作者简介: 李笑芳, 女, 1988年生, 廊坊师范学院讲师 e-mail: lixiaofang@lfnu.edu.cn
反射隔热涂料是一类新型建筑材料, 具有隔热、 节能、 环保等功能, 已广泛用于建筑外部结构。 反射隔热涂料性能的高低主要决定于其与太阳辐射相互作用, 即反射隔热涂料对太阳辐射的反射、 吸收能力可直接反映其隔热、 保温性能的优劣。 对于特定反射隔热涂料, 其光谱特性主要取决于其施工厚度参量, 施工厚度的变异可直接影响反射隔热涂料的光谱特征且施工厚度的变异又对其施工效率具有较大影响, 因此探析反射隔热涂料的光谱特性随厚度参量的变化规律, 明确最佳反射隔热涂料施工厚度, 对于减少耗材, 优化施工工艺具有重要的现实与理论意义。 为定量分析施工厚度参量对反射隔热涂料的光谱特征的影响规律, 利用0, 0.5, 1.0, 1.5, 2.0 mm共5类涂料厚度的光谱数据为数据源, 采用去包络线、 吸收峰深度、 减法方法处理分析光谱数据, 定量分析厚度参量对反射隔热涂料反射性能、 吸收性能的作用规律, 研究结果表明: (1)除紫外-蓝光外, 涂料对光的反射作用随波长增加整体呈减弱趋势, 即涂料对短波波段具有较强的反射作用, 而对长波波段的吸收作用则较强, 这表明涂料具有一定的隔热、 保温性能; (2)涂料厚度增加有助于涂料隔热性能的提升, 但无助于增强涂料的保温性能, 厚度提升有助于增强涂料的反射特性, 但涂料反射率的增长幅度却呈先升高后降低的趋势, 吸收峰深度的变化幅度呈先增加后减小的趋势, 其中在厚度达到1.0 mm时涂料反射率增强趋向饱和; (3)涂料厚度对吸收谷深度具有明显影响, 对吸收谷(峰)值位置具有一定作用, 在涂料厚度在达到1.0 mm时, 吸收谷(峰)的波形发生变化。
Reflective thermal insulation coatings are a new type of building materials, which have the functions of heat insulation, energy saving and environmental protection, and have been widely used in external structures of buildings. The performance of reflective thermal insulation coatings is mainly determined by their interaction with solar radiation, that is, the reflective and absorptive capacity of reflective thermal insulation coatings can directly reflect the advantages and disadvantages of their thermal insulation and thermal insulation performance. For specific reflective heat insulation coatings, the spectral characteristics of reflective heat insulation coatings mainly depend on their construction thickness parameters. The variation of construction thickness can directly affect the spectral characteristics of reflective heat insulation coatings, and the variation of construction thickness has a great impact on its construction efficiency. Therefore, the variation of spectral characteristics of reflective heat insulation coatings with thickness parameters is explored to determine the best reflective heat insulation coatings. Construction thickness has important practical and theoretical significance for reducing consumption of materials and optimizing construction technology. In order to quantitatively analyze the influence of construction thickness parameters on the spectral characteristics of reflective heat insulating coatings, the spectral data of the thickness of five types of coatings, 0, 0.5, 1.0, 1.5 and 2.0 mm, were used as data sources. The spectral data were processed and analyzed by the methods of de-envelope, absorption peak depth and subtraction, and the effect rules of thickness parameters on reflective and absorption properties of reflective heat insulating coatings were quantitatively analyzed. The results show that: (1) except for ultraviolet-blue light, the reflectivity of coatings to light decreases with the increase of wavelength, that is, coatings have strong reflectivity to short wave band and strong absorption to long wave band, which indicates that coatings have certain thermal insulation and thermal insulation properties; (2) the increase of coatings thickness helps to improve the thermal insulation performance of coatings, but it is helpless. In order to enhance the thermal insulation performance of coatings, the increase of thickness is helpful to enhance the reflectivity of coatings, but the increase of reflectivity of coatings increases first and then decreases, and the change of absorption peak depth increases first and then decreases. When the thickness reaches 1.0 mm, the reflectivity of coatings tends to be saturated; (3) the thickness of coatings has a significant effect on the depth of absorption Valley and has an effect on absorption. Valley (peak) position plays an important role. When the coating thickness reaches 1.0 mm, the absorption Valley (peak) waveform changes.
