作者简介: 曹 文, 女, 1994年生, 南京师范大学物理科学与技术学院硕士研究生 e-mail: saintycw@163.com
局域表面等离激元共振是金属纳米粒子表面的自由电子在光子作用下发生集体震荡而产生的一种共振现象。 提出了一种方体及环/盘阵列结构, 该结构主要由左侧单圆环和右侧方体及偏心圆环盘组成。 利用时域有限差分算法(FDTD solutions)对该结构进行了光学性质的探究。 仿真结果表明, 当线性偏振光入射到金属表面时, 在结构中激发局域表面等离子体共振现象, 表现出明显的共振效应, 在600~1 700 nm范围形成了不同位置的共振谷。 通过对结构电场电荷仿真图的对比分析, 发现共振谷是由圆环内所激发的偶极共振模式与方体及环/盘激发的四偶极共振模式相互耦合杂化产生的混合等离子共振而形成的。 当调整金属结构的各项参数时, 金属纳米颗粒之间的局域表面等离激元共振会因电场耦合效应发生改变, 因此法诺共振的产生对于金属结构的各项参数有着极大的依赖性(如左圆环直径 L、 右圆环直径 R, 结构高度 H, 左圆环到方体的距离 D等), 通过对结构各项参数的改变, 可以实现对结构共振谷波长位置和共振强度的有效调控, 达到对结构光学性质可控的目的。 由于该结构具有独特的非对称性, 进一步探究了入射光源偏振方向(即电矢量与 x轴的夹角)对结构的共振谷波长位置以及共振强度的影响。 结果表明, 随着光源偏振角度的增加, 共振谷J2处的波长位置出现明显的红移现象。 但当偏振角度为90°时, 共振谷J3处不能产生法诺共振现象。 由此, 可以通过改变光源的偏振方向来实现对该结构的光谱的共振强度及共振波长位置的调控。 更为重要的是, 该结构对周围的环境折射率有着较高的敏感度, 最高可达755 nm·RIU-1, 传感的品质因数(figure of merit, FOM)为18.4, 该结构在环境折射率等生物传感器及微纳光子器件方面有着潜在的应用前景。
Local surface plasmon resonance is a kind of resonance phenomenon caused by collective oscillation of free electrons on the surface of metal nanoparticles under the action of photons. A kind of square and ring/disk array structure is proposed in this paper, which is composed of the left single ring, the right square and the eccentric ring disk. The optical properties of the structure are investigated by the finite difference time domain (FDTD) method. Fano resonances appear in the transmission spectra due to the electric field couplings between the arrays when linearly polarized light is incident to the metal surface. Obvious resonant valley characteristics are formed at different positions in the wavelength range of 600~1 700 nm. Comparison and analysis of electric field and charge simulation diagram, it is found Fano resonance is formed by the coherent interference between the dipole resonance of the ring and the four dipole resonance modes excited by the square and the ring/disk. The local surface plasmon resonance between metal nanoparticles changed by the coupling effect of the electric field. Therefore, the Fano resonance is dependent on the parameters of the structure (such as the diameter of the left ring L, the diameter of the right ring R, the height of the structure H, the distance from the left ring to the square D, etc. ). By changing the parameters of the structure, the wavelength position and the resonant intensity of the resonant valley can be effectively controlled and the optical properties also can be controlled. Because of the unique asymmetry of the structure, the influence of the polarization direction of the incident light source (the angle between the electric vector and the x axis) on the position of the resonant valley wavelength and the resonant intensity of the structure is further investigated. The structure shows that with the increase of the polarization angle of the light source, the wavelength position at the resonant valley J2 appears obvious red shift phenomenon. However, when the polarization angle is 90°, the Fano resonance can not occur at the resonance valley J3. Therefore, the resonant intensity and the resonant wavelength position of the structure can be controlled by changing the polarization direction of the light source. More importantly, the structure has a high sensitivity to the environmental refractive index, up to 755 nm·RIU-1, and the figure of merit (FOM) can reach 18.4. The results show that the structure has potential application prospects in the applications of environmental refractive index sensors and micro-nanophotonic devices.
