作者简介: 姜玲玲, 女, 1980年生, 大连海事大学环境科学与工程学院副教授
进行海洋水体悬浮颗粒物的空间分布及粒径构成对后向散射特性变化影响, 研究对于加深水体散射性质的认识、 提高水色遥感反演参数的精度及海洋环境监测等具有重要意义。 结合渤海海域2017年6月、 9月的现场数据, 获得了夏季、 秋季各站位总悬浮颗粒物浓度(SPM)、 颗粒粒径以及后向散射系数等参数并进行研究。 结果表明, 后向散射系数 bbp在可见光波段随波长的增加而减小; 同时, 夏季和秋季, 大多数站位 bbp(550)的变化趋势与SPM的变化趋势基本一致; 在进行两者之间的相关性研究时发现, 相关系数 R2并不高, 仅为0.24。 该研究还建立了平均粒径( DA)、 中值粒径( D50)与 bbp的关系, 得出 DA与 bbp呈线性关系, 受季节及水体颗粒构成的影响, 夏季, 水体颗粒物以小颗粒为主, 两者之间的相关性高于秋季, 两个季节的 R2分别为0.7和0.3; 同时得出当水体以小颗粒为主时, bbp随 DA增大而增大, 以大颗粒为主的时, bbp随 DA增大而减小。 D50与 bbp的关系则不同, 两者之间呈现非常好的幂指数关系, 在同一季节里, bbp均随着 D50的增大而减小, 即水体中颗粒物粒径越小, 其后向散射系数越大, 夏季和秋季两者之间的相关系数分别为0.66和0.5; 并且发现如果不分季节差异, 现场水体颗粒物的粒径构成对 bbp的影响很难确定。
Studying the influence of the spatial and size distribution of suspended particulate matter on its backscattering properties is of great importance for understanding water body scattering properties and improving inversion accuracy, which is greatly helpful for marine environmental monitoring. Based on the field data of Bohai Sea in June and September 2017, the total suspended particulate matter concentration (SPM), particle size, backscattering coefficient as well as other parameters were obtained. The results showed that the backscattering coefficient ( bbp( λ)) decreased with the increase of wavelength in the visible wave bands. In summer and autumn, the changing trend of bbp(550) was consistent with that of SPM at most stations; however, the correlation coefficient R2 between them was only 0.24. In addition, the relationship between mean particle size ( DA), median particle size ( D50) and bbp( λ) was established in the study respectively. DA and bbp( λ) had a linear relationship, and their relationship was better in summer than in autumn by the influence of particle composition, R2 was 0.7 in summer and was only 0.3 in autumn. At the same time, it is concluded that the bbp( λ) increased with the increase of DA when the water body was dominated by small particles, but while the water body was dominated by large particles, bbp( λ) decreased with the increase of DA. D50 and bbp( λ) showed a different relationship and had a good power exponential relationship, the more small particles in the water, the higher the particle backscattering coefficients value, and the correlation coefficient was 0.66 and 0.5 in summer and autumn, respectively. The influence of particle size distribution on bbp( λ) was difficult to be determined if without considering the seasonal difference.