作为一种新型功能涂料, 反射隔热涂料主要用于建筑外部围护结构, 其可通过提升对太阳光能量集中波段区间的反射率, 降低外部围护结构对热量吸收率, 从而减弱外部环境对室内温度的影响, 达到隔热节能的目的[1]。 而反射隔热涂料的反射特性能直接体现其隔热作用优劣, 因此, 研究分析反射隔热涂料光谱反射特性具有重要的现实与理论意义。
目前, 国内外研究学者围绕反射隔热涂料性能的研究已开展了大量工作, 且多偏重于对涂料理化组分、 性能的研究[2, 3], 主要通过在反射隔热涂料加入新材料, 改变反射隔热涂料组分、 占比关系, 以提升反射隔热涂料的隔热、 保温性能, 改善涂料延展、 耐污性[4, 5, 6]; 对比分析喷涂涂料前后室内、 外温度差异, 研究隔热涂料对室内温度的影响[7, 8]; 采用数学统计分析算法定量分析反射涂料季节特征, 并综合分析反射涂料的节能效率[9]。 反射隔热涂料厚度是影响反射隔热涂料性能的重要参量[10], 是评价涂料施工工艺及节能效果优劣的重要指标, 而运用反射隔热涂料光谱特性分析厚度对其反射特征影响的研究相对较少。 反射隔热涂料与光的作用类型主要为反射、 吸收, 其反射、 吸收特征能直接反映反射隔热涂料光-热转化效率, 进而直接反映其隔热、 保温性能[11, 12]。 太阳辐射能量主要集中于紫外(300~400 nm, 5%)、 可见光(400~700 nm, 43%)、 近红外(700~2 500 nm, 52%)范围内[13], 从反射隔热涂料对光(350~2 500 nm)的反射、 吸收特性视角定量分析其隔热、 保温性能的影响, 并研究分析厚度参量对反射隔热涂料性能影响的规律并量化, 可为提升涂料效能与优化涂料施工工艺提供基础技术支撑。 因此, 开展反射涂料厚度与其反射性能间关系的研究具有重要的理论与现实意义。
为分析反射隔热涂料的光谱特性, 定量分析厚度对其反射性能的影响, 本研究采用高光谱技术测定不同反射涂料厚度的光谱数据, 分析反射涂料的光谱响应特征, 并运用去包络线、 吸收峰深度等光谱处理算法对光谱进行处理分析, 以定量分析厚度对涂料反射、 吸收特征的影响规律, 从而为节省材料, 提升建筑隔热、 保温性能提供必要技术支撑。
试验采用板材为硅钙板, 封闭底漆采用广州美涂士建材股份有限公司生产的外墙保抗碱底漆, 反射隔热涂料为广州富美奥涂料有限公司生产的热反射隔热涂料。 首先用砂纸把石灰板表面打磨平整, 然后在板上均匀涂抹两遍外墙底漆, 自然风干后, 用砂纸打磨平整。 用可调式涂膜器在板上以500 μ m间隔制成厚度0.5, 1.0, 1.5和2 mm四个样本, 对照样板为0 mm。
太阳辐射到达地表的能量在波段上的分布主要集中于可见光和近红外区域, 波段范围为0.4~3 μ m, 为客观、 准确体现反射隔热涂料的反射性能, 本研究采用ASD公司生产的FieldSpec4便携式地物光谱仪测定涂料的光谱数据。 该仪器可探测光谱波长范围为350~2 500 nm, 波长准确度0.5 nm, 光谱输出分辨率为1 nm, 高光谱分辨率能更易于分析涂料细微反射、 吸收特征。 涂料光谱测量于2018年1月12日在实验室开展, 室内温度18 ℃。 利用光谱仪的自带光源模拟太阳光, 光谱采集前利用白板作为参考板对光谱仪进行校正, 将光谱采集装置直接垂直置于被测厚度试板上, 进行光谱数据采集, 每个厚度试样记录10条光谱曲线, 取其平均值作为实际分析的光谱曲线, 光谱测量方法如图1所示。
为便于研究分析反射隔热涂料在光谱上的反射、 吸收特征, 本研究采用去除包络线[14]、 吸收峰深度法[15]处理分析涂料光谱数据, 以凸显涂料在光谱上的反射、 吸收特征, 其结果如图2(a, b)所示。 去除包络线处理采用ENVI5.1软件对涂料光谱数据进行处理, 吸收峰深度则基于去除包络线直接提取。 由图2(b)可知, 位于原光谱数据的吸收特征得到凸显, 更有助于研究分析厚度参量对涂料吸收特征的影响。 为定量分析厚度参量对涂料反射、 吸收特性的影响, 本研究采用减法处理分析各涂料厚度光谱间的差异, 可定量分析在不同厚度参量下, 涂料光谱特征增、 减规律, 能更直观反映厚度对涂料光谱特性的影响, 为涂料施工提供客观、 准确的技术支撑。
