作者简介: 陈美辰, 1994年生, 吉林大学生物与农业工程学院硕士研究生 e-mail: 1615501885@qq.com
光温环境胁迫是影响作物优质高产的一个主要制约因素, 传统的作物胁迫监测, 敏锐性不足、 耗时费力且多为有损检测。 近年来随着信息技术的快速发展, 高光谱技术能够快速无损的获取作物生理信息, 并对逆境胁迫响应进行动态监测, 为现代农业的精准化生产和智能化决策提供了数字化支撑, 对实现传统农业向精准化、 数字化的现代农业转变具有重要意义。 以玉米苗期为研究对象, 获取不同光温环境下叶片的高光谱数据和生理参数, 探究玉米苗期叶片对不同光温环境的响应规律, 进行高光谱差异性分析, 并构建生理参数的高光谱反演模型。 利用相关分析法筛选光谱敏感波段, 采用多元散射校正(MSC)、 标准正态变量变换(SNV)、 Savitzky-Golaay(S-G)平滑相结合的预处理方法, 分别与偏最小二乘回归法(PLS)、 主成分回归法(PCR)、 逐步多元线性回归法(SMLR)三种建模方法组合, 以模型相关系数和均方根误差作为模型效果评价指标, 探索高光谱反演叶片生理参数模型的最优方法。 结果表明: 不同光温环境下玉米的高光谱特性在整体上变化趋势一致, 但仍存在差异, 在500~700 nm波段内, 光谱反射率的升高表明光强的增强; 在760~900 nm波段内, 光谱反射率的升高表明温度的增强; 且光温胁迫环境的变化, 均可反映在高光谱特性上, 波段760~900 nm内光谱的反射率在高温胁迫环境下较高, 在弱光胁迫环境下较低, 在低温胁迫环境下反射率显著降低; 所构建的SPAD和 Fv/Fm的反演模型中, 建模最优方法为PLS-MSC-SG, 模型验证集相关系数分别为0.958和0.976, 训练集相关系数分别为0.979和0.995。 模型的预测性精度较高, 表明利用高光谱技术, 可以实现光温环境胁迫下玉米植株的定量监测, 提高田间精细化管理水平, 为玉米优质高产的智能化管理提供参考依据。
Environmental stress of light and temperature is a major restricting factor that affects the quality and yield of crops. Traditional crop stress monitoring is insufficiently sensitive, time-consuming and laborious, and mostly destructive testing. In recent years, with the rapid development of information technology, hyperspectral technology can quickly and non-destructively obtain crop physiological information, and dynamically monitor the response to adversity, providing digital support for the precision production and intelligent decision-making of modern agriculture, and is of great significance for realizing the transformation of traditional agriculture to precision and modern digital agriculture. This paper takes the corn seedling stage as the research object, obtains the hyperspectral data and physiological parameters of leaves under different light and temperature environments, explores the response law of corn leaves to different light and temperature environments, conducts hyperspectral difference analysis, and construct physiological parameters Hyperspectral inversion model. The correlation analysis method is used to screen the spectral sensitive band. The preprocessing method combining Multivariate Scattering Correction (MSC), Standard Normal Variable transformation (SNV), and Savitzky-Golay (SG) smoothing is used, respectively. Partial Least Square regression (PLS), Principal Component Regression (PCR), Stepwise Multiple Linear Regression (SMLR) three modeling methods combination, the model correlation coefficient and root mean square error are used as model effect evaluation indicators to explore the optimal method of hyperspectral inversion of leaf physiological parameter models. The results show that the hyperspectral characteristics of corn under different light and temperature environments have the same changing trend as a whole, but there are still differences. The reflectance of the spectrum in the 500~700 nm band gradually increases with the increase of light intensity, the reflectivity of the spectrum in the 760~900 nm band gradually increases with the increase of temperature, and the changes of the light and temperature stress environment can be reflected in the hyperspectral characteristics. The spectral reflectance in the 760~900 nm band is relatively high in a high temperature stress environment, the spectral reflectance is low in a low light stress environment, and the reflectance is significantly reduced in a low temperature stress environment. The optimal combination of SPAD and Fv/Fm inversion model is PLS-MSC-SG, the correlation coefficients of the model validation set are 0.958 and 0.976, and the correlation coefficients of the training set are 0.979 and 0.995, respectively. The model’s predictive accuracy is high, which indicates that the use of hyperspectral technology can realize quantitative monitoring of maize plants under light and temperature environmental stresses, improve the level of refined management in the field, and provide a reference for the intelligent management of high-quality and high-yield maize.
