作者简介: 代荔莉, 女, 1988年生, 国标(北京)检验认证有限公司珠宝玉石实验室工程师 e-mail: 545083570@qq.com
波罗的海琥珀是松科松属或雪松属、 南洋杉科贝壳杉属或金松科金松属古植物的液态树脂经过多种地质作用后形成的石化树脂, 其主要化学成分为具有“规则构型”的半日花烷型双萜化合物的聚合物, 同时含有大量琥珀酸(丁二酸)。 多种原因导致波罗的海琥珀的原材料价格发生波动, 其热优化品在市场上不断涌现。 热优化波罗的海琥珀与天然波罗的海琥珀在市场价格、 收藏价值等方面存在较大差异, 已引起琥珀爱好者和研究者的广泛注意。 选取具有代表性外观的天然波罗的海琥珀样品, 将其分切成尺寸相同的两套, 每套6块。 其中一套通过不同实验条件得到了热优化波罗的海琥珀样品(金包蜜、 金珀、 花珀、 血珀、 老蜜蜡和白蜡)。 通过红外光谱测试分析, 获得了热优化波罗的海琥珀的红外光谱特征。 将其与天然波罗的海琥珀进行区分, 结果显示, 氮气环境或有氧环境中热优化的波罗的海琥珀样品发生了聚合反应和酯化反应, 弱酸性水溶液中热优化的琥珀样品发生了聚合反应和水解反应。 可通过公式Ratio( I1)=A羧酸羰基C=O伸缩振动1710cm-1/ACH不对称弯曲振动1456cm-1来判定波罗的海琥珀是否经过热优化, 此方法只适用于鉴别金包蜜、 金珀、 花珀、 老蜜蜡和血珀。 当 I1值≥1时, 样品未经过热优化; 当 I1值<1时, 样品经过热优化。 白蜡不可通过计算 I1值来判定是否经过热优化。 拉曼光谱测试结果显示, 热优化后的波罗的海琥珀成熟度有不同程度的增高, 成熟度由高至低的是老蜜蜡、 血珀、 花珀、 金珀、 白蜡和金包蜜。 研究结果可为鉴别热优化波罗的海琥珀、 提高琥珀原石利用率及琥珀博物馆预防性保护技术的发展提供科学依据。
Possibly Derived from ancient Pinaceae pinus or Cedrusplants, ancient Araucariaceae Agathis plants or ancient Sciadopityaceae Sciadopitys plants, Baltic ambers are the natural fossilized resins undergone a variety of geological reworkings. Incorporating succinic acid Baltic ambers are based on labdanoid diterpenes with regular configurations, which are including communic acid, communol and biformenes. The price of raw Baltic ambers fluctuates wildly for several reasons. Therefore thermal optimization products of Baltic ambers have emerged in the market for many years. The huge price difference and collection value difference between natural Baltic ambers and thermally optimized Baltic ambers have already caused alarm to Chinese consumers. The research object is a representative Baltic amber chunk with wax-like appearance, which was cut into two sets of the same size, 6 pieces of each set. Thermally optimized Baltic amber samples (Jin Bao-mi, Jin Po, Hua Po, Xue Po, Lao Mi-la, Bai La) of one set was obtained under multiple experimental conditions, in addition, two samples in this set were further sectioned and heat-treated in the second stage. Through the infrared spectrum analysis, the spectral characteristics of thermally optimized Baltic ambers were obtained which can be used as the differential basis on distinguishing natural Baltic ambers and thermally optimized Baltic ambers. The results showed that thermally optimized Baltic amber samples in nitrogen or oxygen environment underwent polymerization and esterification reactions, and thermally optimized Baltic amber samples in acidulous aqueous solution underwent polymerization and hydrolysis reactions. Using formula Ratio( I1)=ACarboxylic acid carbonyl C=O stretching vibration 1710cm-1/AC-H unsymmetric bending vibration 1456 cm-1 to determine whether the Baltic amber has been thermally optimized is very persuasive. This method is applicable to the identification of Jin Bao-mi, Jin Po, Hua Po, Xue Po and Lao Mi-la. When I1≥1, the Baltic amber samples are not thermally optimized. When I1<1, the Baltic amber samples are thermally optimized. As an added note, this criterion should not be used to Bai La. Raman spectrum results also show that the maturities of thermally optimized Baltic ambers are increased in different degrees. The maturities from high to low are Lao Mi-la, Xue Po, Hua Po, Jin Po, Bai La, Jin Bao-mi. This research aims to provide a scientific basis for identifying thermally optimized Baltic ambers, improving the utilization rate of Baltic amber raw chunks and developing the preventive protection technology for the Baltic amber museums.
