱表征受到系统信噪比的限制, 通常需要将待测物均匀分布于对太赫兹波透明且可塑性极强的聚合物载体中。 聚合物载体的使用导致实验直接测定的混合物介电常数中也包含了聚合物的介电影响, 无法直接用于计算待测物质的极化率。 针对这一问题, 将嵌于聚合物载体中的有机晶体整体等效为聚合物、 空气气隙和待测样品三组份混合介质模型, 结合各组份体积占比以Landau, Lifshitz and Looyenga有效介质模型从实验测得的混合物介电常数中移除聚合物和空气气隙的影响, 获取待测物的太赫兹本征介电常数, 从而进一步结合Clausius-Mossotti关系式计算其太赫兹极化率。 选取水杨酸晶体为研究对象, 利用所提出的理论方案, 从聚乙烯和聚四氟乙烯两种聚合物载体三种浓度混合物的原始介电常数中, 提取出了具有高度一致性的本征介电常数和太赫兹极化率, 验证了方法的有效性, 并利用实验结果首次报道了水杨酸晶体的太赫兹极化率, 在聚乙烯和聚四氟乙烯载体中的测定值分别为(17.2±0.2)和(17.6±1.0)Å3。
Polarizability acts as an essential property in the design of novel materials. It is of great significance to obtain the dynamic polarizability over terahertz frequencies for substance containing complex intermolecular interactions. The experimental access of the polarizability is based on the accurate determination of its intrinsic dielectric constant. Meanwhile, thecoherent detection scheme of terahertz time-domain spectroscopy (THz-TDS) makes it an ideal alternative for dielectric constants measurements. However, most organic crystalline materials occupy strong absorption features over terahertz frequencies, and samples for THz characterization are commonly prepared by homogeneously dispersing the analyte within the THz transparent polymer matrix. The application of the dilution matrix makes the dielectric constants of mixture samples measured by the THz-TDS cannot be directly utilized to calculate the polarizability. We proposed in this work a ternary model based on the Landau, Lifshitz and Looyenga (LLL) theory to extract the intrinsic dielectric constants of analyte by removing the dielectric contribution of trapped air and polymer background. The extracted intrinsic dielectric constants can be further used to calculate polarizability combining with the Clausius-Mossotti equation. The proposed methodology is exemplified in detail with the polarizability determination of crystalline salicylic acid (SA) embedded in twopolymer matrixpolyethylene (PE) and polytetrafluoroethylene (PTFE), respectively. Mixture pellets at three concentrations are designed for THz-TDS measurement for each polymer matrix. The application of the proposed