悬浮颗粒物在很大程度上控制着海水固有光学特性的变化, 并在水色变化中起着十分重要的作用。 浓度、 粒径, 是描述悬浮颗粒物的重要物理参数[1]。 研究悬浮颗粒物的浓度和粒径对水体固有光学量的影响可为水体悬浮颗粒物的遥感反演提供重要的指导依据, 也可为我国海洋环境监测做出重要的贡献。 国内外学者就颗粒物的光学特性已经做了相关研究。 主要针对以下几个方面: 一是研究悬浮颗粒物的散射特性与后向散射特性。 如顾艳镇等分析了近岸水体悬浮颗粒物的散射系数与后向散射系数之间的关系[2]; 刘炜等通过在黄东海的实验数据的分析, 研究了我国黄东海悬浮颗粒物后向散射特性[3]; 另一方面, 学者们也关注了悬浮颗粒物浓度对水体固有光学量的影响。 如Sł awomir等做了悬浮颗粒物浓度与后向散射系数之间的关系研究, 得到了它们之间的线性关系[4]; 宋庆君等和孙德勇等分别建立了黄东海近岸水体与巢湖水体的悬浮颗粒物浓度与后向散射系数之间的关系并建立模型[5, 6]。 此外, 悬浮颗粒物组分与颗粒密度对水体固有光学量的影响也是近些年学者们关注的焦点。 如Boss等研究了水体颗粒物后向散射比的变化, 并以此参数来区分颗粒物组分[1]; Astoreca等在北海南部海域进行了后向散射特性与颗粒成分和浓度的相关性研究[7]; Neukermans等研究了后向散射系数与悬浮颗粒物颗粒密度的关系[8]; Flory等发现悬浮颗粒物的类型影响水体后向散射效率[9]; 周雯等通过模拟计算得出粒径分布的变化很大程度影响散射系数及后向散射系数[10]; Wang等就渤海和黄海粒子的光束衰减和后向散射特性与颗粒粒径特征的关系展开了研究[11]。 然而, 在不同季节, 水体颗粒物的粒径构成不同, 颗粒的粒径大小、 粒径分布也有所不同, 因此悬浮颗粒物对后向散射的影响特征也大不相同。 本工作将结合渤海海域夏季和秋季的现场数据, 研究不同季节悬浮颗粒物粒径组成及颗粒物浓度共同对后向散射特性的影响特征, 建立相关关系模型, 从而为更准确地利用遥感手段获取水体颗粒物信息奠定良好的理论基础。
选取渤海海域秦皇岛附近的区域。 研究数据采集于2017年6月和9月, 共两个航次43个站位的采样数据, 每个断面从河口开始布置, 由于海洋受陆源输入影响较大, 从近岸由近到远呈现梯度变化, 故采样站点呈直线排布, 具体夏秋季航次站位分布图[如图1(a, b)所示]。
(1)颗粒物散射系数
水体光吸收-衰减系数测量仪AC-S测量水体的光谱吸收系数absorption coefficient(a)和光束衰减系数beam attenuation coefficient(c), 再对吸收系数a和衰减系数c进行温盐校正、 散射校正和纯水校正, 从而可以计算出水体的总散散射系数scattering coefficient(b)
悬浮颗粒物的散射系数particulate scattering coefficient(bp)为总散射系数减去纯水的散射系数water scattering coefficient(bw)
(2)后向散射系数
六通道后向散射测量仪(HS-6)测量得到水体后向散射系数backscattering coefficient(bb)。 HS-6是通过测量140° 的体散射函数计算得到水体的后向散射系数water backscattering coefficient(bbw), 其测量的波长分别为420, 442, 488, 550, 620和700 nm六个波段。 校正后的测量值减去纯水的后向散射系数即为悬浮颗粒物的后向散射系数particulate backscattering coefficient(
(3)悬浮颗粒物粒径
悬浮颗粒物粒径的测量是由激光粒度仪LISST-100X(type B)测得悬浮颗粒物在32个粒径下的体积浓度volume concentration of the particles in size bin i(VCi)(i=1~32), 粒径diameter(D)范围为1.25~250 μ m。 各粒径范围粒子截面积浓度cross-sectional area concentration of the particles in size bin i(ACi)由式(4)计算得出
则总粒子截面积浓度total cross-sectional area concentration(AC)为
悬浮颗粒物的平均粒径mean diameter weighted by area(DA)
LISST-100中每组数据有32个不同粒径值的体积浓度, 水体悬浮物总体积浓度total volume concentration(VC)为不同粒径体积浓度之和
从最小粒径值对应的体积浓度开始对32个数据进行累加计算, 在累加和等于0.5倍VC时停止计算, 此时的粒径值即为中值粒径median particle size(D50)。