波罗的海琥珀是Ia类琥珀, 它的主要化学成分为具有“ 规则构型” 的半日花烷型双萜化合物的聚合物, 同时含有大量琥珀酸(丁二酸), 其形成时间不早于44.4 Ma, 植物来源可能是松科松属(Pinus)或雪松属(Cedrus)古植物, 也可能是南洋杉科(Araucariaceae)贝壳杉属(Agathis)或金松科(Sciadopityaceae)金松属古植物[1, 2]。 波罗的海琥珀的主要产地包括俄罗斯加里宁格勒州、 乌克兰西部、 波兰、 瑞典南部、 德国北部及立陶宛等。 受多种原因影响, 波罗的海琥珀的原材料价格发生波动, 其优化处理品及仿制品在市场上层出不穷, 如“ 绿琥珀” 、 再造琥珀、 塑料仿琥珀等, 这些优化处理品及仿制品的市场价格、 收藏价值与天然波罗的海琥珀差别甚远, 已引起琥珀爱好者和研究者的广泛注意。
目前, 有关波罗的海琥珀优化处理及其仿制品的研究主要包括: 柯巴树脂与琥珀的快速鉴别[3], 热处理琥珀的鉴别特征[4], 天然血珀与烤色“ 血珀” 的谱学区别, “ 绿色琥珀” 的红外光谱及13C NMR特征等[5]。 国家标准GB/T 16553— 2017珠宝玉石鉴定认为琥珀的热处理是一种优化手段, 无需在鉴定证书上做出标注。 然而, 国内缺乏多条件波罗的海琥珀热优化实验的对比分析, 缺乏对不同种类热优化波罗的海琥珀的成熟度及化学反应的探讨。 本工作利用不同条件的热优化实验得到了不同种类的热优化波罗的海琥珀, 分析了其谱学特征变化及成熟度高低, 探讨了热优化过程中发生的化学反应, 旨在为提高琥珀原石利用率及鉴别热优化波罗的海琥珀提供科学依据。
选取一块具有代表性的波罗的海琥珀原石(尺寸约为11 cm× 5.5 cm× 7 cm), 将原石切割成6块尺寸为2 cm× 4 cm× 5 mm的长方体小块。 将每个长方体小块对半分切, 一半留存为对比样(样品编号为HA-1— HA-6), 另一半进行热优化实验(样品编号为HAl-1— HAl-6)。
波罗的海琥珀样品HAl-1— HAl-6分三类进行热优化实验: HAl-1— HAl-3在氮气环境中进行热优化, HAl-4— HAl-5在有氧环境中进行热优化, HAl-6在弱酸性水溶液中进行热优化。 其中, 热优化HAl-3和HAl-4样品需要经过2个阶段, 第一阶段结束后, 将实验样品HAl-3和HAl-4对半分切, 一半留存为第一阶段对比样(编号HAk-3与HAk-4), 另一半继续进行第二阶段的热优化实验。 经多条件热优化实验后, 得到了市场上常见的琥珀品种: 金包蜜、 金珀、 花珀、 血珀、 老蜜蜡和白蜡, 具体如图1, 表1。
| 表1 天然波罗的海琥珀与热优化波罗的海琥珀的内外部特征 Table 1 Internal and external features of unheated and heated Baltic amber samples |
镜面反射法红外光谱采用BRUKER TENSOR 27型傅里叶变换红外光谱仪进行测定, 扫描16次, 分辨率为4 cm-1, 扫描范围为4 000~400 cm-1, 测试结果经过基线校准和K-K转换。 拉曼光谱测试仪器为R200L型拉曼光谱仪, 激发光源波长为785 nm, 光学分辨率为4 cm-1, 光谱范围为3 200~400 cm-1, 扫描时间为30 s, 叠加3次, 采用共聚焦模式, 激光束斑直径为25 μ m, 激光输出功率为5 mW, 测试结果进行了基线矫正和平滑处理。
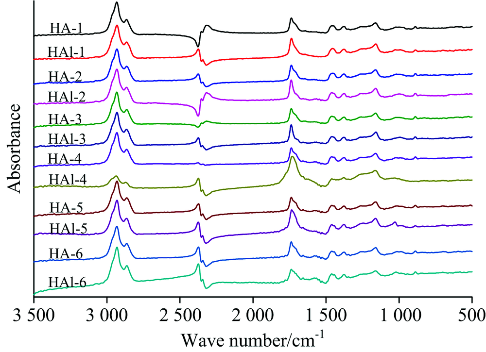