玉米是世界上重要的粮食、 饲料和工业原料作物, 据国家统计局显示, 2020年东北三省玉米种植面积共为1 246.75万公顷, 其中吉林省玉米种植面积为428.72万公顷, 总产量高达2 973.44万吨, 占本省粮食作物总种植面积的75.45%。 环境因素一直是影响粮食生产的首要因素, 环境因素的变化与粮食的生长发育、 产量品质等息息相关, 其中光照和温度对粮食生产的影响尤为显著。 光是植物生长过程中不可或缺的环境因子之一, 是进行光合作用的能量来源[1]。 玉米是喜光作物, 具有较高的光饱和点, 因此光对玉米的不利影响主要是弱光胁迫。 温度同样也是植物生长发育过程中的重要环境因子, 植物的呼吸作用、 光合过程、 蒸腾作用以及叶绿素荧光的变化、 干物质积累和营养运输等都需要在一定的温度下进行[2, 3], 温度影响着植物内部的基因表达和酶活性等生理生化过程, 因此植物的生长发育需要适宜的环境温度[4]。 联合国政府间气候变化专门委员会(IPCC)第五次评估报告显示, 到21世纪末全球温度可能将增加2~5 ℃。 与20世纪末相比, 气温升高2 ℃, 热带、 温带地区的小麦、 水稻、 玉米等农作物的生产就会受到一定程度的不利影响, 如果气温升高超过4 ℃, 则有可能影响到全球粮食生产的安全问题。 因此, 探明玉米植株对光温环境因子的响应规律, 具有重要意义。
玉米苗期是指从播种出苗到拔节这一阶段, 最适温度为18~20 ℃, 是茎叶分化的关键时期, 同时也是受非生物胁迫影响最严重的时期, 且光温逆境对叶片的损伤, 会影响其整个生育期。 苗期弱光会影响植株品质、 株高等光合生理特性[5]; 高温胁迫会导致田间出苗率和整齐度下降, 进而影响作物产量[6]。 目前, 随着全球变暖现象的日益严重, 光、 温环境已经成为制约玉米高产优质的主要环境因子[7, 8], 研究表明, 玉米生育期间太阳总辐射减少1 kJ· cm-2, 相当于玉米生物产量减少337.5 kg· hm-2, 苗期遮荫会导致产量降低16.9%, 因此探究光温环境因子对玉米苗期生长发育的影响尤为重要。
高光谱检测具有检测分辨率高、 波段宽、 时效性强、 无污染、 非破坏性等优势, 被广泛应用于精准农业中, 已成为近年来国内外学者广泛关注和研究的热点[9]。 冯伟[10]等利用光谱技术, 对白粉病胁迫下的小麦冠层进行监测, 构建了病害小麦冠层叶绿素密度估算模型; 刘爽[11]等利用高光谱技术进行水氮胁迫下大豆叶片生理信息的预测, 结合不同的光谱预处理与建模方法, 建立了单叶叶绿素含量和净光合速率反演模型, 模型SNV+SD+S-G+PLS的校正集相关系数为0.993; Liu[12]等提出基于红边区域/绿边区域(SDRed/SDBlue)和红边区域/黄边区域(SDRed/SDYellow)的反演模型, 能够精准预测冬小麦生育期不同CO2浓度条件下的LAI和SPAD值; 徐琳煜[13]等进行了干旱胁迫下白术叶片的光谱特征监测, 通过分析原始光谱、 一阶导数光谱、 光谱参数和水分敏感植被指数, 探索了干旱胁迫下光谱特征的响应规律; 贺佳[14]等获取了不同氮磷水平下冬小麦的光谱数据, 建立了冬小麦不同生育期生物量的分段监测模型, 其模型相关系数R2最高可达0.987。 尽管国内外学者在作物胁迫、 生理信息监测等方面进行了大量研究, 但多以作物生育后期为主, 且多集中于水分胁迫、 重金属胁迫、 营养胁迫等方面, 针对光温环境胁迫对玉米苗期生长发育影响的研究较少。
本工作在光温环境胁迫下, 无损获取玉米苗期叶片的生理参数与高光谱数据, 探究玉米叶片生理参数以及光谱特性对光温胁迫的响应规律, 并提取敏感波段, 建立叶片生理参数的高光谱反演模型。 旨为更有效的监测作物环境胁迫, 为玉米高产优质的可持续发展提供理论依据。