method on the original dielectric spectra of mixture pellets provides intrinsic dielectric constants and polarizability values of salicylic acid with promising consistency. The results reported in this work also represent the first experimentally measured polarizability values for crystalline salicylic acid, which is (17.2±0.2) and (17.6±1.0) Å3 for analyte embedded in PE and PTFE respectively.
极化率描述了物质电子云分布在外电场作用下的变化情况, 作为重要的微观属性之一, 极化率跟物质呈现出的宏观性质如溶解率、 熔点等紧密相关[1]。 太赫兹波相比其他频段的电磁波对物质内部分子间作用的探测具有突出优势[2]。 因此, 对于存在复杂分子间作用的研究对象, 如多晶型物质、 共结晶物质等, 在太赫兹波段考察其动态极化率, 对理解分子间作用差异引起的宏观性质变化具有重要意义。
在太赫兹波段, 针对物质极化率的研究已有报道, 其中包括用于研究液晶材料各向异性的太赫兹极化率测试[3], 用于探索支链长度对支链烷烃光学性质影响的太赫兹极化率测试[4], 用于研究不同掺杂对玻璃性质影响的太赫兹极化率测定[5], 以及用于研究蛋白质在极性溶剂背景中的生物化学行为的水、 乙醇、 丙酮等极性溶剂的太赫兹极化率测定[6]等。 在这些研究报道中, 测试对象均为纯物质组成的样品, 利用太赫兹时域光谱技术的相干探测属性, 直接获取太赫兹波在穿过纯样品后的相频特性变化, 从而得到样品的太赫兹折射率, 计算出物质的介电常数后, 使用Clausius-Mossotti关系式求取其太赫兹极化率。
然而, 当待测物为有机晶体时, 这种使用纯物质制样的太赫兹极化率测定方案存在明显限制。 首先, 由于晶格声子振动模式频率匹配, 大多数有机晶体对太赫兹波具有强烈的特征吸收, 在保证充足作用光程的前提下, 使用纯物质制样会造成太赫兹信号的过饱和吸收, 影响测试的准确性; 除此之外, 一些有机晶体难以合成至毫米级单晶, 只能通过压制微米级粉末用以表征, 样品内部颗粒粒径与太赫兹波波长相近, 也会造成大量的太赫兹信号散射损耗。 因此, 用于太赫兹表征的有机晶体一般制备为与聚合物混合压制的样片, 一方面, 聚合物良好的可塑性可以降低样品对太赫兹波的散射, 另一方面, 对太赫兹波透明的聚合物可以起到稀释有机晶体强吸收的作用, 从而在有效作用光程内保证太赫兹信号的信噪比。 但是聚合物载体作为一种介质, 与待测晶体共同影响太赫兹波在混合物样品内传播过程中的相位变化, 导致由此测得的混合物太赫兹介电常数中也包含了聚合物的介电影响[7], 无法直接通过Clausius-Mossotti关系式计算待测物质的极化率。
针对这一问题, 本文以有效介质模型Landau, Lifshitz and Looyenga(LLL)[8]为理论基础, 将嵌于聚合物载体中的有机晶体总体等效为三组份混合介质模型, 三组份分别为聚合物、 空气气隙和待测样品, 结合混合物中各组分的体积占比, 从实验测得的混合物介电常数中移除聚合物和空气气隙的影响, 获取待测物的太赫兹本征介电常数, 进一步结合Clausius-Mossotti关系式计算其太赫兹极化率。 实验方面, 本文选取了重要化工原料水杨酸对理论方案进行了验证。 使用聚乙烯和聚四氟乙烯两种聚合物载体, 分别制备了三种浓度的混合物样品, 经三组份有效介质模型处理后, 从两种不同聚合物载体各浓度混合物样品的原始介电常数中提取出了具有高度一致性的本征介电常数和太赫兹极化率, 验证了理论方案的有效性, 在聚乙烯和聚四氟乙烯载体中测得的水杨酸太赫兹极化率为(17.2± 0.2)和(17.6± 1.0) Å 3。
图1展示了太赫兹脉冲穿透待测样品与聚合物载体的混合物的示意图。 在穿透过程中, 太赫兹脉冲的幅值降低是由待测样品的自身的本征吸收引起, 作用路径中聚合物载体及空气气隙均无太赫兹吸收, 起到了稀释作用, 样品的摩尔吸收系数可根据朗伯比尔定律对混合物吸收系数进行浓度归一化获取。 与幅值降低对应的是出射脉冲相位上的延迟, 由待测样品、 聚合物以及样品中的空隙共同决定, 由相位信息提取的混合物介电常数中也同时包含了三者介电常数的贡献, 而待测物自身的本征介电常数则需要使用有效介质理论加以提取。
| 图1 太赫兹脉冲穿透聚合物与待测样品混合物的示意图Fig.1 Schematic representation for transmission of terahertz pulse through analyte embedded in polymer matrix |