红外光谱结果显示, 天然波罗的海琥珀与热优化波罗的海琥珀的主要红外吸收峰位置相近, 个别吸收峰强度存在差异(图2, 表2)。
| 表2 天然波罗的海琥珀与热优化波罗的海琥珀红外吸收光谱位置及振动归属 Table 2 Location and attribution of infrared absorption peaks of unheated and heated Baltic amber samples |
与天然样品HA-1— HA-6的红外谱峰分别对比, 热优化样品HAl-1— HAl-6的某些特征峰的位置和强度发生了变化, 具体分析如下。
(1)3 200~2 800 cm-1: HAl-1, HAl-2, HAl-3, HAl-5和HAl-6在2 958 cm-1(肩峰)、 2 929 cm-1和2 866 cm-13处吸收峰的谱峰强度变化不大。 HAl-4在这3处吸收峰强度锐减(图3)。
(2)2 000~1 600 cm-1: HAl-1— HAl-5在酯类羰基伸缩振动引起的1 735 cm-1附近吸收峰强度增加, 在酸类羰基伸缩振动引起的1 710 cm-1附近吸收峰强度降低。 HAl-6在酯类羰基伸缩振动引起的1 735 cm-1处吸收峰强度降低, 在酸类羰基伸缩振动引起的1 720 cm-1处吸收峰强度增加。 HAl-4, HAl-5和HAl-6在1 656 cm-1处吸收峰强度变化不大。 部分天然样品没有1 656 cm-1处弱吸收峰(HA-1, HA-2和HA-3)(图4)。
(3)1 500~800 cm-1: HAl-1— HAl-6在1 456和1 377 cm-1附近吸收峰强度变化不大。 HAl-1, HAl-2, HAl-3和HAl-6在由C— O伸缩振动、 酯类的C— O伸缩振动及酯类的C— O— C伸缩振动引起的1 300~1 020 cm-1范围内吸收强度变化不大。 HAl-4和HAl-5在1 300~1 020 cm-1区间内吸收强度增大, 其中HAl-5在1 024 cm-1处吸收峰尖锐。 HAl-1, HAl-2, HAl-3和HAl-6在由C=C双键上C— H面外弯曲振动引起的888 cm-1处吸收强度变化不大。 HAl-4和HAl-5在888 cm-1处吸收强度降低(图5)。
(4)通过公式Ratio(I1)=A羧酸羰基C=O伸缩振动1710cm-1/ACH不对称弯曲振动1456cm-1及Ratio(I2)=A酯类羰基C=O伸缩振动/ACH不对称弯曲振动计算I值。 根据波罗的海琥珀样品在热优化过程中所使用的环境条件, 将其红外光谱分为三类进行分析(表3, 表4, 表5和表6)。 第一类氮气环境中的热优化: 天然样品HA-1, HA-2和HA-3的I1值为1.022 4~1.245 6, I2值为1.934 1~2.430 7。 热优化样品HAl-1, HAl-2和HAl-3的I1值为0.653 5~0.892 1, I2值为2.366 4~2.536 5。 第二类有氧环境中的热优化: 天然样品HA-4和HA-5的I1为1.023 5~1.032 3, I2为1.507 4~1.761 8。 热优化样品HAl-4和HAl-5的红外光谱中归属于羧酸羰基C=O伸缩振动的1 710 cm-1附近的吸收峰消失, 因此I1值约为0, I2为2.814 7~3.031 3。 第三类弱酸性水溶液中的热优化: 天然样品HA-6的 I1值为1.063 6, I2值为1.900 4。 热优化样品HAl-6的I1值为1.229 6, I2值为1.311 1。