实验于吉林大学生物与农业工程学院玻璃日光温室内进行(海拔高度150 m, 44° 50'N, 125° 18'E), 样品选用玉米“ 郑单958” , 采用盆栽方式种植。 于二叶一心时进行移栽, 移入装有颗粒复合肥及营养土均匀混合的塑料花盆内(尺寸为49 cm×20 cm×14 cm), 每4株均匀移入一个花盆内, 时刻保持盆内土壤的透气性和湿润度。 待移栽后长至五叶一心时放入人工智能气候箱进行实验处理, 所有植株均进行正常水肥管理。
实验的光温处理组如表1所示, 总共设置8组光温环境, 可分为单因素实验和双因素实验。 所有处理组的湿度均设为60%, 胁迫时间均为12/12 h(昼/夜), 以温室内正常生长的玉米植株为对照(CK), 测得温室内日最大光强为50 000 Lux, 日均气温为20 ℃。 每个处理组设样本12株, 即12次重复, 测定地点在温室内进行, 测定部位选取玉米样株完全展开的第四叶与第五叶, 进行信息的采集及测定。
| 表1 实验光温处理组 Table 1 Light and temperature experimental treatment group |
实验于晴朗无云上午9:00—14:00进行, 同步采集玉米叶片的生理参数和高光谱数据, 生理参数包括相对叶绿素含量(SPAD)和光系统Ⅱ 最大光化学量子效率(Fv/Fm)。 高光谱数据的采集选用美国公司生产的HH2地物光谱仪, 该仪器测量波段范围为325~1 075 nm, 采样间隔1.4 nm, 分辨率3 nm@700 nm, 每片叶获取9条数据; SPAD选用日本公司生产的SPAD502测定, 每片叶获取3条数据; Fv/Fm采用美国公司生产的便携式脉冲调制叶绿素荧光分析仪(OS1P), 于叶片充分暗适应20 min后进行测定, 每片叶获取3条数据。 所有数据均取其平均值, 利用ViewSpec Pro、 Origin 19.0和Spss 26.0软件进行数据处理与分析。
叶片的叶绿素含量是评价植株光合效率和环境胁迫的重要指标, 也是解析光谱变化的敏感因子, 因此实时无损监测叶绿素状况对作物的农情监测、 产量估算具有重要意义。 艾天成等将玉米、 水稻、 大豆等农作物的叶绿素含量与其SPAD值, 进行了统计分析, 筛选出最佳相关函数, 均达显著水平, 表明了SPAD值能够精确反映作物体内的叶绿素含量。 在本实验不同光温环境下, 观察玉米叶片SPAD值的变化, 如图1所示, 结果表明: 单因素实验中, 叶片的SPAD值在各处理组间变化幅度较小, 但仍存在差异; 双因素实验中, 光温处理组6和组8有较低的SPAD值, 分别为39.394和36.652, 这是由于在高温的环境下, 植株生长会受到限制, 导致叶绿素结构遭到破坏, 抑制了叶绿体吸收光能, 从而使叶片光合作用减弱。
Fv/Fm代表了光系统Ⅱ (PSⅡ )的原初化能转化率, 对于大多数未受胁迫的植物, 合适的Fv/Fm在0.79到0.84之间, Fv/Fm广泛应用于各种逆境胁迫对植物光合作用影响的研究, 其降低的幅度可以被用来衡量逆境胁迫对PSⅡ 复合体损伤的程度, 反映逆境对植物光合作用的伤害程度[15]。 实验测得Fv/Fm的变化如图2所示, 结果表明: 温度胁迫下Fv/Fm显著降低(p< 0.05), 在光温处理组3中, Fv/Fm的下降幅度为43.04%, 在光温处理组4中Fv/Fm的下降幅度为24.05%, 光温双因素胁迫下的Fv/Fm下降幅度较小, 说明低温或高温会导致植株的PSⅡ 复合体受损, 使其光能转化过程受到破坏。 可以看出, 在短期低温或短期高温下, 叶片的SPAD值与Fv/Fm均显著下降, 表明玉米植株对温度变化敏感, 温度胁迫会导致植株的光合系统受损, 光合能力下降。