多种有效介质模型已经在太赫兹波段得到了研究[8], 包括Maxwell and Garnet(MG)模型、 Polder and van Santen (PvS)模型、 Bruggeman (BM)模型以及Landau, Lifshitz, and Looyenga (LLL)模型。 其中, 只有LLL模型不需要获取混合物中各组份的颗粒形状, 适用于待测样品与聚合物载体的混合物样品分析。 该模型将混合物介电常数的三次方根描述为各组份本征介电常数三次方根的线性组合, 线性系数则为各组份在混合物中的体积占比。 应用至图1中的三组份混合物, LLL模型表现为
式(1)中, ε mixture, ε analyte, ε polymer和ε air分别表示混合物, 待测物、 聚合物以及空气的介电常数, va和vp为待测物和聚合物在混合物中的体积占比, 由各组份的质量及密度以及混合物样片的几何信息计算。 使用LLL模型从实验测得的混合物介电常数ε mixture中提取待测物本征介电常数ε analyte时, 式(1)变形为式(2)
式(2)中, 聚合物自身的介电常数ε polymer在计算过程中作为已知量, 需要提前通过纯聚合物样品的表征获取, 其表征方法在我们前期的工作[7]中进行了详细的介绍。
Clausius-Mossotti(CM)方程描述了物质宏观介电常数与微观极化率之间的关系, 因此, 在移除聚合物介电影响获取待测样品的本征介电常数之后, 可根据CM方程[式(3)]求取待测样品的太赫兹极化率。
式(3)中, NA为阿伏伽德罗常数, M和ρ 分别为待测样品的分子量和晶格密度, 三者的组合描述了晶体内部单位体积内的分子个数。
本文实验环节使用了两种聚合物载体: 聚乙烯(UHMW-434272)和聚四氟乙烯(FLUO 625F), 分别购置于Sigma-Aldrich和Micro Powders, 我们已经在之前的工作中对其太赫兹介电响应进行了报道[7], 因此, 两种聚合物的介电常数可作为已知参数应用于后期数据处理。 本文选取的待测固体样品为水杨酸(A277-500)晶体, 购于Fisher Scientific, 原始样品溶于30%甲醇-水溶液后通过缓慢挥发进行了重结晶以确保其晶型, 并利用粉末X射线衍射测试结果与剑桥晶体数据库[9]对比验证其晶格结构, 详细的晶格参数列于表1。 对重结晶后的水杨酸晶粒进行充分研磨至粉末状, 置于60 ℃的恒温箱中烘干24 h, 冷却后置于干燥容器中保存。
| 表1 水杨酸晶体晶格参数* Table 1 Crystal structure information of salicylic acid |
样品制备过程中, 将水杨酸与聚合物的混合物粉末置于模具中放入压片机施加5 t压力, 持续5 min后脱模形成直径约为13 mm的圆形样片, 样片在使用太赫兹时域光谱仪表征之前, 先置于干燥容器中存放至少三日以充分释放样片中残留的压力, 稳定其厚度、 直径等几何参数。 在压制过程中, 始终使用真空泵对模具进行抽气处理以尽可能减少成片后的孔隙度和水蒸气含量。 混合物样品的浓度由粉末混合前水杨酸晶体和聚合物粉末各自的质量决定。 为了保证混合的均匀性, 将称量出的聚合物粉末分两次加入研钵中的水杨酸粉末并保持6分钟的共同研磨。 对于两种聚合物载体, 分别制备了三组混合物, 其中水杨酸的质量占比分别为10.0%, 15.0%和20.0%(聚乙烯载体)以及2.5%, 5.0%和7.5%(聚四氟乙烯载体), 对每一组粉末混合物中分别制备了三个重复样品以进一步消除混合过程的不均匀性。 综上, 实验环节整体制备了3(重复制样)× 3(质量比例)× 2(聚合物种类), 共18枚样片。
本文使用透射模式下的太赫兹时域光谱系统TPS 1000D(英国TeraView公司), 所有样品的太赫兹时域数据的采集流程保持一致, 已在此前的文献报道[7]中进行了详细描述, 此处不再赘述, 最终针对每一个样品, 我们共采集了3(采集轮次以消除系统误差)× 3(每轮重复以消除随机误差), 共9组光谱信号, 对每一个样品的9组信号取平均值展示于图2。 由图2中内置插图可见同一浓度的三枚样片时域信号也存在差异, 这源于样片厚度无法保证完全一致, 在后续频域数据处理中可通过厚度归一化加以消除。 此外, 样品的时域信号中包含多重反射引起的回波信号, 可与主峰信号进行明显的区分, 因此, 在时域数据的预处理阶段, 我们在回波之前(23 ps处)对数据进行了截取, 并对剩余时域数据进行了补零操作至8 192(213)点后执行基2快速傅里叶变换至频域, 取样品信号Es(ω )与参考信号Er(ω )的比值获得太赫兹信号在样品内部的传播函数T(ω )。
利用传播函数T(ω )所包含的相位信息和幅值信息分别使用式(4)和式(5)计算混合物样片的太赫兹折射率n(ω )及吸收系数α (ω )。
