作者简介: 李志刚, 1971年生, 华东交通大学载运工具与装备教育部重点实验室副教授 e-mail: gordon7456@163.com
水下湿法焊接技术近年来得到了广泛应用, 但目前对水下湿法焊接引弧过程的物理本质的研究很少。 首先搭建了水下湿法焊接电弧光谱诊断平台, 同步采集不同水深条件下焊接过程中的电流、 电压及光谱信号, 对不同水深条件下水下湿法焊接引弧阶段进行界定, 高速摄像机拍摄水下湿法焊接引弧过程以更直观观察引弧过程中电弧、 气泡等水下动态变化。 在此基础上, 设置光谱仪延时, 分别采集了引弧5, 10, 15, 20及25 ms的光谱信号; 改变水深条件, 得到不同水深条件下引弧不同时刻的电弧光谱图。 根据谱线选取原则综合分析, 选取Fe元素作为计算水下湿法焊接引弧电弧温度的特征元素。 引弧不同时刻均选取了五组数据, 运用统计分析的方法对五组数据做平均化处理, 以保证计算结果的准确性和可靠性。 从Fe元素谱线中选取了五条合适的谱线作为计算水下湿法焊接引弧过程电弧温度的目标谱线, 再利用玻尔兹曼图示法分别计算了不同水深条件下引弧不同时刻的水下湿法焊接电弧等离子体温度。 结果表明: 在相同水深条件下, 引弧过程中电弧等离子体温度是随着引弧时间的不断增加而不断变化的, 但其变化趋势并不是简单的线性增加, 而是分别在引弧的不同时刻出现峰值; 随着水深的增加, 水下湿法焊接电弧等离子体的温度也随着上升, 但其电弧温度的上升趋势开始变缓慢, 40 m水深相对于20 m水深的电弧温度上升量要低于20 m水深条件下相对0.3 m水深条件下的电弧温度上升量。 伴随着水深的增加, 水下环境压力增大造成电弧进一步压缩, 但压缩量有限。 由于电弧被压缩, 弧光的强度也增大。 通过光谱分析的方法, 从电弧物理的角度获悉水下湿法焊接引弧过程的物理本质, 对认识电弧建立过程中微观击穿机理及实际生产中进一步提升引弧过程的稳定性提供了重要参考。
Underwater wet welding technology has been widely used in recent years, but there are few pieces of research on the physical nature of underwater wet welding arcing process now. In this paper, an underwater wet welding arc spectrum diagnosis platform was set up, voltage and spectrum signals in the welding process were collected simultaneously under different water depth conditions to define the arcing stage of underwater wet welding. The high-speed camera recorded the arcing process of underwater wet welding to observe the underwater dynamic changes such as arc and bubble more intuitively. On this basis, spectral signals of 5, 10, 15, 20 and 25 ms were collected by the spectrometer, the arc spectrum at a different time under different water depth conditions was obtained by changing the water depth condition. According to the principle of line selection, the Fe elements were selected as the characteristic elements to calculate the arc temperature of underwater wet welding. We selected five sets of data at a different time of arc initiation and averaged them by statistical analysis method to ensure the accuracy and reliability of the calculation results. Five suitable lines were selected from the Fe element line as the target line to calculate the arc temperature of underwater wet welding arc-initiating process. And the plasma temperature of underwater wet welding at different time under different water depth conditions was calculated by Boltzmann graphic method. The results show that the arc plasma temperature changes with the increase of arc initiation time, but its variation trend is not a simple linear increase, but a peak at different times of arc initiation. With the increase of water depth, the temperature of underwater wet welding arc plasma also increases, but the rising trend of arc temperature begins to change slowly. The increase in arc temperature at a depth of 40 m relative to a depth of 20 m is lower than the increase in arc temperature at a depth of 20 m relative to a depth of 0.3 m. With the increase of water depth, the increase of underwater environment pressure causes the arc to be further compressed, but the compression amount is limited. As the arc is compressed, the intensity of the arc light also increases. By means of spectral analysis, the physical nature of the arc-initiating process in wet-welding under water is learned from the perspective of arc physics, which provides an important reference for understanding the micro-breakdown mechanism during the arc establishment process and further improving the stability of the arc starting process in actual production.