| 表3 归属于羧酸羰基C=O伸缩振动和归属于C— H不对称弯曲振动的吸收峰强度比值(一) Table 3 Peak intensity ratio of carboxylic acid carbonyl C=O stretching vibration and C— H unsymmetric bending vibration(unheated and heated Baltic amber samples)(Ⅰ ) |
| 表4 归属于羧酸羰基C=O伸缩振动和归属于C— H不对称弯曲振动的吸收峰强度比值(二) Table 4 Peak intensity ratio of carboxylic acid carbonyl C=O stretching vibration and C— H unsymmetric bending vibration(unheated and heated Baltic amber samples)(Ⅱ ) |
| 表5 归属于酯类C=O伸缩振动和归属于C— H不对称弯曲振动的吸收峰强度比值(一) Table 5 Peak intensity ratio of ester C=O stretching vibration and C— H unsymmetric bending vibration (unheated and heated Baltic amber samples)(Ⅰ ) |
| 表6 归属于酯类C=O伸缩振动和归属于C— H不对称弯曲振动的吸收峰强度比值(二) Table 6 Peak intensity ratio of ester C=O stretching vibration and C— H unsymmetric bending vibration (unheated and heated Baltic amber samples)(Ⅱ ) |
与天然样品相比, 热优化样品HAl-1— HAl-6的拉曼谱峰偏移较小, 峰强变化较大的位置主要在1 645和1 445 cm-1附近(图6)。 由C=C伸缩振动引起的1 645 cm-1附近的吸收峰与由饱和C— H键弯曲振动引起的1 445 cm-1附近吸收峰的强度比值N可作为波罗的海琥珀成熟度的判别标志[6]。 天然样品HA-1的N值约为0.997, 热优化样品HAl-1, HAl-2, HAl-3, HAl-4, HAl-5 和HAl-6的N值分别为0.970, 0.948, 0.851, 0.832, 0.693和0.966, 如表7。
| 表7 归属于环外非共轭C=C伸缩振动和归属于C— H不对称弯曲振动的吸收峰强度比值 Table 7 Peak intensity ratio of outer ring non-conjugate C=C stretching vibration and C— H unsymmetric bending vibration (unheated and heated Baltic amber samples) |