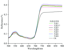
植物叶片的高光谱特征反映了植物本身的生理信息, 与其内部的组织结构、 生化成分以及形态学特征有关, 因此作物受到胁迫后, 其光谱特性也会随之发生变化。 图3是光温胁迫下叶片高光谱的特征变化, 可以看出, 光谱的变化特征基本一致, 在波段520~600 nm的可见光550 nm处, 出现反射峰即“ 绿峰” , 在波段630~690 nm的可见光680 nm处, 出现反射谷即“ 红谷” , 进入波段700~900 nm近红外光区, 光谱反射率快速升高, 最后形成稳定的反射平台。
| 图3 不同光温环境下叶片的高光谱特征Fig.3 Hyperspectral characteristics of leaves under different light and temperatures environments |
但随着光温环境的不同, 光谱特性也存在差异。 在520~600 nm绿光区内, 光温处理组8有较高的反射率, 这是因为500~700 nm波段内玉米叶片的反射率与其叶绿素含量紧密相关, 光温胁迫会使叶绿体膜破损, 改变了基粒原有结构, 导致叶绿素合成受到影响, 因此叶片的叶绿素含量较低, 从而导致光谱反射率较高, 在光温耦合环境下高光谱对光强的变化响应敏感; 在700~900 nm范围内, 光温处理组6有较高的反射率, 此时高光谱对温度的变化响应敏感, 这是因为760~900 nm波段内玉米叶片的反射率主要受玉米内部结构的影响, 高温会使其内部结构受到破坏, 导致对光的吸收减少, 从而反射率增加。 综合比较分析表明: 波段500~700 nm内光谱反射率随光强的增加而增高; 波段760~900 nm内光谱反射率随温度的增加而增高; 760~900 nm波段内光谱的反射率特征表现为, 对照环境下光谱的反射率值高于弱光胁迫处理, 低于高温胁迫处理。
2.3.1 敏感波段的提取
将叶片的SPAD和Fv/Fm分别与对应的高光谱数据进行相关性分析, 如图4和图5所示, 结果表明: 高光谱数据与叶片的SPAD呈负相关, 与叶片的Fv/Fm呈正相关。 在全波段中, 相关系数绝对值大于0.40(p< 0.05)的波长范围集中在519~583 nm波段和703~730 nm波段(SPAD), 相关系数绝对值大于0.60(p< 0.05)的波长范围集中在729~978 nm波段(Fv/Fm), 因此选取波段519~583, 703~730和729~978 nm作为模型建立的敏感波段。
2.3.2 反演模型的建立
实验共采集玉米叶片样本181个, 剔除21个异常样本后按1: 3合理划分, 分别为训练集样本120个, 验证集样本40个。 以光谱敏感波段作为模型输入量, 采用多元散射校正(MSC)、 标准正态变量变换(SNV)、 Savitzky-Golaay(S-G)平滑相结合的预处理方法, 分别与偏最小二乘回归法(PLS)、 主成分回归法(PCR)和逐步多元线性回归法(SMLR)三种建模方法组合[16, 17], 建立叶片SPAD和Fv/Fm的高光谱反演模型, 同时在反演模型的训练集和验证集样本中, 对其实测值与预测值的相关程度进行分析, 如图6和图7所示。 结果表明: 无论是训练集还是验证集, 均是建模方法PLS-MSC-SG的实测值与预测值相关性较高, 基于PCR方法下的两种建模组合, 其模型的实测值与预测值相关性较差。