随着人们在海洋能源开发工程、 船舶建造与维修、 海底管道等活动的展开, 水下焊接技术重要性得到进一步凸显, 海洋钢结构建筑物的安全和可靠性与水下焊接技术密切相关[1, 2, 3, 4]。 电弧等离子体光谱诊断是通过采集焊接电弧燃烧过程中光谱辐射信号, 然后进行数据处理以获得电弧等离子体温度和电子数密度等物理参数[5, 6, 7]。 天津大学涂万洪[8]等借助自行研制的光谱诊断系统可以对水蒸气等离子弧温度和成分进行光谱诊断, 以诊断结果为依据, 并根据局部热力学平衡状态列出方程, 进而探讨水蒸气等离子电弧机理与特性。 山东科学院贾传宝[9]等对空气药芯焊接和0.4 m水深的水下湿法药芯焊接的光谱进行了对比分析, 发现在370~840 nm范围(除了顶点656.279 3)内, 其信号相似度为90%, 水下信号中存在的顶点656.279 3对应的正是氢元素, 两组光谱信号里都包含了Fe, Ni, Ti, Cr, F, Si, Mn, N2, N, Ca, CO, CO+和H2O等元素。 哈尔滨工大郭伟[10]等研究了清水、 硼酸溶液、 LiOH溶液、 硼酸+LiOH混合溶液等不同介质的水环境对水下焊接电弧等离子体成分以及温度的影响, 结果表明, 不同的水下环境介质对水下焊接电弧等离子体成分以及温度几乎无影响。 目前虽然已经有利用光谱诊断对陆地TIG引弧的研究, 也已经有利用光谱诊断对水下湿法焊接电弧温度、 元素等进行测量的研究, 但研究未深入到水下电弧产生的层面, 即水下电弧引弧这一关键问题。 本工作旨在通过光谱法诊断不同水深条件下湿法焊接电弧等离子体温度研究焊接引弧过程, 对于水下湿法电弧的等离子成分分析和电弧建立过程中微观击穿机理的认识, 具有重要的理论与实际应用意义。
搭建水下湿法焊接电弧光谱获取实验平台如图1所示, 电弧光谱信号采集系统主要由光谱仪、 光纤、 USB数据传输线及计算机组成。
| 图1 水下湿法焊接电弧光谱信号采集系统Fig.1 The acquisition system of the arc spectral signal for underwater wet welding |
选用荷兰Avantes公司制造的四通道光纤数字光谱仪测量光谱信号。 该光谱仪的谱线范围为200~840 nm。 压力罐的设计是为了模拟水下高压环境, 通过改变压强来模拟不同水深条件。 水箱放置在压力罐中, 水箱是由铝合金、 钢化玻璃、 石英玻璃组成, 尺寸为30 cm× 30 cm× 50 cm, 光谱采集透过石英玻璃以减轻电弧辐射耗散和衰减。 电焊机电源采用的是晶闸管控制MIG/MAG弧焊电源, 输出功率为60 A/17.0 V~550 A/41.5 V。 焊丝选用自保护药芯焊丝, 牌号: FRN-YT71T-GS, 焊件选用碳钢(Q235), 焊缝金属化学成分如表1所示。 焊接电压35 V, 焊接电流为270 A, 送丝速度为200 mm· min-1, 焊接速度为6 mm· s-1。
| 表1 焊缝金属化学成分 Table 1 Chemical composition of weld metal |
分别采集了引弧5, 10, 15, 20及25 ms的光谱信号, 积分时间设为1.05 ms。 改变水深条件, 采集水深0.3, 20和40 m下的电弧光谱图, 同时同步采集电流电压数据, 并对引弧过程进行了高速摄像。
为了研究引弧过程, 首先需要对引弧阶段进行定义, 明确引弧过程的起始和终结时间点, 因此将电流电压在各个时刻段一一对应, 以便进行对比分析。
在图2(a)中, 在KL段电流一直为0, 而在该阶段所对应的电压图形的AB段电压也为0, 而CD段电压不为0, 约为40 V, 此阶段对应的电压应是空载电压; 在电压的EF段(对应电流MN段), 尽管电流电压都存在数值, 但是电压的数值远远低于设定电压; 电压GH段电压约为40 V, 但对应的电流OP段, 电流为0, 此阶段应对应短路阶段; 在电压的IJ段, 电压逐渐上升到J点之后处于稳定状态, 电流图中对应的QR段逐渐下降直到S点之后趋于稳定, 因此J(S)点之后对应的阶段为稳弧阶段, 那么QR(IJ)段为水下湿法焊接的引弧阶段, 整个引弧阶段持续的时间不到20 ms, 约在18~20 ms之间。 改变水深条件, 采用相同方法可以得到20 m水深条件下引弧阶段对应为电压图中的EF段(电流JK段), 对应的引弧时间要比0.3 m水深条件下的引弧时间略长, 在20 ms左右, 如图2(b)所示。
| 图2 不同水深引弧电流电压曲线图 (a): 0.3 m水深; (b): 20 m水深; (c): 40 m水深Fig.2 Current and voltage curves at different water depths (a): a water depth of 0.3 m; (b): a water depth of 20 m; (c): a water depth of 40 m |