金属纳米颗粒能够产生局域表面等离激元共振(localized surface plasmon resonance, LSPR)的现象[1, 2]且对周围环境有很高的敏感度, 能把光场能量局域到一个很小的范围内并产生巨大的场增强效应, 在纳米尺度实现对光能量传输的操纵, 由此受到众多研究人员的重视, 并广泛运用于等离子体激光、 光开关、 表面增强拉曼光谱等[3, 4, 5]方面。 相邻金属纳米颗粒间的LSPR可以通过近场耦合产生一种独特的效应, 即法诺(Fano)共振效应。 在LSPR中金属纳米颗粒的共振模式具有相同电荷分布且很容易与入射光发生强烈的耦合被称为超辐射模式(亮模式), 其光谱有较大的辐射展宽; 若颗粒的共振模式具有相反的电荷分布, 不易与入射光发生耦合, 则被称为亚辐射模式(暗模式), 因其辐射损耗很弱, 光谱展宽较窄。 当整个结构中超辐射和亚辐射模式发生光谱重叠产生相消干涉时, 会出现一种对周围介质环境和结构变化特别敏感的Fano共振效应。 近年来基于LSPR实现Fano共振效应[6, 7, 8]有诸多研究, 例如, 朵儿门结构、 同心Ag纳米环圆盘结构、 非对称金属环盘纳米腔结构以及金分裂环六聚体等。 其中环盘结构是可以激发高强度等离激元Fano共振模式较为突出的一种新型结构。
基于以上思路, 本文提出一种方体及环/盘的金属阵列结构, 利用时域有限差分法(the finite difference time domain method, FDTD)进行仿真计算研究。 结果表明, 结构中的Fano共振主要由圆环的偶极共振与方体及环/盘激发的四偶极共振模式之间的相互耦合杂化产生的混合等离子共振形成。 通过仿真结构参数对光学特性的影响, 实现了对共振波长的有效调控。 同时调整入射光的偏振方向能调控该结构的LSPR, 从而改变透射率大小以及共振谷的强度。 经计算分析可得出该结构对周围介质环境有较高的敏感度, 灵敏度最高达755 nm· RIU-1, 品质因数FOM为18.4。
方体及环/盘的金属阵列结构如图1右下角所示, 该结构由左右两不同的圆环, 以及圆盘和位于结构正中心的方体组成, 其中圆盘与右圆环中心偏心。 左圆环直径L=100 nm, 右直径圆环R=160 nm, 内小圆盘直径r=60 nm, 圆环高H=50 nm, 环宽度W=20 nm, 方体高h=25 nm, 方体宽T=25 nm, 方体长k=50 nm, 左圆环与方体之间的距离D=35 nm, 结构周期P=400 nm, 衬底材料为SiO2。 本文选取金(Au)作为金属薄膜的材料, 当金属的介电常数与频率相关时金属表现出色散特性。 利用FDTD Solutions建立模型, 采用波长范围600~1 700 nm的平面波, 沿Z轴正方向向下垂直入射金属表面, 沿X方向偏振。 X和Y方向设成周期边界条件, 相当于将计算区域内的模型结构、 电磁场及光源强度分布进行周期性延拓。 Z方向设置为吸收边界条件(PML), 以保证边界上的介质连续分布。
方体及环/盘结构的透射谱如图1所示, 观察到在整个波段中有三个共振谷, 对应的波长分别为727.94, 924.93和1 224.54 nm(分别记为J1, J2, J3)。
为研究方体及环/盘结构的透射谱线中三个谷的产生原因, 分析了不同共振波长位置对应XY平面上的电场电荷分布图, 如图2所示, 在波长入射时电场增强主要集中在左圆环和方体上[图2(a)], 此时的电荷分布如图2(d)左圆环的内外壁具有相同的电荷, 呈现对称偶极共振模式, 形成超辐射模式, 右侧为偶极环和偶极盘混合与方体辐射原子组成的整体, 呈现近四偶极共振模式, 形成亚辐射模式, 此时左右两结构激发的两种模式相互反应在J1处产生一种混合等离激元模式; 当在λ J2时电场增强[图2(b)]主要存在于左圆环与方体之间以及内小圆盘与右圆环的夹缝处, 观察电荷分布[图2(e)], 此时近场耦合作用更明显, 左侧圆环内外壁具有相反的电荷, 呈偶极共振模式, 电荷分布不明显可忽略; 而此时, 右侧圆环/盘与方体结构呈现近四偶极共振模式, 形成亚辐射模式; 图2(c)和图2(f)是该结构在波长λ J3入射时的电场电荷分布图, 发现电场增强更多的集中在内圆盘边缘, 电荷图主要是方体与右偏心结构产生了一种新的偶极共振模式, 形成超辐射模式, 抑制辐射损耗减弱, 光谱的线宽较宽。
保持距离D等其他参数不变, 直径L(70~110 nm)变化, 间隔10 nm, 如图3所示, 由于左圆环与右侧结构的近场耦合使其在J1处产生偶极共振和四偶极共振模式增强, 所呈现的混合等离激元模式间的相互作用增强, 且尺寸变大, 共振的电磁场相位延迟增强导致红移, 故透射谱随着直径L的变化发生红移, 透射率值减小。
| 图3 不同左圆环直径L的方体及环/盘结构的透射谱Fig.3 Transmission spectra of the structure with different left ring diameters L |
