一个灵活的水结构: 来自拉曼光谱的证据
胡庆成, 赵海文
内蒙古科技大学, 内蒙古 包头 014010

作者简介: 胡庆成, 1986年生, 内蒙古科技大学讲师 e-mail: hqcyx5833@126.com

摘要

有关水结构的认识仍有较大争议, 焦点主要在于氢键结构类型的划分及各类型比重的确定。 为进一步探讨水的结构, 分析了不同温度、 H↔D同位素取代和氯离子浓度条件下H2O/D2O的拉曼光谱特征。 随温度由253 K逐渐升至753 K, 纯水的OH伸缩振动带带宽显著下降, 主峰明显蓝移, 肩峰对主峰的相对强度不断变化, 表明水中存在多种氢键结构。 结合高斯去卷积方法, 将这些光谱特征归因于水中并存的五种主要的氢键结构: 两种四面体, 单供体、 单氢键和自由水。 四面体氢键构型是水的弯曲振动、 平动+弯曲和频振动及分子间振动耦合产生的结构基础。 根据四面体度数据, 水结构具有较强的灵活性, 即水中相当比重的氢键结构以非四面体形态存在。 升温导致水中的四面体度显著下降, 促进四面体构型向单供体、 单氢键和自由水转变。 同位素取代降低OH/OD伸缩带低频肩峰对主峰的相对强度, 却增加高频肩峰对主峰的相对强度, 尤其在513 K以上的高温下, VH2O/VD2O=1/4或4/1水的OH或OD伸缩带上的高频肩峰将转变为主峰。 这些特征有力的支持了水的多结构体模式: 同位素取代导致水中的氢键结构形态发生转变, 由于O—D…O↔O—H…O氢键的转换, 原始O—D…O(O—H…O)四面体或非四面体氢键比率下降。 同位素取代强化自由水模式甚至在高温下促其转变为主峰, 也进一步证明了水中氢键结构随温度升高而转化的事实。 多结构下的多峰模式可有效解释H2O/D2O—NaCl溶液在不同温度下的OD/OH伸缩带特征。 NaCl加入, 433 K以下显著减少水中的四面体氢键构型, 将之转变为单供体和单氢键水; 而513 K以上轻微地促进水结构。 基于宽广条件范围内的拉曼光谱特征给出的水结构细节的划分方案为含水地质流体的拉曼光谱学和结构性质探讨提供了理论依据。

关键词: 拉曼光谱; 水结构; 氢键; 不同条件
中图分类号:P5 文献标识码:A
A Flexible Water Structure: Evidence From Raman Spectroscopy
HU Qing-cheng, ZHAO Hai-wen
Inner Mongolia University of Science and Technology, Baotou 014010, China
Abstract

There are still large controversial ideas on water structure, mainly focused on classifying the hydrogen bonding configurations and their relative amounts. To understand water structure, the Raman spectra of H2O/D2O under different temperatures, H↔D isotopic substitution (IS) ratios and chlorine ion concentrations. For the OH stretch bands, the bandwidth is largely reduced, the main peak blue-shifts and the relative intensity between the shoulders and the main peak changes as the temperature rises from 253 to 753 K, indicating various hydrogen bonding configurations in water. Using Gaussian deconvolution, we assign these spectral features to the five main hydrogen-bonding configurations: two tetrahedral, single donor (SD), single hydrogen bonded water (SHW), and free water (FW). The tetrahedral configuration is the structural basis for the bending mode, librational+bending sum mode and intermolecular couplings. The estimated tetrahedralitlly indicates a more flexible water structure, and most of the structure configurations in water are nontetrahedral. The temperature increase leads to a water structure transition from the tetrahedral to a single donor, single hydrogen-bonded water and free water. IS can reduce the relative intensity of the lower-frequency shoulder to the main peak but intensify the higher-frequency shoulder, and especially, the higher-frequency shoulder turns into the main peak of the OH/OD bands for the VH2O/VD2O=1/4 or 4/1 water. These spectral features strongly support a multi-structure mode of water: IS promotes the transition of hydrogen bonding structures that the primary O—D…O(O—H…O) (non)tetrahedral hydrogen bonding configurations are decreased due to the O—D…O↔O—H…O transformation. The transition of structures in water with the temperature rise is further evidenced from the observation that the FW mode is intensified with IS so that it becomes the main peak of the OD/OH stretch band at higher temperatures. The multi-mode concept concerning the multi-structure body of water is sufficient to explain the OD/OH band features for H2O/D2O—NaCl solutions. Adding NaCl can greatly reduce the population of the tetrahedral configurations and transform them to SD and SHW at temperatures lower than 433 K, but above 513 K, NaCl slightly enhances the hydrogen bonding in water. The classification scheme on the structureal details in water derived from the Raman spectral features at wide condition ranges by this study can provide the theoretical basis for the spectroscopic and structural studies in the area of geologic aqueous fluids.