| 图6 SPAD反演模型实测值与预测值的相关性Fig.6 Correlation between measured values and predicted values of the SPAD inversion model |

| 图7 Fv/Fm反演模型实测值与预测值的相关性Fig.7 Correlation between measured value and the predicted value of the Fv/Fminversion model |
2.3.3 建模方法比较与结果分析
以模型训练集和验证集的相关系数Rc和Rp, 均方根误差RMSEC和RMSEP, 作为模型效果评价标准, 相关系数越大, 均方根误差越小, 说明模型效果越好。 对比分析利用不同种模型反演的玉米叶片生理参数的估算精度, 以确定最优建模方法。 结果表明(表2): 在SPAD的反演模型中, PLS模型验证集相关系数最高可达0.95以上, SMLR模型验证集相关系数最高可达0.91以上, PCR模型验证集相关系数最高可达0.88以上。 在Fv/Fm的反演模型中, 六种建模方法均具有较好预测能力, 训练集和验证集的相关系数R均在0.93以上, 均方根误差均接近0.01。 经综合对比分析, 利用PLS-MSC-SG方法所构建的叶片SPAD和Fv/Fm反演模型效果最优, 模型的预测性与稳健性表现较好, 其验证集的相关系数Rp分别为0.958和0.976, 均方根误差分别为0.731和0.017。
| 表2 不同建模方法的建模效果比较 Table 2 Comparison of modeling effects of different modeling methods |
可以看出, PLS模型的反演精度优于SMLR优于PCR, 原因在于PLS是多元线性回归、 典型相关分析和主成分分析的集成和发展, 对数据进行了重新整合和筛选, 提取了对数据信息系统解释性最强的综合变量, 减少了建模过程中严重相关性的问题, 因此PLS模型的预测效果最优。
利用光谱分析技术为手段, 将玉米的光谱数据与生理参数相结合, 探究不同光温环境下玉米苗期叶片生理参数和光谱特性的响应规律, 同时构建了SPAD和Fv/Fm快速无损检测模型。 结果表明:
(1) 不同光温环境下玉米叶片的光谱特性存在差异, 在波段500~700 nm内, 光谱反射率随光强的增强而升高, 在波段760~900 nm内, 光谱反射率随温度的增强而升高。
(2) 可通过玉米高光谱特性的变化表征光温胁迫环境的变化, 在760~900 nm波段内, 较高反射率的光谱曲线表征处于高温胁迫环境, 较低反射率的光谱曲线表征处于弱光胁迫环境, 低温环境具有最低的光谱反射率。
(3) 光温环境胁迫下, 玉米苗期叶片生理参数的最优建模方法为PLS-MSC-SG, 能够实现对玉米苗期叶片SPAD和Fv/Fm的精准预测, 为作物胁迫状态的生理信息监测提供参考依据。
基于玉米苗期进行了光温胁迫下的高光谱响应分析, 但研究时期与作物品种具有局限性, 且光谱技术对于胁迫监测的专属性还不够成熟, 后续应充分考虑玉米种植地区品种差异的问题, 增多玉米品种, 延长生育期, 进一步研究光谱特征参数的选择与建模方法, 寻求更具专一性与特定性的检测特征, 提高反演模型精度。
| [1] |
|
| [2] |
|
| [3] |
|
| [4] |
|
| [5] |
|
| [6] |
|
| [7] |
|
| [8] |
|
| [9] |
|
| [10] |
|
| [11] |
|
| [12] |
|
| [13] |
|
| [14] |
|
| [15] |
|
| [16] |
|
| [17] |
|