(4)总悬浮颗粒物浓度
总悬浮颗粒物浓度suspended particle matter(SPM)的测量采用称重法, 将玻璃纤维滤膜过滤水样后, 首先在60 ℃条件下烘干24 h除去水分, 称量后减去空白膜重量得到总悬浮颗粒物的重量, 除以过滤体积后即得SPM。 bbp与SPM的比值就是比后向散射系数mass-specific backscattering coefficient(
通过此前的研究分析, 在深度较小时(≤ 10 m)后向散射系数随深度增加变化不大[12]。 各光学参量本研究主要选取表层水体(0~3 m)的测量数据进行分析。 如表1所示, 实测颗粒物后向散射系数bbp(420), bbp(442), bbp(488), bbp(550), bbp(620)和bbp(700)的变化范围分别为0.012~0.072, 0.012~0.075, 0.013~0.070, 0.011~0.063, 0.010~0.058以及0.009~0.051。 在420和442 nm处bbp的平均值最大, 均为0.029; 在700 nm处bbp的平均值最小, 为0.019。 同时, 620 nm处的变化幅度最大, coefficient of variation(CV)值为42.39%, 最小的变化幅度则出现在420 nm处, CV值为40.68%。 比后向散射系数
| 表1 光学参量统计结果 Table 1 Statistics of optical parameters |
本研究获取了后向散射系数的光谱图(如图2所示)。 后向散射系数bbp光谱整体随着波长的增加呈现递减趋势, 在低值区, 其衰减程度较小; 随着后向散射系数值的增大, 衰减程度也呈增大趋势。 同时受叶绿素和水体颗粒物构成的影响, 颗粒物后向散射的光谱形状在短波处也略有不同, 与王林等在三种典型赤潮藻的散射特性研究的结果类似[14]。
比后向散射系数
通过上述分析, 可以看出总悬浮颗粒物浓度对水体后向散射影响较大。 孙德勇等利用巢湖的测量数据发现SPM和bbp呈正相关[6]; Sł awomir B等也在波罗的海海域得到了相似的结论[4]; Zhang等利用黄东海的测量数据得出SPM与bbp呈线性关系, 在676 nm处, 相关系数高达0.909[15]。 分别选取bbp(550), bbp(700)与SPM建立了线性关系(如图4所示), 可以看出, bbp整体随SPM增大而增大, 但分布较为离散, 线性拟合的相关系数R2的值较小, 仅为0.24和0.17, 远小于Zhang等[15]所得到的结果。
| 图4 后向散射系数bbp与总悬浮物浓度SPM关系图 (a): 550 nm; (b): 700 nmFig.4 The SPM versus the backscattering coefficients (a): 550 nm; (b): 700 nm |
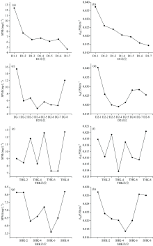
研究发现, 各波段bbp与SPM、 粒径的变化关系差异不大, 同时Lee等在遥感反演的multiband quasi-analytical algorithm(QAA)半分析算法中, 选取555或550 nm作为参考波段, 能有效减少反演误差, 提高反演精度[16], 所以为了更好地探究SPM对bbp的变化影响, 进行了bbp(550)和SPM共同变化趋势研究(如图5所示)。 D1和D2是6月(夏季)的站位, THK和SHK是9月(秋季)的站位。 由图5(a)和(b)可以看出, D1站位整体随着离岸距离的增大, SPM逐渐减小, 其最大值出现在离岸最近的位置, 为12.4 mg· L-1, 最小值出现离岸较远的站位, 为4.67 mg· L-1。 相应的, bbp(550)的值变化趋势与其基本一致, 离岸由近及远, 逐渐减小。 D2站位离岸最近的SPM仍然最高, 为15.4 mg· L-1, 但是不同于D1站位, 其他站位SPM并不随离岸距离的增大而减小, 离岸较远的站位SPM值也较大, 为12 mg· L-1[如图5(c)和(d)所示], 同样受SPM的影响, bbp(550)的极值出现的站位与SPM的基本一致, 它们整体变化趋势大致相同, 但是各别站位bbp(550)与SPM的变化趋势则有所差异。 不同于夏季, 秋季站位的SPM随着离岸距离的增大, 呈现出不规则的变化趋势[如图5(e)和(g)所示], 大部分站位SPM相对较高, 与胡文烨[17]在西北太平洋上层海水中测量的结果一致。 同样, 大部分站位bbp(550)的变化趋势与SPM基本一致, 而各别站位略有不同[如图5(g), (h)所示]。 同时还注意到, 不同季节, SPM的浓度相近, 但bbp(550)的值却存在较大差异, 因此悬浮颗粒物颗粒构成、 粒径等可能是造成bbp(550)与SPM变化趋势不同的主要原因。