Key words: Raman spectroscopy; Water structure; Hydrogen bond; Different conditions
引言

水是生命之源, 水的结构研究涉及物理、 化学、 地质等诸多领域[1, 2]。 水是地质过程中热液流体的主要成分, 水的结构和性质是相关研究工作者十分关心的问题[3], 特别在流体包裹体分析和拉曼光谱测量方面[4], 我们希望在水结构机制的深层次上认识流体体系的物理化学行为。 水, 简单却又神秘。 水, 虽仅含氢、 氧两种元素, 水分子间却可形成复杂的氢键相互作用, 进而水拥有多个反常性质, 例如, 常压下冰的高熔点和水的高沸点。 水的结构于2005年被Science杂志列为人类所面临的125个难题之一[5]。 目前, 学者们已经做了大量的研究工作, 但有关水结构的争论仍在继续。

有关水结构的争论的主要焦点在于氢键结构类型的划分及各类型比重的确定。 液态或固态水中四面体氢键构型的存在已毋庸置疑, 特别是, 氧的sp3-电子轨道杂化结构(四面体氢键构型的基础)已被实验证实[5]。 然而, 一定温、 压条件下液态水中的四面体氢键结构化程度(简称四面体度)还未确定。 传统的观点认为, 液态水的氢键网络近乎完整, 即水的四面体度很高。 Morawietz等[6]直接将水中四面体度这一单一的结构参量与水Raman光谱随温度的变化进行关联。 而Wernet等[7]提出液态水中水氢键主要以单供体而非四面体构型为主。 这也引发了有关水中氢键结构细节更为广泛的讨论。 Smith等[8]肯定了四面体的基本结构形态, 但也指出, 其他类型的氢键构型也存在, 即水是一个多结构态体系。 Nilsson和Pettersson[9]认为水包含四面体有序的和破坏了无序的两种氢键构型, 即两态结构模式。 Skinner等[10]提出, 水的局部氢键环境(结构)有多种, 但四配位结构仍为主要构型。 在整体水的层面上, 常温常压下, 四面体度的高低决定了液态水结构的灵活性。 Sun[11]将水视为类似于晶体格子的有序结构体, 即总水分子以四配位方式缔合。 显然, 这样的水结构灵活性较低。 有趣的是, 过冷水中存在高密度液体和低密度液体两种局部结构[12, 13]。 当水固结, 冰的光谱竟仍然呈现多峰和宽轮廓特征[14], 且不同温、 压下冰有众多结构相[15, 16], 表明冰内水环境仍然很复杂[17]。 在界面水的层面上, 和频振动光谱(SFG)数据[18]指示, 界面水的氢键结构亦有多种。 水是透明的, 且在任何情况下都难以避开界面, 因此我们无法开展针对界面水和总水各自的独立观测, 进而难以精确确定界面水和总水对光谱的贡献比例, 这也在客观上增加了水结构细节划分的困难性。 此外, Dor Ben-Amotz等[19]发现240~360 K范围内的水中存在5%~7%的过配位氢键构型, 这又给水结构多蒙了一层神秘的面纱。 水中神秘的氢键结构还体现在水与其他不同分子和离子间发生差异显著的水化作用。 例如, 拉曼光谱数据揭示[20, 21, 22, 23]: 低温下CO2和CH4的水化水分子间的氢键四面体连接程度较高, 而温度升高, 四面体度明显下降; 常温下, Cl, Br和I卤素离子可显著降低水的氢键程度, 而 PO43-却促进氢键。 实际上, 有关水结构细节的不同划分源于就实验数据所优选的解释方式的不同。 可见, 引人入胜而又神秘的水结构还有待进一步研究探讨。

