作者简介: 林晓梅, 女, 1965年生, 长春工业大学电气与电子工程学院博士研究生 e-mail: linxiaomei@ccut.edu.cn
为促进LIBS技术在土壤微量重金属元素检测中的应用, 提高特征谱线的光谱强度和信背比, 对实验参数进行优化, 并对Cr元素进行分析。 首先对激光器激发能量、 样品距透镜距离和光谱仪采集延时等实验参数进行优化。 对比激光器能量从60 mJ到110 mJ的谱线强度和信背比, 当选用90 mJ的激发能量时可以得到最佳实验结果。 其次, 选择不同样品到透镜的距离, 对比从焦前5 mm到焦后5 mm得到的实验结果, 得出样品与透镜距离为焦后1 mm(即聚焦位置121 mm)时, Cr元素的特征谱线和信背比达到最佳。 最后, 分析对比光谱仪采集延时对谱线强度和信背比的影响, 结果显示, 与能量对等离子辐射强度的影响趋势大致相同, 当采集延时为1 000 ns时, 实验结果最佳。 在最佳实验条件下(即激光器能量90 mJ、 聚焦位置121 mm、 采集延时1 000 ns), 对12种含有重金属Cr元素的土壤样品进行了光谱检测, 为减弱外界环境的干扰, 对同一样品的10个激光烧蚀位置得到的光谱做平均值预处理, 选择Cr(Ⅰ)357.86 nm, Cr(Ⅰ)425.44 nm, Cr(Ⅰ)427.49 nm为特征谱线, 通过建立样品掺杂浓度和光谱强度的定标曲线, 得到了三条谱线的检测限LOD分别为74.62, 64.07和67.49 mg·kg-1, 拟合优度值 R2分别为0.98, 0.97和0.99, 均方根误差值RMSE分别为0.41, 0.33和0.35。 同时, 引入偏最小二乘法及支持向量机算法进一步提高了定标模型精度。 研究表明, 通过对实验参数进行优化及改善LIBS技术对微量元素的定量探测参数, 得到了最优的光谱强度和信背比, 并通过对Cr元素进行定量分析, 计算定标曲线的Lorenz拟合得到检测限、 拟合优度和均方根误差等实验参数, 提高了LIBS对土壤中重金属元素的检测精度, 这对于利用LIBS技术检测微量重金属元素具有重要的参考意义。
In order to improve the spectral intensity and the signal-to-back ratio of the characteristic spectral lines, promote the application of LIBS technology in the detection of trace heavy metals in soil. The experimental parameters in the process of soil analysis were optimized, and the element of Cr was analyzed. The Nd:YAG laser with an output wavelength of 1 064 nm, the pulse width of 10 ns and pulse frequency of 1~10 Hz was used as the light source to focus the pulse laser on the surface of soil samples to generate laser plasma. Experimental parameters such as laser excitation energy, sample distance from lens and spectrometer collection delay were optimized. Firstly, the spectral intensity and the signal-to-back ratio of the laser energy from 60 to 110 mJ were compared. It was found that the plasma radiation intensity rises first and decreases, and the best experimental results can be obtained when 90 mJ excitation energy is selected. Secondly, the variation of spectral intensity from 5 mm before coke to 5 mm after coke is compared. It was found that when the distance between the sample and the lens was 1 mm after the focus (i. e. the focus position was 121 mm), the characteristic spectral lines and the information to back ratio of Cr elements reached the best. Finally, the influence of the acquisition delay of the spectrometer on the spectral line strength and the signal-to-back ratio were analyzed. The results show that the influence trend of energy on plasma radiation intensity is roughly the same, and the experiment result is best when the collection delay is 1 000 ns. Under the optimum experimental conditions (that is, the laser energy 90 mJ, focus position 121 mm, the acquisition delay 1 000 ns), 12 soil samples containing heavy metal Cr were detected by spectroscopy. Meanwhile, in order to reduce the interference of the external environment, the average values of the spectra obtained from 10 laser ablation positions of the same sample were pretreated. Chromium (Ⅰ) 357.86 nm, chromium (Ⅰ) 425.44 nm and chromium (Ⅰ) 427.49 nm were selected as characteristic lines. The calibration curves of doping concentration and spectral intensity were established. The detection limits of the three lines were 74.62, 64.07 and 67.49 mg·kg-1, respectively. The goodness-of-fit values R2 were 0.98, 0.97 and 0.99, respectively. RMSE was 0.41, 0.33 and 0.35, respectively. At the same time, partial least square method and support vector machine algorithm are introduced to improve the accuracy of calibration model further. The results show that the optimization of experimental parameters improves the quantitative detection parameters of trace elements by LIBS technology. The optimal spectral intensity and signal-to-back ratio are obtained. Good experimental results are obtained by the Lorenz fitting calculation of calibration curve, which has important reference significance for the detection of trace heavy metal elements by LIBS technology.