从图2(c)中可以看出, 在40 m水深条件下, 水下湿法焊接的引弧时间更长一些, 约在20~22 ms左右, 此时的引弧阶段对应为电流图中的JK段(电压EF段)。 由此可见: 随着水深的增加, 水下湿法焊接引弧阶段持续的时间也在增加。
图3为高速摄像机拍摄的水下湿法焊接引弧过程图, 图中圆弧型圈是由于背景光大功率镝灯所致。 从图3中可以看出, 当水下湿法焊接开始时, 首先焊丝向钢板方向逐渐移动, 紧接着焊丝顶端开始出现弧光, 其后弧光继续增大, 此时电弧周围的水开始被电离分解产生包裹着电弧的气泡, 伴随着气泡的成长过程, 电弧同样持续增大, 气泡继续增大至电弧开始稳定燃烧, 此后不断伴随着旧气泡的破灭和新气泡的生长过程, 电弧在气泡中稳定燃烧。
图4是0.3 m水深实验条件下获取的水下湿法焊接电弧光谱图像。
| 图4 200~830 nm波段电弧光谱图 (a): 200~350 nm; (b): 350~600 nm; (c): 600~830 nmFig.4 Arc spectra at 200~830 nm (a): 200~350 nm; (b): 350~600 nm; (c): 600~830 nm |
在200~350 nm波长范围内, 可以看出光谱谱线的强度非常小, 这是因为水下特殊的环境造成的: 首先, 光谱辐射必须通过连续产生的、 生长的和破裂的气泡, 气泡界面的折射和反射严重影响了辐射强度, 特别是短波长的紫外辐射; 其次, 水的紫外线吸收系数显著高于空气的紫外线吸收系数。 因此, 水下湿FCAW的紫外光谱辐射在200~350 nm的波段被折射、 反射和吸收很多, 而在实际研究和应用中, 只有波长大于350 nm的光谱才具有真正的意义。
在350~600 nm波长范围内, 光谱图像的谱线辐射强度比较大, 但也存在少量波段较弱的线光谱, 由于水下湿法焊接是熔化极焊接, 这种焊接电弧的工艺性质, 决定了电弧的光谱辐射与熔化过程密切相关, 当熔滴产生时, 焊接金属会蒸发, 电弧充满了金属蒸汽, 此金属蒸汽中包含极多的Fe元素, 且Fe元素的谱线强度分布有相当的一致性和稳定性, 更由于对Fe元素的谱线观测数据已经比较完善, 其相应的参数均可查到, 因此一般会选择Fe元素的谱线作为研究对象。
700 nm以上的线光谱所对应的元素粒子, 很多无法查到相关的参数信息, 无法作为特征谱线来计算电弧温度, 因此计算时暂时不予考虑。
根据上面的分析过程, 对于水下湿法焊接引弧过程做电弧温度的计算, 选取Fe元素作为计算水下湿法焊接引弧电弧温度的特征元素。 Fe元素谱线相关数据(跃迁几率、 统计权重、 跃迁能级)出自NIST原子光谱数据库[11], 该数据库为美国国家标准与技术研究所提供, 包含大量的原子谱线数据。 表2为所选取的一些Fe元素特征谱线及相关参数。
| 表2 Fe元素谱线特征谱线及相关参数表 Table 2 Fe element characteristic spectral lines and related parameters table |
利用玻尔兹曼图示法计算引弧过程中水下湿法焊接电弧等离子体温度[12]: 为了避免单次实验造成的误差, 保证计算的水下湿法焊接引弧过程电弧等离子体温度的精确性, 对选取的五组光谱数据, 运用统计分析的方法, 进行平均化处理; 对进行了平均化处理之后的电弧谱线数据, 以ln(Iλ /Ag)为纵坐标, Em为横坐标画出一条曲线, 即为玻尔兹曼曲线, 再用最小二乘法进行拟合, 拟合所得的直线斜率为-5 040/T, 再进一步计算就可得出电弧温度。 值得注意的是, Em的单位为eV, 跃迁能级E的单位为cm-1, Em和跃迁能级E的转换方式如式(1)
式(1)中: h为普朗克常数, c为光速, e为单个电荷所带的电荷量。
等离子体中, 由高能级En向低能级Em跃迁的谱强度可以表示为
式(2)中: nn为处于上能级的粒子数, Anm为由上能级向下能级跃迁的跃迁概率, ν nm为跃迁频率, h为普朗克常数, gn为能级的统计权重, Z(T)为配分函数, 对式(2)两边取对数进行整理可得
式(3)中: D为常数, λ 为波长, I为实验测得的对应波长的光谱强度, A和g可以直接查阅文献得到。
将经过转换处理后的数据代入式(3)中, 用MATLAB软件进行绘图并进行散点拟合, 得出直线斜率, 进而计算得出水下湿法焊接电弧等离子体引弧不同时刻的电弧温度。 其计算公式如式(4)
如图5为0.3 m水深时引弧5 m时电弧光谱温度拟合直线。