拉曼光谱已被广泛用于测量并探讨纯水和各种含水体系的结构[6, 24, 25]。 水的拉曼峰能够反映水分子间的氢键相互作用[26]。 与其他简单分子(如CH4, CO2和N2等)不同, 水的OH伸缩振动带在约2 800~3 800 cm-1的宽波数范围内表现出一种宽且不对称的形态, 表明水分子间存在复杂的氢键相互作用。 此外, 理解OH伸缩振动带特征还需要考虑振动耦合、 费米共振及对称/反对称等因素[27]。 然而, 我们很难从OH伸缩带上分辨出这些因素的各自贡献。 人们期待借助理论模拟和计算分别澄清各因素影响OH伸缩带的机制, 最终重现实验所得光谱特征, 但往往难以取得令人满意的结果。 面对这一瓶颈, 我们需抓主要矛盾, 将OH伸缩带特征主要归属于水中的复杂氢键相互作用。

本文综合对比和分析水在温度T=173~573 K、 同位素取代 VH2O/ VD2O=0/1, 1/4, 1/1, 4/1, 1/0和NaCl浓度nNaCl/ nH2O(H2O)=0.036, 0.090条件下的OD/OH伸缩带光谱特征, 借助多方面的数据为水的结构提供进一步的认识。

1 实验部分

样品制备所需试剂: 去离子H2O(18.2 MΩ · cm); 重水D2O(D原子%> 99.9%; Sigma Aldrich生产, 纯度> 99.9%); NaCl(纯度> 99.99%)。

水(溶液)样品在一段密闭的圆形熔融石英毛细管(外径~665 μ m; 内径~200 μ m)中进行测量。 样品置入Linkam THMS 600冷热台(图1)中控温, 精度1 ℃以内。

图1 高压腔结合原位Raman光谱测量水(溶液)实验设置示意图Fig.1 A sketch showing the experimental settings for the high-pressure cell combined with in situ Raman spectroscopic measurement

本文的光谱均在JY/Horiba XploRA PLUS Raman光谱系统采集。 仪器配备532 nm的激光器, 50倍Olympus长焦镜头, 1 200 line· mm-1的光栅, 分辨率约1.5 cm-1。 主要采集在~1 800~4 000 cm-1范围的OD/OH伸缩振动带, 光谱采集时间为60~100 s, 两次累积。 采用GRAMS/AI (Thermo Galactic)软件对光谱曲线进行积分和参数提取。 采用Jandel Scientific PeakFit 4.12软件进行光谱拟合。

2 结果与讨论
2.1 纯H2O的拉曼光谱特征和归属

如图2所示, H2O的拉曼光谱在253~753 K范围内随温度升高呈现系统而连续的变化。 1 630 cm-1附近的弯曲振动模式(ν B)的频率几乎不变。 平动和弯曲振动的和频模式(ν L+B)随温度升高: 自253~373 K, 红移约120 cm-1; T> 373 K, 几乎不变。 最引人注目的是, 随温度升高, 2 800~3 800 cm-1范围的OH伸缩带的峰宽逐渐减小, 主峰不断蓝移(尤其在313 K以上), 三个显现的模式“ ν FHW” (全氢键化水振动模式)、 “ ν PHW” (部分氢键化水振动模式)和“ ν FW” (自由水振动模式)的相对强度不断改变, 特别是ν FHW对主峰的相对强度显著降低。 当温度升至713 K之上, ν Bν L+Bν FHW三个模式同时消失, OH伸缩带仅余ν FW附近的一个单峰。

图2 H2O在30 MPa、 253~753 K范围内的Raman光谱(数据源于文献[28])
ν B: 弯曲振动模式; ν L+B: 平动(librational)和弯曲(bending)振动的和频模式; ν FHW: 全氢键化水的振动模式; ν PHW: 部分氢键化水的振动模式
Fig.2 Raman spectra of H2O at temperatures of 253~753 K and a pressure of 30 MPa (The data are from Ref.[28])
ν B: The bending mode; ν L+B: The sum frequency of librational and bending; ν FHW: The fully hydrogen bonded water; ν PHW: The partially hydrogen bonded water