土壤是人类赖以生存的自然资源。 近年来随着工业农业的迅猛发展, 环境污染日益严重。 由于重金属的开采、 冶炼、 加工及商业制造活动日益增多, 土壤也不可避免的受到重金属的污染, 并不断累积, 造成了严重的土壤重金属污染, 同时土壤中重金属元素难降解、 易富集, 可通过食物链进入人体, 对人体健康造成严重危害[1, 2], 如何快速可靠地对土壤中重金属元素进行检测是研究的热点。 传统的光谱检测方法包括原子荧光光谱法、 电感耦合等离子体质谱[3]、 X射线荧光[4]、 原子吸收法[5]等, 但是这些方法存在样品预处理繁琐和操作复杂等问题。 激光诱导击穿光谱(laser-induced breakdown spectroscopy, LIBS)技术, 又称为激光诱导等离子体光谱, 利用高能量脉冲激光聚焦到样品上, 使样品在瞬间气化成高温、 高密度的激光等离子体, 等离子体中包括原子、 离子和一些分子, 它们会发射其特征波长的光谱, 谱线的波长和强度分别反映了样品中的元素组成和含量。 LIBS技术具有无需样品采集和预处理、 分析速度快、 可实现多种元素实时检测的特点, 已广泛应用于爆炸物[6]、 燃烧分析[7]、 冶金分析[8]、 艺术品鉴定、 等离子体诊断分析[9]、 水污染检测和土壤污染检测[10]等领域。
影响激光诱导击穿光谱技术分析的因素较多, 如激光能量、 延时时间、 透镜到样品表面距离等参数, 因此需要优化实验参数来提高激光诱导击穿光谱的检测和分析能力。 有研究通过对激光脉冲延时、 聚焦位置等实验参数进行优化, 得到土壤中重金属元素分析谱线Cr(Ⅰ )427.4 nm的相对标准偏差(RSD)为12.1%, 检测限为2.01 mg· kg-1, 预测浓度的相对标准偏差为5.15%; 孟德硕等[11]利用LIBS技术结合标准加入法对土壤中Cr元素进行了分析, 通过优化外推点数量参数, 实现了预测结果误差在7%以内。 孙淼等[12]通过LIBS技术与卷积神经网络(CNN)相结合, 对5类不同污染程度的土壤中铅Pb元素进行了分类试验, 结果表明LIBS-CNN可对土壤中Pb质量浓度等级进行快速准确分类, 准确度达到99%以上。 李艳等[13]基于LIBS结合偏最小二乘回归(PLSR)与最小二乘支持向量机(LS SVM), 对土壤中Cr元素含量检测与分析, 并建立分析谱线区间与对应的重金属元素浓度之间的定量回归模型, 结果表明LSSVM模型的预测性能更高。
研究中对土壤中掺杂的Cr元素进行了定量分析, 选取Cr(Ⅰ )357.86 nm[电子能级跃迁: 3d5(6S)4s-3d4(5D)4s4P(3po)], Cr (Ⅰ )425.44 nm{3d5(6S)4s-3d5(4p)4P), Cr(Ⅰ ) 427.49 nm[3d5(6S)4s-3d5(6S)]4P}三条特征谱线作为研究对象, 通过优化实验参数, 得到最优的光谱强度, 从而提高LIBS技术的光谱分析信背比, 最后对重金属Cr元素特征谱线进行定量分析研究。
激光诱导击穿光谱实验装置如图1所示, 采用1 064 nm波长的调Q脉冲Nd:YAG激光器(Continuum, SLII-10)为光源, 脉冲宽度为10 ns, 激光光束经过焦距为120 mm的聚焦透镜, 将能量聚焦到样品表面; 通过半波片和格兰棱镜调节烧蚀靶材的脉冲能量; 激光烧蚀靶材产生的等离子体辐射光谱经光纤探头耦合至光谱仪(Andor, Me5000)进行光谱采集。 激光器与光谱仪通过数字延时发生器(Berkeley Nucleonics Corp, BNC575)同步控制, 使用纳秒激光器的调Q信号进行触发。 为了避免样品表面过度烧蚀, 靶材置于三维平移台, 使每束激光脉冲作用于靶材新的位置上。 实验环境为标准大气压, 室内常温, 湿度为22.5%。 为了降低因系统误差对实验结果的影响, 采集不同位置的光谱线做平均值处理。
