作者简介: 程丽娟, 女, 1995年生, 宁夏大学农学院食品系硕士研究生 e-mail: 1349854712@qq.com
高铁肌红蛋白(metmyoglobin, MetMb)在肉中所占的比例直接影响肉的色泽。 利用可见近红外光谱(ViS-NIR)采集到的滩羊肉数据与化学计量学方法相结合, 探讨高光谱成像快速无损检测滩羊肉中MetMb含量的可行性以及开发滩羊肉中MetMb含量的定量函数。 采用分光光度计测量滩羊样本的MetMb含量, 使用ENVI4.8软件提取贮藏期间200个样本光谱图像的感兴趣区域, 将获取的光谱数据与化学值相结合, 定量解释两者的相关性; 利用光谱理化值共生距离法, 按照3∶1的比例划分样本, 对校准模型进行独立(外部)验证; 采用乘法散射校正(multiple scattering correction, MSC)、 一阶导数 (first derivative, 1st derivative)和去趋势(De-trending)等3种不同的方法对原始光谱数据进行预处理, 以消除噪音对原始光谱的干扰; 竞争性自适应加权算法(competitive adaptive reweighted sampling, CARS)、 区间变量迭代空间收缩方法(interval variable iterative space shrinkage approach, iVISSA)、 间隔随机蛙跳算法(interval random frog, IRF)、 变量组合集群分析法(variables combination population analysis, VCPA)、 连续投影算法(successie projection algorithm, SPA)以及IRF+SPA、 iVISSA+SPA组合方法被用于光谱的变量选择和优化; 使用典型的线性建模方法: 偏最小二乘回归(partial least square regression, PLSR)建立全波段和特征波段的预测模型, 确定最佳模型; 通过最佳模型建立滩羊肉中MetMb含量的定量函数。 结果表明: 原始光谱模型性能较好于3种预处理光谱的模型性能, 其
The proportion of Metmyoglobin (MetMb) in meat directly affects the color of the meat. This paper combined the visible near-infrared spectroscopy (ViS-NIR) data of Tan sheep meat with the chemometric method to explore the feasibility of rapid non-destructive detection of MetMb content in Tan sheep by hyperspectral imaging technology and develop a quantitative function of MetMb content. The MetMb content of the sample was measured by a spectrophotometer, and the interest region of 200 sample spectral images during storage were extracted by ENVI4.8 software. The relationships between MetMb content and spectral date of samples were established to quantitatively analyze. In this study, according to the ratio of 3∶1, the whole dataset ( n=200) was divided into a calibration set ( n=50) for performing independent validation (external validation) of the developed calibration models using the sample set partitioning based on joint x-y distance method. Several spectral preprocessing techniques such as multiplicative scatter correction (MSC), first derivative (1st derivative) and De-trending were applied to eliminate noise. Competitive Adaptive Reweighted Sampling (CARS), Interval variable iterative space shrinkage approach (iVISSA), Interval Random Frog (IRF), Variables combination population analysis (VCPA) and Successie Projection Algorithm (SPA) were used to select and optimize variables. Partial least squares regression (PLSR), which was one classical linear calibration method, were used for developing prediction models based on full-band and feature bands. The results showed that the original spectral model was best, and its
滩羊为宁夏优势特色畜种, 其肉质一直是研究热点。 色泽是羊肉品质最重要的属性之一, MetMb在肉中所占比例直接影响色泽, MetMb含量的增加将导致肉色变暗。 目前, 肌红蛋白传统检测方法包括质谱法、 色谱法、 电化学法和X射线等[1, 2, 3, 4]。 这些方法需要高度专业化的设备以及存在耗时费力、 破坏性大等问题[5]。 高光谱成像具有突出的特征识别能力, 可以同时获得待测物品的光谱信息和二维空间信息, 形成三维数据立方体, 实现对物品特性的探测与识别。 近几年, 高光谱对肉类的研究主要集中在: 内部成分、 表面特性以及掺假等方面[6, 7, 8, 9, 10, 11, 12]。 但是尚未有文献报道此技术对肉中MetMb的研究。
以宁夏滩羊肉为研究对象, 探究高光谱成像快速无损检测滩羊肉中MetMb含量的可行性以及开发滩羊肉中MetMb含量的定量函数, 为快速测定滩羊肉中MetMb的含量提供参考。
样品来自宁夏盐池鑫海牧场, 选取滩羊背最长肌作为测试部位, 将屠宰后的滩羊在24 h内运输到实验室, 密封袋包装, 4 ℃贮藏。 每3 d测试一次(贮藏期1, 4, 7, 10, 13, 16, 19, 22, 25和28 d各测一测, 共计10次)。 图像采集之前, 用纸巾擦拭待测样本表面的水分。
VIS/NIR高光谱成像系统由CCD摄像机(配备距离样品表面385 mm的镜头)、 成像光谱仪、 线性电控位移平台、 计算机、 光源系统构成。 具体介绍参阅文献[13]。
获取图像时将样本放置在黑色背景上使样品和背景之间有良好的对比度。 暗电流的存在使相机记录了一些无用信息。 因此, 在捕获图像之前须进行校正, 校正公式如式(1)所示
式(1)中, R是校准后的高光谱图像, R0是滩羊原始高光谱图像, D是几乎没有反射的暗参考图像(反射率约0%), W是几乎全反射的白色参考图像(反射率约100%)。
光谱扫描的最佳参数通过预实验确定。 CCD相机曝光时间: 20 ms; 物镜高度: 385 mm; 线扫描长度: 70 mm; 电控位移平台速度: 200 μ m· s-1。
首先, 制备磷酸盐缓冲液(0.04 mol· L-1, pH 6.8)和待测肉样(5 g), 样品加入到25 mL缓冲液中, 混合均匀; 其次, 在室内使用均化器(10 000 r· min-1)均质25 s后得到的溶液在冰箱中储存1 h, 随后离心15 min(4 ℃, 6 000 g), 过滤上清液; 最后, 在525, 545, 565和572 nm处读取滤液的吸光度, 磷酸盐缓冲液作空白。 MetMb所占的比例通过式(2)计算
式(2)中: R1, R2和R3分别是A572 nm/A525 nm, A565 nm/A525 nm和A545 nm/A525 nm的吸光度比。
滩羊肉样本按照3∶ 1的比例划分, 滩羊肉中MetMb相对含量(%)的参考值如表1所示, MetMb具有宽范围(12.325~56.087), 可以建立相对稳健的预测模型。
| 表1 高铁肌红蛋白含量的化学参考值 Table 1 Reference values of MetMb content |