式(4)中, c是光速, ω 是角频率, 样片厚度d采用了Scheller等提出的迭代算法[11]直接由样片的太赫兹时域信号提取。 混合物样片的介电常数直接取为折射率的平方[7](ε =n2)。
图3展示了由聚合物与水杨酸混合物载体的原始太赫兹时域信号中提取其本征介电常数及太赫兹极化率的数据处理过程。 为了更加清晰地展示有效介质理论LLL模型在混合物样品介电常数分析中起到的作用, 我们在结果分析环节同时使用经典朗伯比尔定律对混合物样品的吸收系数进行处理, 对比展示两种理论在混合物传递函数幅值和相位两方面信息中起到的类似作用, 即移除聚合物稀释载体对样品光谱信息的影响以获取待测物的本质属性。
| 图3 由混合物样品实验光谱数据提取极化率的分析流程图Fig.3 Flow chart for polarizability measurements of analyte embedded in polymer matrix |
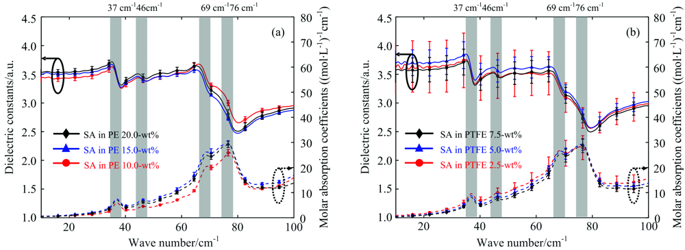
对实验采集的太赫兹时域信号(图2)进行傅里叶变换, 并利用式(4)和式(5)求取的混合物样品太赫兹吸收系数谱和介电常数谱如图4所示。
分析式(4)和式(5)可知, 在求取折射率和吸收系数的过程中已经对样品信号以样品厚度进行了归一化处理, 因此图4中展示的每一条谱线为对应浓度下的三个重复样品的光谱数据平均值, 而误差棒则对应三个重复样品在该频率处光谱数据的标准差(在本文其他光谱数据图谱中均做了同样处理)。 观察图4中展示的光谱数据可得: 首先, 对于两种聚合物载体, 各浓度混合物无论是介电常数还是吸收系数均存在明显差异, 且数值上与混合物中水杨酸晶体的浓度呈正相关; 其次, 水杨酸与聚四氟乙烯混合物的介电常数整体高于水杨酸与聚乙烯的混合物介电常数, 这是由于聚乙烯载体压片后的孔隙度(> 20%)远高于聚四氟乙烯(< 1%)造成的, 而自然界材料的介电常数均高于真空, 故聚乙烯混合物整体呈现出的介电常数较低; 最后, 在所有样品的光谱数据中均观察到了中心频率为37, 46, 69及76 cm-1的太赫兹吸收特征, 文献[12]通过第一性原理计算对水杨酸太赫兹吸收特征对应的分子振动模式进行了指认, 其中76 cm-1处的吸收特征源自水杨酸分子内作用模式, 其余三个吸收特征均源自水杨酸分子间作用模式。 这些吸收特征的复现验证了本文实验设备及样品制备的可靠性。
为了移除混合物样品介电响应中聚合物载体的影响, 我们利用理论环节介绍的三组份有效介质模型, 结合每个混合物样品内聚合物与水杨酸晶体的体积占比信息, 以式(2)求取了水杨酸的本征介电常数谱, 以实线展示于图5, 为了对比展示有效介质模型的归一化作用, 我们也利用朗伯比尔定律对每一个样品的吸收系数谱作浓度归一化处理, 获取水杨酸的摩尔吸收系数谱, 以虚线展示于图5。
在获取了水杨酸晶体的本征介电常数后, 可进一步利用CM方程式[式(3)]计算水杨酸晶体的太赫兹极化率谱展示于图6, 图中极化率随频率的变化与水杨酸晶体对太赫兹波的指纹吸收对应。 为了进行数值对比, 取没有吸收特征的频段10~20 cm-1间(图6中绿色区域)的光谱数据平均值列于表2, 由表中数据可知, 水杨酸晶体在聚乙烯和聚四氟乙烯载体中测定的太赫兹极化率分别为(17.2± 0.2)和(17.6± 1.0) Å 3, 以两种聚合物作为稀释载体测得的极化率数值无明显差异, 再次验证了本文提出的极化率测定方案的可靠性。
| 表2 水杨酸太赫兹(10~20 cm-1)极化率 Table 2 Averaged polarizability of salicylic acid over 10~20 cm-1 |
以有效介质理论Landau, Lifshitz, Looyenga (LLL)模型为理论基础, 提出了从聚合物载体混合物介电常数中提取有机晶体本征介电常数, 并进一步求取其太赫兹极化率的方法。 使用该方法, 我们首次报道了水杨酸晶体在太赫兹波段的动态极化率。 在聚乙烯和聚四氟乙烯两种聚合物载体中测定的水杨酸晶体太赫兹极化率分别为(17.2± 0.2)和(17.6± 1.0) Å 3, 测定结果具有高度一致性, 验证了该方法移除混合物中聚合物载体介电影响的有效性。
本文建立的极化率测定方法进一步丰富了太赫兹时域光谱技术在物质表征方面的应用。 聚合物载体对太赫兹波无吸收且可塑性极强的优秀属性, 使该方法可广泛应用于对太赫兹波具有强吸收属性或自身尺寸较小的固体材料, 对微纳尺度下新型药物研制和功能材料设计具有重要实际应用价值。
致谢: 感谢爱荷华大学化学系Mark Arnold教授和Shalisa Oburn博士在光谱试验和样品制备方面的指导与支持。
| [1] |
|
| [2] |
|
| [3] |
|
| [4] |
|
| [5] |
|
| [6] |
|
| [7] |
|
| [8] |
|
| [9] |
|
| [10] |
|
| [11] |
|
| [12] |
|