实验所用的样品由标准土壤样品GBW07403和Cr(NO3)3· 9H2O混合而成, 制备12种掺杂Cr元素不同浓度的土壤样品。 将一定比例的混合物通过蒸馏水溶解, 充分搅拌, 再经烘干、 研磨后, 取3 g样品放入模具中, 用压片机施加30 MPa的压强, 持续30 min, 压制成直径30 mm, 厚度2 mm的圆饼形薄片。
实验采集的土壤样品LIBS光谱(356~428 nm)如图2所示。 由于土壤基体复杂, 对微量元素分析很容易受到其他辐射光谱的干扰, 只针对样品原子线及离子线进行分析, 而不同价态对元素特征曲线波段并无影响。 本实验中, 选取其中谱线强度相对较高, 受到干扰较小的三条Cr谱线, 分别为Cr(Ⅰ )357.86 nm, Cr (Ⅰ )425.44 nm和Cr(Ⅰ )427.49 nm, 作为实验参数优化和定量分析的特征谱线。
土壤样品等离子体辐射光谱由激光烧蚀靶材样品产生。 激光烧蚀量会改变等离子体局部热平衡, 进而影响等离子体温度与电子密度; 因此, 激光烧蚀土壤的等离子体温度和电子密度随激光能量变化而变化, 从而影响LIBS辐射光谱强度。 当激光能量过低时, 等离子体温度和电子密度较小, 光谱强度较弱, 容易受到背景信号的干扰; 当激光能量过高时, 存在等离子体屏蔽效应, 影响激光脉冲对靶材的烧蚀和等离子体辐射光谱。 实验中激光能量的调节范围60~110 mJ, 间隔为10 mJ依次叠加, 对谱线Cr(Ⅰ )357.86 nm, Cr(Ⅰ )425.44 nm和Cr(Ⅰ )427.49 nm强度随激光能量的变化进行分析。 从图3可以看出, 随着激光脉冲能量的增加, 光谱强度逐渐增强到达峰值, 后缓慢下降趋于稳定。 在初始阶段, 烧蚀量的增加使等离子体辐射谱线强度随激光能量增大而增大, 在90 mJ时谱线强度最大; 由于等离子体屏蔽效应的作用, 光谱强度开始下降最后趋于稳定。
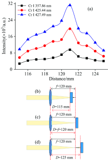
如图4(b— d)所示, D(透镜到样品表面的距离)变化范围为115~125 mm, 间隔为1 mm。 激光诱导击穿光谱强度随样品距透镜距离的变化如图4(a)所示。 结果表明, 当样品距透镜距离为121 mm时, 聚焦后的脉冲激光对靶材的烧蚀量最大, 因此等离子体辐射谱线强度最大。
等离子体采集延时是影响LIBS特征谱线强度的重要因素。 采集时间设置过短无法在等离子体产生之初对其进行采集, 导致光谱强度过低, 而采集时间设置过高会导致等离子体衰减湮灭。 对谱线Cr(Ⅰ )357.86 nm, Cr(Ⅰ )425.44 nm, Cr(Ⅰ )427.49 nm强度的时间演化进行分析。 将延时设置从0~1 400 ns, 间隔为100 ns, 三条谱线的光谱时间演化如图5所示。 光谱强度从0 ns到1 000 ns的过程中逐渐增加, 延时为1 000 ns左右时光谱强度达到峰值, 随后延时逐渐减小。
2.4.1 基于直接强度法定标模型
根据激光等离子体发光机理, 谱线强度与样品中被激发元素原子数浓度之间的关系为
其中a是与样品蒸发、 激发过程有关的实验参数; b为自吸收系数, 与激光光源特性、 样品中待测元素含量等因素有关; c为被检测元素含量。 土壤样品中Cr元素含量低, LIBS光谱自吸收现象不明显, 所以b≈ 1。