为分析厚度对涂料反射性能的影响, 本研究以0, 0.5, 1.0, 1.5和2.0 mm厚度的光谱数据为数据源开展分析, 其光谱曲线图, 如图3(a)所示; 为定量分析厚度对涂料反射性能的增强作用, 研究对光谱数据进行了减法处理, 其结果如图3(b)所示。 由图3(a)可知, 各涂料厚度的光谱曲线整体相似、 光滑且平缓, 其中0与0.5 mm的光谱曲线在375~2 500 nm整体呈平行状态, 各光谱曲线均在375, 1 680, 1 970, 2 150和2 185 nm附近存在较强的吸收峰; 在375~2 500 nm, 0~1.0 mm厚度的光谱整体呈下降趋势, 1.5~2.0 mm厚度则呈先上升再下降的规律; 随涂料厚度增加, 涂料光谱反射率持续增长, 但增长幅度存在差异且在厚度1.5 mm后光谱反射率趋于饱和状态。 由图3(b)可知, 厚度1.0~0.5 mm的曲线最高, 0.5~0.0 mm次之, 其次为1.5~1.0 mm, 2.0~1.5 mm整体接近零, 这表明涂料对光的反射强度的增幅随涂料厚度增加呈先增大后减小的趋势, 其中由0.5 mm增至1.0 mm时, 反射率增幅最高, 最高达0.22%(2 009 nm), 因此0.5~1.0 mm为最佳厚度区间。 综合上可知, 涂料对375 nm附近的蓝波段具有较强的吸收作用, 涂料对长波波段的反射性能较弱, 且随波长的增加, 涂料对光的反射性能逐渐减弱; 厚度提升有助于增强涂料的反射特性, 但涂料反射率的增长幅度却呈先升高后降低的趋势。
为更好地分析涂料对光的吸收作用, 利用去包络线法、 吸收峰深度法处理分析涂料光谱数据, 以凸显涂料对光的吸收特征, 其结果如图4所示(图a为去包络线分析, 图b为吸收深度分析)。 由图4(a)和(b)可知, 涂料光谱共存在9处吸收谷(峰), 其波段区间如图所示位于A, B, C, D, E, F, G, H和I处; 涂料厚度未对A, B, F, G和I的波形有明显影响, 而厚度对C, D, E和H则有明显影响且均在厚度达到1.0 mm时发生变化。 由图4(a)可知, 随涂料厚度增加, 位于A, B和G处的吸收谷几乎无改变, 位于C, D, E和H处的吸谷深度逐渐增加, F处的吸收谷深度呈先减弱后加深, I处吸收谷深度则呈逐步减弱的趋势。 由图4(b)可知, 随厚度增加, A, B, C, E, G和H的峰值位置未发生明显移动, D和I则向短波方向移动, F则先向短波方向后向长波方向移动。 综上可知, 涂料厚度对吸收谷深度具有明显影响, 对吸收谷(峰)值位置具有一定作用; 涂料厚度在达到1.0 mm时, 吸收谷(峰)的波形发生变化。
| 图4 反射隔热涂料光谱吸收特征分析图 (a): 去包络线; (b): 吸收峰深度Fig.4 Spectral absorption characteristics of reflective thermal insulation coatings (a): Continuum removed; (b): Absorption peak depth |
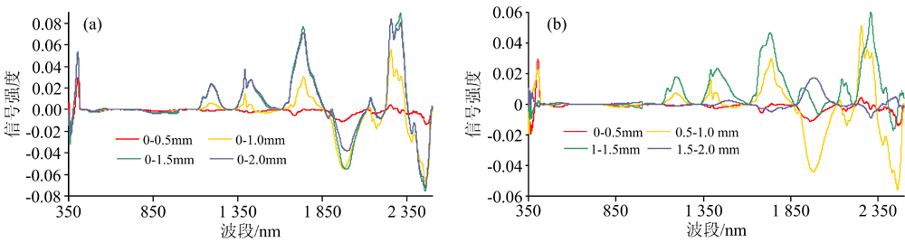
为定量分析涂料厚度对吸收作用的影响, 研究对吸收峰深度进行减法处理如图5所示(a)为各厚度光谱减0.0 mm厚度光谱, (b)为各厚度逐次相减结果。 如图5(a)所示, 与0.0 mm厚度相比, 厚度为0.5 mm光谱曲线上的吸收谷的变化幅度最小, 1.0 mm的吸收谷的增加幅度居中, 1.5和2.0 mm的吸收谷增加幅度最大且两者间差异不大。 由图5(b)可知, 尽管涂料厚度的增加幅度均为0.5 mm, 但对涂料光谱吸收峰深度的作用强度却存在差异, 各厚度光谱的吸收深度变化幅度均在-0.056~0.06内, 其中1.0~1.5 mm吸收谷变化幅度最大, 其次为0.5~1.0 mm; 随涂料厚度的增加, 吸收峰深度的变化幅度呈先增加后减小的趋势, 即厚度增加对吸收峰深度变化的贡献是先增长后降低。