我们将水的OH伸缩带光谱特征归属于不同氢键构型下的水振动。 想象一个孤立的水分子, 其OH伸缩振动峰形态应当为简单而对称的尖峰, 类似于常见气体, 如CO2, CH4和N2等分子的光谱。 而对于液态水和固态冰, 水分子之间存在广泛而复杂的氢键相互作用, 进而OH伸缩振动模式表现为一个宽的光谱带, 不对称, 且多模式叠加。 温度升高, 水中的氢键缔合程度下降, 在713 K之上, 水-水氢键被破坏殆尽, 水的状态近于以孤立水分子为主的气态水。 换言之, 低温下液态水的OH伸缩带指示, 水中的氢键构型有多种, 或水是一个多氢键集合体。 这个认识与非均匀水结构的观点一致[9, 29, 30]

我们将图2中液态水的OH伸缩带分峰拟合, 划分出5个组分, 并分别归属: 理想四面体氢键构型(C1; 3 075 cm-1)、 变形四面体氢键构型(C2; 3 245 cm-1)、 单供体氢键构型(C3; 3 420 cm-1)、 单氢键构型(C4; 3 550 cm-1)和自由水(C5; 3 650 cm-1)(图3)。 这种划分的基本依据如下: (1)C1与六角冰的主峰对应, 这种构型是组建六角冰结构的基本单元; (2)C2相对C1有所变形, 是液体水的标志性结构; (3)图2中的ν PHW的峰顶部附近轮廓中心在413 K以下相对左偏而在413 K以上相对右偏, 且ν PHW强度在413~573 K范围随温度的变化出现平台, 表明ν PHW应由至少两个随温度此消彼长的组分叠加而成。 (4)C5对应无氢键自由水, 接近753 K状态的水。 这些拟合的子成分一般为中心频率固定的Gaussian组分, 虽然具有一定的多解性, 但可以很好的重现(R2均在99.7%以上)图2中水的OH伸缩带。 因此, 我们认为, 这些结构能大致代表水中的主要氢键结构类型, 但同时也不能否认其他氢键构型的可能。

图3 水的OH(OD)伸缩带拟合和成分归属示意图Fig.3 Fitting and assigning of the OD/OH stretching bands

2.2 同位素取代H2O(D2O)的拉曼光谱特征和归属

为进一步理解水的结构, 我们对比了不同氢/氘同位素取代比下水的拉曼光谱特征(图4)。 同位素取代降低OH/OD伸缩带低频肩峰(PK 1)对主峰(PK 2)的相对强度, 却增加高频肩峰(PK 3)对主峰的相对强度。 尤其在513 K以上的高温情况下, VH2O/ VD2O=1/4或4/1水的OH或OD伸缩带上的PK 3将取代PK 2成为主峰。 这些特征有力的支持了水的多结构体模式: 由于O— D…O与O— H…O氢键对称性的差异, 同位素取代后水中的氢键结构形态发生变化; D↔ H的取代导致水中O— D…O↔ O— H…O氢键的转换, 结果原始O— D…O(O— H…O)四面体或非四面体氢键比率下降。 由于OD和OH振动频率范围的不重叠, D↔ H取代相当于导致某O— D…O(O— H…O)的振动信号被另外频率的O— H…O(O— D…O)的振动信号替代。 PK 3相对强度增加进而高温下成为主峰的现象进一步揭示D↔ H取代下升温将更大程度地促进全氢键化水(FHW)向部分氢键化水(PHW)转变。

图4 同位素取代水( VH2O/ VD2O=1/0, 4/1, 1/1, 1/4, 0/1)在303~573 K范围内的Raman光谱(数据源于文献[31, 32])Fig.4 Raman spectra of isotopic substitution water with VH2O/ VD2O=1/0, 4/1, 1/1, 1/4, 0/1 at 303~573 K (Data are from Ref.[31, 32])