与天然样品的红外光谱相比, 金包蜜、 金珀、 花珀、 血珀与老蜜蜡在酯类羰基伸缩振动引起的1 735 cm-1附近吸收峰强度增加, 在酸类羰基伸缩振动引起的1 710 cm-1附近吸收强度降低, 说明经过热优化后酸类物质的含量降低, 酯类物质的含量增加, 样品在热优化过程中发生了酯化反应。 Poulin & Helwig认为琥珀酸与半日花烷型双萜化合物醇类单体communol可能发生酯化交联形成单酯和双酯, 酸类单体communic acid(湿地松酸)和醇类单体communol(醇类)之间也可能发生酯化反应[7]。 与其他样品不同, 白蜡的红外光谱显示在1 735 cm-1处吸收峰强度降低, 在1 720 cm-1处吸收强度增加, 指示酸类物质的含量上升及酯类化合物含量降低, 说明白蜡样品在热优化过程中发生了水解反应。 Pastorelli认为波罗的海琥珀含有丁二酸酯, 丁二酸酯在酸性潮湿环境中水解产生醇类单体communol和琥珀酸[8]。
拉曼光谱中金包蜜、 金珀、 花珀、 血珀、 老蜜蜡与白蜡样品在1 645 cm-1处振动峰的相对强度降低, 说明所有样品在热优化过程中都发生了聚合反应。 该聚合反应可能存在两个阶段: 第一阶段半日花烷型双萜化合物单体端元处不饱和C=C双键断裂为单键, 从而单体互相连接成分子链。 第二阶段半日花烷型双萜化合物分子链中环外-C=CH2双键断裂, 与其他分子链相互连接, 形成三维交联结构的大分子聚合物[4, 5]。
基于拉曼光谱的成熟度分析认为, 由C=C伸缩振动引起的 1645 cm-1附近的吸收峰与由饱和C— H键弯曲振动引起的1 445 cm-1附近吸收峰的强度比值N可作为波罗的海琥珀成熟度的判别标志, N值越小, 成熟度越高[6]。 与天然样品相比, 所有热优化波罗的海琥珀的N值都有不同程度的降低, 说明热优化后样品的成熟度有不同程度的增加。 其中, N值变化最大的是HAl-5, 剩下的依次为HAl-4, HAl-3, HAl-2, HAl-6和HAl-1。 因此, 经过热优化后, 波罗的海琥珀样品成熟度由高到低的是: 老蜜蜡、 血珀、 花珀、 金珀、 白蜡、 金包蜜。
红外光谱图显示, 本研究的天然琥珀样品在热优化前不存在3 078 cm-1处特征峰, 且1 645和888 cm-1处谱峰极弱, 故由3 078, 1 645和888 cm-13处组合吸收峰的强度锐减来判断本研究中的波罗的海琥珀经过热优化不适用。 利用公式Ratio(I1)=A羧酸羰基C=O伸缩振动/ACH不对称弯曲振动及Ratio(I2)= A酯类羰基C=O伸缩振动/ ACH不对称弯曲振动计算I1值与I2值, 天然波罗的海琥珀样品的I1值≥ 1。 在氮气环境或有氧环境中热优化的波罗的海琥珀样品I1值< 1且I2值上升, 在弱酸性水溶液中热优化的波罗的海琥珀样品I1值> 1且I2值下降。 故认为I1值≥ 1时, 样品未经过热优化; 当I1值< 1时, 样品经过热优化。 此方法只适用于判定金包蜜、 金珀、 花珀、 老蜜蜡和血珀是否经过热优化, 不适用于白蜡。
(1)波罗的海琥珀在热优化过程中发生了聚合反应、 酯化反应或水解反应。 金包蜜、 金珀、 花珀、 血珀和老蜜蜡发生了聚合反应和酯化反应。 白蜡发生了聚合反应和水解反应。
(2)经过不同条件的热优化, 波罗的海琥珀的成熟度有不同程度的增加。 热优化波罗的海琥珀成熟度由高至低的是: 老蜜蜡、 血珀、 花珀、 金珀、 白蜡和金包蜜。
(3)金包蜜、 金珀、 花珀、 老蜜蜡和血珀可通过公式Ratio(I1)= A羧酸羰基C=O伸缩振动1710cm-1/ACH不对称弯曲振动1456cm-1来判定是否经过热优化, 当I1值≥ 1时, 样品未经过热优化; 当I1值< 1时, 样品经过热优化。白蜡琥珀不可通过I1值判定其是否经过热优化。
| [1] |
|
| [2] |
|
| [3] |
|
| [4] |
|
| [5] |
|
| [6] |
|
| [7] |
|
| [8] |
|