| 图5 反射隔热涂料吸收峰深度的减法处理(a)与吸收峰分析(b)Fig.5 Subtraction treatment of absorption peak depth (a) and absorption peak analysis (b) |
反射隔热涂料是一类用于大幅减少建筑外表光-热转换, 有效提升建筑热阻的材料[1], 而太阳辐射是地表能量的主要来源, 研究反射隔热涂料及其厚度对太阳辐射的反射、 吸收特性对于分析、 评价反射隔热涂料的性能具有较强的参考价值。 而截止目前, 针对反射隔热涂料的物理机理分析较多, 且研究多偏于反射隔热涂料内部组分的分析, 但在利用光谱反射特性分析反射隔热涂料的性能的研究较少。 在350~2 500 nm区间内, 反射涂料与光的相互作用主要为反射作用、 吸收作用, 而透射作用可忽略不计, 本研究以不同涂料厚度的光谱数据为数据源, 采用去包络线、 吸收峰深度、 减法处理光谱数据, 旨在定量分析厚度对涂料对反射、 吸收性能的影响。 研究利用0, 0.5, 1.0, 1.5和2.0 mm等5类涂料厚度, 分析厚度对涂料反射、 吸收性能的影响规律, 研究表明涂料在375 nm附近具有较强的吸收谷, 表明其对紫外-蓝光的吸收作用较强; 除紫外-蓝光外, 涂料对短波波段(可见光)具有较强的反射特性, 而对长波波段(近红外)的吸收性能较强, 涂料对光的反射作用整体呈减弱的趋势, 而其对光的吸收作用则整体呈增强趋势, 这表明涂料有助于提升隔热、 保温性能; 随厚度增加, 涂料对光的反射作用则逐步增强, 而吸收作用则呈逐步减弱的趋势, 这表明厚度有利于增强涂料的隔热性能, 但无助于维持涂料的保温性能。
厚度、 降雨、 温度等因素均能对涂料反射、 吸收性能产生一定影响, 本研究仅研究了厚度对涂料反射性能的影响, 未开展涂料在不同降水、 热力作用下光谱特性的规律, 而反射涂料主要用于建筑外表结构, 易受降水、 太阳辐射的作用, 导致涂料内部组分的性能发生变化, 因而继续开展该方面的研究将有助于分析涂料在外界环境作用下, 涂料对光的反射、 吸收性能的变异规律, 为分析、 评估反射隔热涂料的性能提供支撑。
以不同厚度涂料的高光谱数据为数据源, 运用去包络线、 吸收峰深度、 减法3类方法处理光谱数据, 定量分析厚度对涂料反射、 吸收性能影响, 并分析涂料的隔热、 保温性能, 结论如下:
(1)涂料在375 nm附近的紫外-蓝光波段具有一个较强的吸收谷, 这表明涂料对紫外-蓝光具有较强的吸收作用; 除紫外-蓝光外, 涂料对光的反射作用随波长增加整体呈减弱趋势, 即涂料对短波波段具有较强的反射作用, 而对长波波段的吸收作用则较强, 这表明涂料具有一定的隔热、 保温性能;
(2)涂料厚度增加有助于涂料隔热性能的提升, 但无助于增强涂料的保温性能, 厚度提升有助于增强涂料的反射特性, 但涂料反射率的增加幅度却呈先升高后降低的趋势, 吸收峰深度的变化幅度呈先增加后减小的趋势, 其中在厚度达到1.0 mm时涂料反射率增强趋向饱和;
(3)涂料厚度对吸收谷深度具有明显影响, 对吸收谷(峰)值位置具有一定作用, 在涂料厚度在达到1.0 mm时, 吸收谷(峰)的波形发生改变。
| [1] |
|
| [2] |
|
| [3] |
|
| [4] |
|
| [5] |
|
| [6] |
|
| [7] |
|
| [8] |
|
| [9] |
|
| [10] |
|
| [11] |
|
| [12] |
|
| [13] |
|
| [14] |
|
| [15] |
|