改变右圆环直径R的大小(120~160 nm)其谱线图如图4所示, J1处的共振强度减小, J2处的透射率没改变, 但由于尺寸变大导致共振相位延迟共振谱线发生红移。 J3处的透射率明显减小, 半高宽不断增加, 谱线产生蓝移。 这表明随着右圆环直径的增大, 圆环与偏心圆盘的狭缝变大, 近场耦合作用减弱, 导致耦合到狭缝的能量减少, 透射率值减小, 且抑制辐射损耗能力减弱, 故半高宽在不断增大。
| 图4 不同右圆环直径R的方体及环/盘结构的透射谱及共振谷J3的半高宽曲线Fig.4 Transmission spectra of the structure with different right ring diameters R and half maximum width curve at resonance valley J3 |
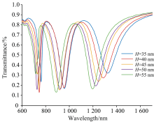
改变结构的高度H(35~55 nm), 其透射谱如图5所示, 随着H的增加, 谱线基本都发生了蓝移, 透射率基本呈现减小状态, 这是因为随着结构高度的增加带来的迟滞效应在空间和频率上发生相消干涉, 导致电场耦合作用不断减弱, 最终Fano共振强度减弱。
| 图5 不同圆环盘高度H的方体及环/盘结构的透射谱Fig.5 Transmission spectra of the structure with different ring disk heights H |
左圆环到方体的距离D从20增加到40 nm, 间隔为5 nm, 其透射谱如图6所示, 随距离D的增加, J1的透射率值减小, J2, J3处的谱线基本蓝移且透射率略微增大。 此时D发生变化, J1处的偶极共振模式与四偶极子共振模式的相互作用增强, 且左圆环的偶极共振与右侧的四偶极子共振随近场耦合作用能力减弱而减弱导致整个谱线发生蓝移及其值都有略微增加。 由此, 发现该结构可以通过调节结构的相关参数来调谐谱线共振波长位置和透射率大小。
改变入射光源的偏振方向, 即电矢量与x轴的夹角θ , 其透射谱如图7(a)所示, J1因为圆环是中心对称的, 随着光源偏振方向变化, J1谱线及透射率基本无变化, 但右侧是关于x轴对称的, 所以J2, J3的谱线有较大的变化, J2的值先增大到45° 后减小, 谱线发生了红移。 而J3的值则不断减小直到消失。
| 图7(a) 不同偏振角度θ 的方体及环/盘结构的透射谱Fig.7(a) Transmission spectra of the structure with different polarization angle θ |
为探究仿真J2处的偏振角度为0° , 30° , 60° , 90° 的稳态电场分布图, 图7(b)所示, 在J2处的电场强度随着偏振角度的增加而增大甚至在偏振角度为45° 时在原谷处之外的981.1 nm处产生了一个新的谷, 并随之在45° 之后谷值逐渐减小, 原J2谷值消失。 而J3处的电场强度基本出现在方体和右侧圆环圆盘的夹缝处, 它们的电场则是随入射光源偏振角度的增加而减小, 导致此处的偶极共振模式强度减弱, 故谷J3随偏振角度增加逐渐变小直至消失。 因此超辐射和亚辐射模式相消干涉形成的Fano共振在偏振角度θ =0° 时最容易激发且最明显。 由此可见, 结构的光学特性严重依赖于入射光的偏振方向, 偏振方向的改变导致电场强度分布位置及大小的变化引起透射率大小及位置的改变, 从而实现偏振方向对结构共振效应的调控。
对折射率传感器的传感性能的评价可用几个重要的参数表示。 传感器的灵敏度S可定义为单位介质折射率变化与谐振波长的关系, 表示为S=Δ λ /Δ n, 品质因数定义为灵敏度与谐振波谷的半高宽的关系, 即FOM=S/Δ λ 。 为探究该结构对环境折射率的敏感性, 仿真了环境折射率n分别为1.00, 1.05, 1.10, 1.15, 1.20时所对应的透射光谱, 如图8所示, 随着环境折射率n的增加谱线呈现红移现象, 观察透射谱相对折射率n=1.00处的折射率灵敏度曲线, 共振谷J3处的灵敏度最高可达755 nm· RIU-1, 品质因数FOM=18.4, 所以, 该结构可用于生物化学传感和微纳光子学器件方面的应用。
利用时域有限差分法研究了方体及环/盘结构的光学特性。 研究表明, 当光入射到金属表面时, 能够激发局域表面等离子体共振现象, 表现出明显的共振效应。 Fano共振是由超辐射模式与亚辐射模式相互作用而形成, 该结构中可以通过调节结构的相关参数来调谐谱线共振波长位置和共振强度, 同时发现调控入射光的偏振方向可以改变结构的LSPR从而控制光谱的透射率大小以及共振谷的消存。 此外, 分析了该结构在不同周围环境介质下的光学特性, 发现光谱随着折射率的改变发生了偏移, 进一步得到该结构的传感性能, 即灵敏度S最高可达755 nm· RIU-1, 品质因数FOM=18.4。 该结构不仅设计简单高效, 还具有较好的传感特性, 在生化传感器、 微纳光子器件有重要的应用价值。
| [1] |
|
| [2] |
|
| [3] |
|
| [4] |
|
| [5] |
|
| [6] |
|
| [7] |
|
| [8] |
|