很多文献认为, 费米共振、 反对称伸缩振动、 分子内振动耦合等因素应考虑在OH伸缩带的理解中。 然而, 我们所得的H2O+D2O光谱不能为这些因素的合理性提供支持, 原因如下: H2O/D2O的3 250/2 395 cm-1模式可能是ν B模式的2倍余频, 但我们无法确定与其发生费米共振(一种分子内振动耦合)的OD/OH伸缩振动主频, 进而对称/反对称的因素(亦为一种分子内振动耦合)也显得不具合理性。 另一方面, 分子间振动耦合的贡献亦很难从拉曼光谱中准确分辨。 我们认为, 四面体氢键构型是分子间振动耦合产生的结构基础(更多详细的讨论见文献[31, 32])。 713 K之上, ν B, ν L+Bν FHW三个模式的同时消失暗示这三种模式存在于液态水中是以氢键相互作用为基础的, 最可能源于四面体氢键构型, 特别是ν L+B随温度的红移可能由氢键程度降低所致, 而平动模式可能在373 K有所突变。 弯曲振动本应属于单个水分子范围的, 只要水分子存在, 就不应消失。 然而高温下ν B的消失表明其更可能属于含氢键水的弯曲振动。 O— H…O氢键伸缩振动已被拉曼光谱证实, 其频率约为200 cm-1 [25]ν Bν L+B的归属还有待进一步的研究探讨。

根据本文有关水结构的划分细节, 我们估算了D2O(H2O)中的氢键四面体度(Tet; %), 如表1所示。 较H2O: T< 413 K, TetD2O略高于 TetH2O, 这符合D2O具有较强氢键的事实; T> 413 K, TetD2O略低, 表明D2O中的四面体氢键构型的抗温能力稍弱。 而且, 估算的每个水分子的平均氢键数[nHBs=4× (C1+C2)+2× C3+1× C4]总体上随温度升高而单调下降。 Wernet等[7]估计的 TetH2O=15~40%, nHBs=2.2± 0.5 (T=298 K); 2.1± 0.5 (T=363 K), Sun[33]估计的 TetH2O=33.2%, 均与本文的估计值一致。 Galamba[34]估计的nHBs=3.42 (T=298 K), 3.32 (T=313 K), 3.08 (348 K), 略高于我们估计的值。

表1 D2O(H2O)中的四面体度(Tet; %)和水分子的平均氢键数(nHBs) Table 1 The estimated tetrahedrality (Tet; %) and average number of hydrogen bonds (nHBs) in water

根据表1中估计的四面体度, 我们的光谱数据倾向于支持具有较强灵活性的水结构。 然而, 我们给出的水结构模式应视为实际情况的一种近似, 水结构的更多细节还有待进一步的挖掘。

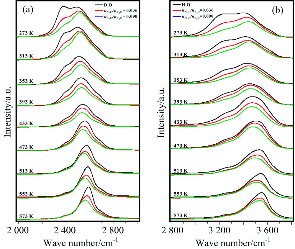
2.3 H2O/D2O— NaCl的拉曼光谱特征和归属

图5对比了H2O/D2O— NaCl在不同NaCl浓度和温度下的Raman光谱特征。 OD/OH伸缩带带宽和2 395/3 250cm-1模式相对强度随NaCl浓度的增加而逐渐下降, 但变化程度受温度控制: T< ~433 K, 显著; T> 433 K, 明显被削弱; T> ~513 K, 轻微反转。 升高温度和盐度对OD/OH伸缩带的影响表现出连续性和一定温度范围内的单调性。 另一方面, NaCl不改变2 395/3 250 cm-1模式的频率, 却造成主峰在433 K以下的红移和433 K之上的蓝移。

图5 H2O/D2O— NaCl溶液在273~573 K范围内的 Raman光谱(数据源于文献[35])Fig.5 Raman spectra of H2O/D2O— NaCl solutions at 273~573 K (Data are from Ref.[35])

对于这些随温度和盐度变化的OD/OH伸缩带特征, 此消彼长的多峰模式是一种有效的解释方案。 基于纯水结构的划分模式, 我们亦将盐水的OD/OH伸缩带分解为5个组分, 取得了很好的拟合结果(详见文献[35, 36], 不再赘述)。