为了探究海域悬浮颗粒物的粒径大小分布情况, 本研究作出了各站位32个粒径的体积浓度分布图(如图6所示)。 秋季站位悬浮颗粒物以大颗粒物为主, 粒径大于100 μ m的颗粒占主导。 夏季站位粒径分布较平均, 颗粒粒径整体比秋季站位的小。 高永强等在长江口及其邻近海域得到的夏季以小颗粒为主[18], 胡文烨等在西北太平洋秋季测得悬浮颗粒物以大颗粒为主[17], 本研究实测结果与其相近。 同时, 本研究分别建立了夏季和秋季的中值粒径D50和平均粒径DA的回归分析[如图7(a)和(b)所示]。 两个季节都表现出DA随D50增大而增大, 夏季DA与D50呈现良好的幂函数差异, R2为0.76, 秋季两者之间的关系不如夏季, R2仅为0.33。 这主要是因为夏季水体中不同粒径颗粒物的体积浓度变化范围不大, 而秋季水体悬浮颗粒物的粒径差异较大, 导致DA与D50的分布不一致。
| 图6 各站位粒径的体积浓度分布图Fig.6 The Volume concentration of different particle size distribution of each station |
| 图7 中值粒径D50和平均粒径DA关系图 (a): 夏季; (b): 秋季Fig.7 The median particle size D50 versusthe average particle size DA (a): Summer; (b): Autumn |
2.3.1 DA对bbp的影响研究
为了研究DA对bbp的影响, 针对所有站位建立DA和bbp的相关关系, 由图8发现二者之间的关系并不明显。 由于夏季和秋季悬浮颗粒物的粒径构成差异很大, 本研究则针对不同季节分别建立DA与bbp的关系[如图9(a)和(b)所示], 得出夏季, D50小于100 μ m, 悬浮颗粒物以小粒径颗粒为主, 这时bbp随DA增大而增大, 两者呈非常好的线性关系, 相关系数R2高达0.7; 秋季, D50介于100和200 μ m之间, 悬浮颗粒物以大粒径颗粒为主, bbp与DA则呈负相关关系, 其随DA的增大而减小, 相关系数R2也相对较低, 为0.3。 Wang等[11]利用黄渤海海域实测数据研究了DA对颗粒物比后向散射系数之间的影响, 并没有得出明确的结论, 同时针对粒径构成对水体颗粒物后向散射系数的研究较少, 而研究发现水体以小颗粒为主的时, bbp随DA增大而增大, 以大颗粒为主的时, bbp随DA增大而减小。 这一结论为日后为判断水体颗粒物构成奠定了良好的理论基础。
| 图8 颗粒物后向散射系数bbp和平均粒径DA的相关关系图Fig.8 The average particle size DA versus the backscattering coefficients |
| 图9 不同季节颗粒物后向散射系数bbp和平均粒径DA的关系图 (a): 夏季; (b): 秋季Fig.9 The average particle size DA versus the backscattering coefficients in different seasons (a): Summer; (b): Autumn |
2.3.2 D50对bbp的影响
本研究进行了D50对bbp的影响研究(如图10所示)。 同样, D50与bbp两者之间无良好的关系。 但是当我们针对不同季节建立了D50与bbp的关系时发现, [如图11(a)和(b)所示]。 夏季, 水体悬浮颗粒物以小颗粒为主时, D50随bbp的增大而减小, D50与bbp之间呈良好的幂函数关系, 相关系数R2为0.66; 秋季, 水体悬浮颗粒物以大颗粒为主时, 与夏季站位相同, D50也随bbp的增大而减小, D50与bbp之间同样呈比较好的幂函数关系, 相关系数R2为0.5。 可见在同一季节, 水体颗粒物的粒径越小, 其后向散射系数越大, 这与Mie理论的结论是一致的, 但是如果不分季节差异, 现场水体颗粒物的粒径构成对bbp的影响将很难确定。
| 图10 颗粒物后向散射系数bbp和中值粒径D50相关关系图Fig.10 The medium particle size DA versus the backscattering coefficients |
结合现场测量数据, 研究了现场水体颗粒物后向散射的变化特征, 及其与水体总悬浮颗粒物浓度、 粒径之间的关系, 得出以下结论:
(1) 整体看来, 后向散射系数bbp和比后向散射系数
(2) 夏季, 水体以小颗粒为主, bbp随DA增大而增大, 两者之间呈非常好的线性关系, R2为0.7; 而秋季, 水体则以大颗粒为主, bbp随DA增大而减小, R2仅为0.3。 D50与bbp的关系则不同, 两者之间呈非常好的幂指数关系, 即水体颗粒物粒径越小, 其后向散射系数越大。 但是如果不分季节差异, 现场水体颗粒物的粒径构成对bbp的影响将很难确定。
本研究在进行总悬浮颗粒物和粒径构成对颗粒物后向散射的影响分析中, 发现了季节差异, 为了深入理解颗粒物对后向散射特性的影响以及日后有效地提高悬浮颗粒物的遥感反演精度, 还需选取长时间序列数据并结合悬浮颗粒物构成等信息进行深入分析和研究。
| [1] |
|
| [2] |
|
| [3] |
|
| [4] |
|
| [5] |
|
| [6] |
|
| [7] |
|
| [8] |
|
| [9] |
|
| [10] |
|
| [11] |
|
| [12] |
|
| [13] |
|
| [14] |
|
| [15] |
|
| [16] |
|
| [17] |
|
| [18] |
|