| 图5 0.3 m水深引弧5 ms电弧光谱温度拟合直线Fig.5 Fitting line of arc spectral temperature for arcing 5 ms at a water depth of 0.3 m |
在运用玻尔兹曼直线进行拟合求取直线斜率时, 存在斜率的拟合误差, 反映到温度上即为求解电弧温度的误差, 表3, 表4和表5为引弧不同时刻的水下湿法焊接电弧等离子体温度及误差范围表。
| 表3 0.3 m水深引弧阶段电弧温度随时间变化 Table 3 Arc temperature change of arcing at different times at 0.3 m water depth |
| 表4 20 m水深引弧阶段电弧温度随时间变化 Table 4 Arc temperature change of arcing at different times at 20 m water depth |
| 表5 40 m水深引弧阶段电弧温度随时间变化 Table 5 Arc temperature change during the arcing time at a water depth of 40 m |
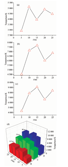
由此得到的图6(a), (b)和(c)分别为0.3, 20和40 m水深条件下引弧不同时刻电弧温度变化趋势图。
从图中可以看出, 水深0.3 m、 水深20 m和水深40 m引弧过程的电弧温度均存在峰值点。 与20和40 m水深条件下电弧温度相比, 0.3 m水深条件下从引弧5 ms到引弧10 ms这段时间电弧温度急剧上升达到最高峰值, 在其后的时间, 电弧温度有所下降, 到引弧20 ms电弧温度又达到第二个峰值点, 其后电弧温度下降至4 475 K, 此时电弧温度下降的幅度要低于第一次下降的幅度。
水深20 m条件下与水深0.3 m条件下的电弧温度变化类似, 其引弧过程的电弧温度同样存在峰值点, 在引弧5~10 ms, 电弧温度急剧上升, 不同的是, 在引弧10~15 ms, 电弧温度继续上升, 达到电弧温度的峰值点, 只是上升的幅度较前一阶段为小, 在15~20 ms, 电弧温度开始下降, 至25 ms, 电弧温度再一次上升, 达到峰值点6 847 K, 此时电弧已经达到了稳弧状态, 在20 m水深条件下稳弧状态的电弧温度要比0.3 m水深条件下稳定状态的电弧温度高。
水深40 m条件下和水深20 m条件下的引弧温度变化相类似, 在5~10 ms阶段电弧温度急剧上升, 在10~15 ms, 电弧温度继续上升至温度的峰值点, 此后, 电弧温度下降, 在25 ms时达到第二个峰值点, 此时电弧同样处于稳定状态, 此时的水下湿法焊接电弧等离子体温度为8 427 K。 由此可见40 m水深条件下稳弧状态的电弧温度要比20 m水深及0.3 m水深条件下的电弧温度要高。
将不同水深及引弧不同时间电弧温度做成如图6(d)所示的柱状图, 以便更直观对比、 分析其温度的变化趋势。 从图6(d)可以看出, 水下湿法焊接电弧等离子体的温度随着水深的增加而上升, 且40 m水深条件下相对20 m水深条件下的电弧温度增加量要低于20 m水深相对于0.3 m水深的电弧温度增加量。 随着水深的增加, 水下环境压力增大使电弧弧柱进一步被压缩, 但电弧压缩量有限, 从而导致电弧温度的上升趋势开始变缓慢。 伴随着电弧的收缩, 弧柱电流密度亦随着增大, 从而造成电弧电压的增加。
由于电弧被压缩, 弧光的强度会变大, 另外从图7中可以很明显看出不同水深条件下水下湿法焊接电弧弧光强度的对比关系。 水深越深, 弧光强度越大。
搭建了水下湿法焊接电弧光谱获取实验平台, 对水下湿法焊接引弧不同水深条件下不同时刻的光谱信号进行了采集, 并选取Fe元素作为计算水下湿法焊接引弧电弧温度的特征元素。
采用玻尔兹曼图示法计算了不同水深条件下的焊接电弧等离子体温度, 从电弧物理的微观角度探究焊接引弧过程。 研究表明: 随着水深的增加, 水下湿法焊接电弧等离子体的温度也随着上升, 但其电弧温度的上升趋势开始变缓慢; 水下环境压力增大, 电弧被压缩, 弧光的强度也变大。 分析了不同水深条件下电弧温度变化趋势特点, 加强对电弧建立过程中微观击穿机理的认识, 有助于提高在实际生产中不同水深下引弧一次成功率及焊接过程的稳定性。
| [1] |
|
| [2] |
|
| [3] |
|
| [4] |
|
| [5] |
|
| [6] |
|
| [7] |
|
| [8] |
|
| [9] |
|
| [10] |
|
| [11] |
|
| [12] |
|