在优化的激光能量为90 mJ, 样品与透镜距离为121 mm和采集延时为1 000 ns的实验条件下, 对12个土壤样品进行光谱采集。 为减弱外界环境的干扰, 对同一样品的10个激光烧蚀位置得到的光谱做平均值预处理。 土壤样品中Cr元素的定标曲线如图6所示, 其中横纵标为样品中Cr元素的掺杂浓度, 纵坐标为对应的光谱强度。
LIBS的检测限计算公式如式(1)所示
其中σ 是对空白样品采集到的50组光谱数据的标准偏差, s是定标曲线斜率。
LIBS定标曲线的拟合优度和均方根误差分别由式(2)和式(3)表示
其中xi和yi分别表示样品的浓度值和信号强度,
其中, ci预测样品浓度,
根据12个土壤样品得到Cr(Ⅰ )357.86 nm, Cr(Ⅰ )425.44 nm, Cr(Ⅰ )427.49 nm的定标曲线, 计算得到的检测限(LOD)、 拟合优度(R2)和均方根误差(RMSE)如表1所示。
| 表1 土壤样品Cr元素LIBS定量分析参数 Table 1 The analyzed parameters of LIBS for Cr element in soil |
2.4.2 基于PLS的定标模型
为提高定量分析精度, 引入偏最小二乘法对定标模型进行校准。 建立实际浓度与预测浓度之间的定标模型。 通过引入偏最小二乘法进行定标, 定标曲线的R2有了很大幅度的提高, Cr(Ⅰ )357.86 nm, Cr(Ⅰ )425.44 nm, Cr(Ⅰ )427.49 nm定标曲线R2都提高到了0.995 2以上, RMSE有了一定程度的降低, 提高了模型的精确度。
2.4.3 基于LSSVM的定标模型
为进一步提高定量分析精度, 引入了LSSVM算法来对定标模型进行校准。 Cr(Ⅰ )357.86 nm, Cr(Ⅰ )425.44 nm和Cr(Ⅰ )427.49 nm定标曲线的R2都提高到了0.997以上, 拟合效果较好。 同时, RMSE进一步有所下降。 模型的稳定性和精确度都得到提高。
对激光能量, 样品与透镜距离和采集延时进行了实验参数优化, 在激光能量为90 mJ, 样品距透镜距离为121 mm和采集延时为1 000 ns的实验条件下采集的光谱最强。 通过对实验参数进行优化, 改善了LIBS技术对微量元素的定量探测参数, 得到了最优的光谱强度和信背比。 在优化的实验条件下, 对12种含有重金属Cr元素的土壤样品进行了光谱检测, 选择Cr(Ⅰ ) 357.86 nm, Cr(Ⅰ ) 425.44 nm, Cr(Ⅰ ) 427.49 nm为特征谱线, 通过建立样品掺杂浓度和光谱强度的定标曲线, 得到了三条谱线的LOD值分别为74.62, 64.07和67.49 mg· kg-1, R2值分别为0.98, 0.97和0.99, RMSE值分别为0.41, 0.33和0.35。 最后, 引入偏最小二乘法及支持向量机算法对定标模型精度进行了进一步提高, R2全部达到0.99以上。 通过对实验参数进行优化, 提高了光谱强度和信背比, 计算得到了土壤中Cr元素的定量分析参数, 对于利用LIBS技术检测微量重金属元素具有重要的参考意义, 将会进一步促进LIBS技术的应用。
| [1] |
|
| [2] |
|
| [3] |
|
| [4] |
|
| [5] |
|
| [6] |
|
| [7] |
|
| [8] |
|
| [9] |
|
| [10] |
|
| [11] |
|
| [12] |
|
| [13] |
|