选取整个滩羊肉样本光谱图像作为感兴趣区域。 图1(a)为原始反射光谱图, 明显看出, 430, 560, 595, 780和970 nm为主要吸收带。 430 nm附近称为Soret吸收带, 因为存在呼吸性色素血红蛋白[14]; 540和595 nm处的吸收带主要是脱氧肌红蛋白或氧合肌红蛋白[15]; 980和780 nm有两个微小的吸收带, 分别对应于水产生的O— H键的第二和第三泛音[16]。
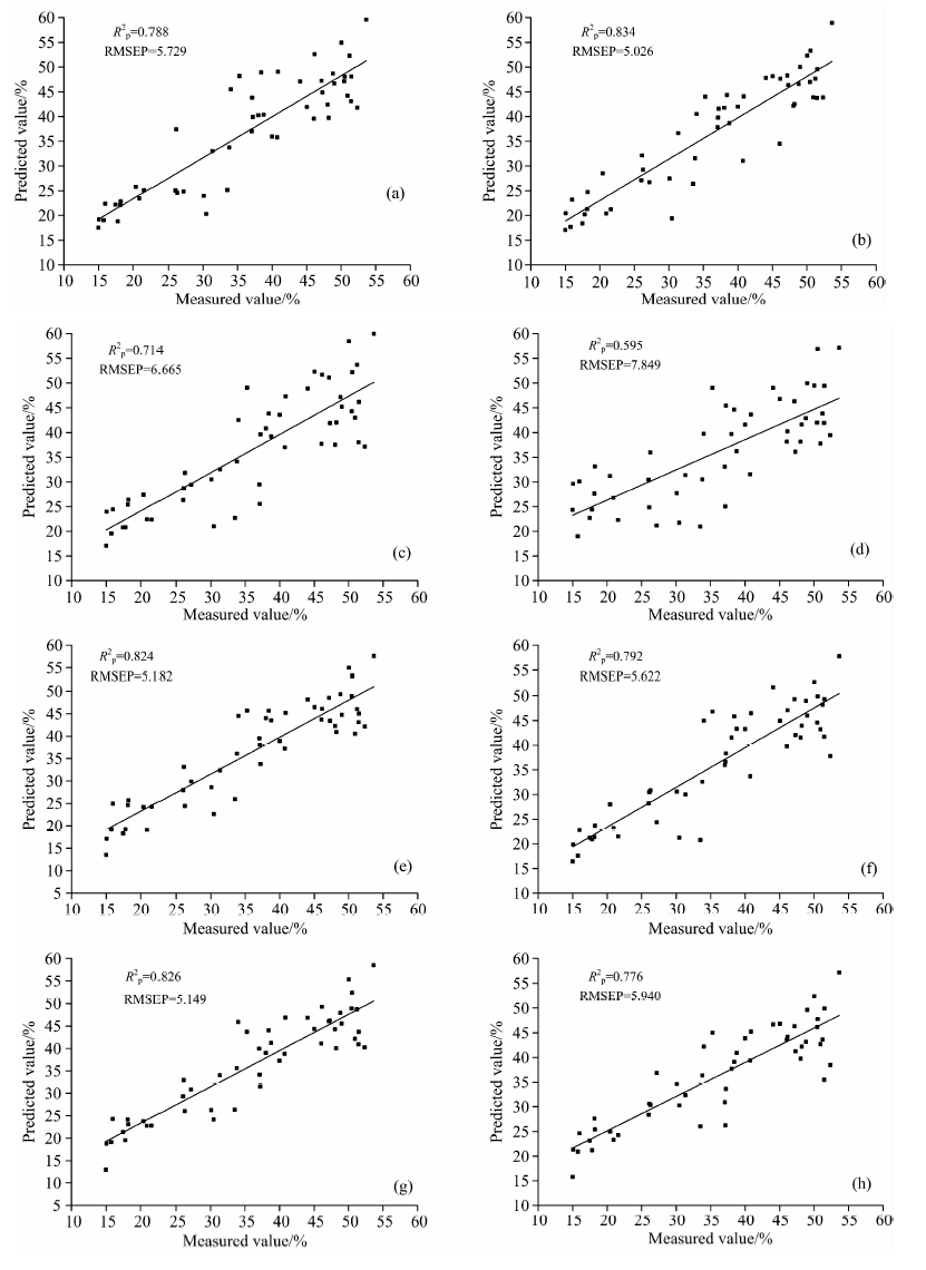
3种预处理光谱及原始光谱的PLSR建模结果如表2所示, 原始光谱的
| 表2 不同预处理方法下高铁肌红蛋白含量的PLSR模型 Table 2 PLSR mothod of MetMb content based on different pretreatment |
2.4.1 iVISSA算法选取特征波长
iVISSA利用变量的全局和局部搜索程序, 以准确地区分特征波长的最佳位置、 宽度和组合。 使用iVISSA算法选取特征波长时, 设置5折交互验证, 采样次数为1 000, 共选择了45个特征波长, 占到总波长的36%。
2.4.2 SPA算法选取特征波长
SPA算法选取特征波长时, 变量范围设置为10~35, 如图2所示, 共选出14个特征变量, 特征变量数占到总波长数的11.2%。
| 图2 SPA算法选择的特征波长 (a): RMSECV的变化情况; (b): 选择的特征波长Fig.2 Feature wavelengths extracted by SPA (a): RMSECV; (b): Selected characteristic wavelengths |
2.4.3 IRF选取特征波长
运行IRF程序, 前10个区间选出的波点范围是17~42, 82~100, 然而组合间隔数的RMSECV值(图3)最低时, 组合间隔数为11, 因此, 排名前11间隔的波长被选作为特征波长, 这些波长依次是14~42, 82~100号, 总共48个波长, 占总波长的38.4%。
2.4.4 VCPA算法选取特征波长
VCPA可以有效地消除无信息变量, 并同时根据单个光谱预测一些属性。 使用VCPA算法选取特征波长时, 共选择了13个特征波长, 占到总波长的10.4%。
2.4.5 CARS算法选取特征波长
使用CARS算法筛选特征变量数的过程如图4所示。 图4(a)为变量数随采样次数的变化过程, 采样变量的变化分为两部分, 即第一阶段快速减少(粗选)而第二阶段非常缓慢(精选); 图4(b)为5折交互验证的RMSECV值随采样次数的变化趋势, 起初, 采样数缓慢下降, 说明无信息变量被消除, 然后, RMSECV增加, 应该归因于损失了一些关键变量。 图4(c)为回归系数的变化过程, 最佳变量子集对应于最小的RMSECV值, 其位置由垂直星号线标记。 由线(标记为L1, L2, L3, L4, L5)表示的RMSECV值上升得更高时, 变量(标记为P1, P2, P3, P4, P5)被消除为零, 因为一些关键波长被移除。 用此方法共选取了16个特征变量, 占总波长的12.8%。
表3为8种PLSR模型。 使用SPA算法,
| 表3 不同波长提取方法建立的的PLSR模型的结果 Table 3 The results of PLSR models based on different wavelength extraction methods |
基于10个关键性特征波长建立了光谱数据与MetMb参数之间的定量线性关系, 得到PLSR定量函数, 即:
以宁夏滩羊肉为研究对象, 采集样本光谱图像, 利用分光光度计测量样本的MetMb含量, 建立PLSR模型, 高光谱成像可以实现滩羊中MetMb含量的预测。 结论如下:
(1)对原始光谱采用4种方法进行预处理, 通过对比分析模型性能和光谱曲线, 确定原始光谱最佳,
(2)基于原始光谱数据, 使用了CARS, VCPA, IRF, SPA, iVISSA, IRF+SPA, iVISSA+SPA等降维方法, 确定IRF+SPA-PLSR模型性能最佳, 其
(3)基于IRF+SPA算法提取出的10个关键性特征波长建立了光谱数据与MetMb参数之间的定量线性关系, 得到定量函数为:
| [1] |
|
| [2] |
|
| [3] |
|
| [4] |
|
| [5] |
|
| [6] |
|
| [7] |
|
| [8] |
|
| [9] |
|
| [10] |
|
| [11] |
|
| [12] |
|
| [13] |
|
| [14] |
|
| [15] |
|
| [16] |
|