可见, NaCl对水结构的影响主要在于降低四面体氢键构型的比例, 并转变为单供体和单氢键水, 即NaCl为水结构的破坏者。 然而, 这仅局限于433 K之下的低温范围, 到513 K以上NaCl反而轻微促进水结构, 或者, NaCl能抵消少许温度对氢键结构的破坏影响。

3 结论

分析了水在不同温度、 同位素取代比和氯离子浓度条件下的拉曼光谱特征, 基于去卷积的方法, 揭示水中主要氢键结构形态, 认为水结构具有较强灵活性。 针对拉曼光谱数据对水的结构细节给出了一个大致的划分方案, 即水中的主要氢键结构包括四面体氢键结构、 单供体、 单氢键和自由水。

水-水氢键虽为一个物理上的概念, 但氢键结构的变化也可以理解为一种“ 化学变化” : 氢键连接的聚合水“ 大分子” 被破坏后转变为“ 小分子” , 而“ 小分子” 也可重新聚合为“ 大分子” , 进而氢键连接或断裂可导致水结构和性质的显著改变。 这种说法实质是强调氢键的重要性。 本文认为, 水中多种氢键构型并存, 且动态转换, 进而产生的瞬时局部水结构也有多种可能。 这是水光谱数据多解性的本质来源。 水中的氢键程度总体上在温度升高后显著降低, 但高温下仍保留了可观的氢键量, 这在客观上为成矿热液溶解和搬运矿质提供了有利的结构条件。 基于多氢键构型的模式, 我们给出了解释有关H2O— CO2拉曼光谱定量和宽广温压下CO2在H2O中溶解行为的合理机制[37]。 我们将来也会开展有关流体包裹体相关水溶液体系的拉曼光谱和物理化学行为的光谱学和结构的更多研究。

我们既不能毫无怀疑坚定地认为水是一个完整的、 具有类似晶体格子结构的四面体网络, 也不能完全的将水视为多种孤立结构的集合体, 否则, 都将导致片面的理解和认识。 水结构既表现出四面体网络整体的特征, 也有多结构的特征, 难以被琢磨透彻, 因此, 我们需要综合多方面的实验证据, 仔细考量水结构的本质特征。 认识水这样一个复杂的结构体, 目前还离不开一些假设。 面面俱到的揭开水结构的所有细节仍需更多的研究工作。

参考文献
[1] GAO Yue(高月). Master Dissertation(硕士学位论文). Jilin University(吉林大学), 2020. [本文引用:1]
[2] OUYANG Shun-li, LI Zheng-qiang, WU Nan-nan, et al(欧阳顺利, 李正强, 吴楠楠, ). Spectroscopy and Spectral Analysis(光谱学与光谱分析), 2013, 33(9): 2425. [本文引用:1]
[3] Qiu Ye, Yang Yuanxian, Wang Xiaolin, et al. Chemical Geology, 2020, 533: 119447. [本文引用:1]
[4] LI Jia-jia, LI Rong-xi, LIU Hai-qing(李佳佳, 李荣西, 刘海青). Physical Testing and Chemical Analysis Part B: Chemical Analysis(理化检验: 化学分册), 2016, 52(7): 859. [本文引用:1]
[5] YAO Chuang, ZHANG Xi, HUANG Yong-li, et al(姚闯, 张希, 黄勇力, ). Progress in Chemistry(化学进展), 2018, 30(8): 1242. [本文引用:2]
[6] Morawietz T, Marsalek O, Pattenaude S R, et al. Journal of Physical Chemistry Letters, 2018, 9(4): 851. [本文引用:2]
[7] Wernet P, Nordlund D, Bergmann U, et al. Science, 2004, 304(5673): 995. [本文引用:2]
[8] Smith J D, Cappa C D, Wilson K R, et al. Proc. Natl. Acad. Sci. USA, 2005, 102(40): 14171. [本文引用:1]
[9] Anders Nilsson, Lars G M Pettersson. Nature Communications, 2015, 6: 8998. [本文引用:2]
[10] Auer B, Kumar R, Schmidt J R, et al. Proc. Natl. Acad. Sci. USA, 2007, 104(36): 14215. [本文引用:1]
[11] Sun C Q. Physical Chemistry Chemical Physics, 2018, 20(48): 30104. [本文引用:1]
[12] Lars G M Pettersson, Anders Nilsson. Journal of Non-Crystalline Solids, 2015, 407: 399. [本文引用:1]
[13] Rui Shi, John Russo, Hajime Tanaka. Proceedings of the National Academy of Sciences, 2018, 115(38): 9444. [本文引用:1]
[14] Hu Q, Zhao H, Ouyang S. Physical Chemistry Chemical Physics, 2018, 20(45): 28600. [本文引用:1]
[15] Chaplin Martin, Water Structure and Science, http://www1.lsbu.ac.uk/water/water_structure_science.html, 2020. [本文引用:1]
[16] Christoph G Salzmann. Journal of Chemical Physics, 2019, 150(6): 060901. [本文引用:1]
[17] Soper A K. The Journal of Physical Chemistry B, 2015, 119(29): 9244. [本文引用:1]
[18] Tang F, Ohto T, Sun S, et al. Chemical Reviews, 2020, 120(8): 3633. [本文引用:1]
[19] Morawietz T, Urbina A S, Wise P K, et al. J. Phys. Chem. Lett. , 2019, 10(20): 6067. [本文引用:1]
[20] Wu Xiangen, Lu Wanjun, Louis M Streacker, et al. Angewand te Chemie International Edition, 2018, 57(46): 15133. [本文引用:1]
[21] Zukowski S R, Mitev P D, Hermansson K, et al. The Journal of Physical Chemistry Letters, 2017, 8: 2971. [本文引用:1]
[22] Mohammed Ahmed, Namboodiri V, Ajay K Singh, et al. The Journal of Physical Chemistry B, 2013, 117(51): 16479. [本文引用:1]
[23] Mohammed Ahmed, Ajay K Singh, Jahur A Mondal, et al. The Journal of Physical Chemistry B, 2013, 117(33): 9728. [本文引用:1]
[24] Li Fabing, Li Zhanlong, Wang Ying, et al. Spectrochimica Acta Part A: Molecular and Biomolecular Spectroscopy, 2018, 196: 317. [本文引用:1]
[25] Pavelec J, DiGuiseppi D, Zavlaysky B Y, et al. Journal of Molecular Liquids, 2019, 275: 463. [本文引用:2]
[26] Debashree Chakraborty, Amalendu Chand ra. Chemical Physics, 2012, 392(1): 96. [本文引用:1]
[27] Fivos Perakis, Luigi De Marco, Andrey Shalit, et al. Chemical Reviews, 2016, 116: 7590. [本文引用:1]
[28] Hu Qingcheng, Xinbiao, Lu Wanjun, et al. Journal of Molecular Spectroscopy, 2013, 292: 23. [本文引用:1]
[29] Bijyalaxmi Athokpam, Sai G Ramesh, Ross H McKenzie. Chemical Physics, 2017, 488-489: 43. [本文引用:1]
[30] Pietzsch A, Hennies F, Miedema P S, et al. Physical Review Letters, 2015, 114(8): 088302. [本文引用:1]
[31] Hu Qingcheng, Ouyang Shunli, Li Jie, et al. Journal of Raman Spectroscopy, 2017, 48(4): 610. [本文引用:1]
[32] Hu Qingcheng, Zhao Haiwen, Ouyang Shunli. Physical Chemistry Chemical Physics, 2017, 19(32): 21540. [本文引用:1]
[33] Sun Qiang. Chemical Physics Letters, 2013, 568-569: 90. [本文引用:1]
[34] Galamba N. The Journal of Physical Chemistry B, 2013, 117(2): 589. [本文引用:1]
[35] Hu Qingcheng, Liang Yuying, Zhao Haiwen, et al. Journal of Molecular Liquids, 2020, 318: 114313. [本文引用:1]
[36] Hu Qingcheng, Guo Huirong, Lu Wanjun, et al. Journal of Molecular Liquids, 2014, 199: 83. [本文引用:1]
[37] Hu Qingcheng, Zhao Haiwen, Li Hongxia, et al. Chemical Physics Letters, 2019, 717: 47. [本文引用:1]