作者简介: 先怡衡, 1983年生, 西北大学科技考古学研究中心讲师 e-mail: xianyiheng@sina.com
绿松石是一种产地有限, 却在世界范围内被广泛使用的珍稀宝石资源, 研究绿松石文物的矿料来源可为了解古代不同地区间珍稀资源的获取与交流模式、 文化传播途径、 早期贸易网络等学术问题提供帮助。 新疆绿松石文物的矿料来源是近年来科技考古关注的热点问题之一, 目前存在中原说、 波斯说、 新疆说和多元说等观点。 研究新疆绿松石文物的产源, 其难点在于既要保证文物的安全, 又要确保分析数据的准确性, 同时要避免样品表面污染对数据结果带来的干扰。 鉴于此, 采用等离子体原子发射光谱LA-ICP-AES对新疆加依、 西沟两处墓地出土的绿松石进行化学成分分析, 并结合秦岭东部五处产地的绿松石成分数据, 经主成分分析绘制散点图——建立产地区分模型。 主成分分析结果显示加依墓地样品中有五枚是罕见的锌绿松石, 其余同西沟墓地绿松石的成分相近, 均含有相对较高比例的Fe和Sr。 结合中原地区的绿松石成分数据对比分析, 发现新疆两遗址绿松石的微量元素特征相近, 以高B2O低BaO为特征区别于中原地区的绿松石样品。 在产地区分模型中, 代表加依墓地和西沟墓地出土绿松石的散点聚集成团, 且明显区分于白河、 郧县、 洛南、 竹山、 淅川五地的散点分布区域。 综上结果表明新疆东部两处遗址的绿松石制品与中原东秦岭五处绿松石矿区所产矿料的成分差异较大, 鉴于近年来新疆哈密发现与两处遗址同时代的绿松石采矿遗址, 推测加依墓地、 西沟墓地的绿松石制品其矿料来自中原地区的可能性较小。
Study on geological provenience of turquoise can reveal a lot about ancient trade, organization of resources and cultural exchanges, thus the origin of turquoise artifacts excavated from Xinjiang has been a hot issue in archaeometry in recent years. At present, there are three major academic hypotheses on the provenience of turquoise objects found in Xinjiang: Central Plains, Xinjiang or Persia. In order to determine the provenience of turquoise excavated from Jiayi and Xigou sites, two cemeteries in the eastern part of Xinjiang have been chosen, and we examined the turquoise samples using LA-ICP-AES to analyze the chemical composition and PCA to compare the results with samples from five regions in the eastern Qinling Mountains (Central Plains). The results of the composition analysis of the objects from these two sites have shown that five of the Jiayi site samples are rare zinc turquoise, while the other samples are similar to those turquoise samples of the Xigou site and contain relatively high level of Fe and Sr. Based on the comparative analysis of the turquoise composition data between these two sites and samples from the Qinling Mountains, it was suggested that the trace elements of turquoise artifacts from Jiayi and Xigou sites are not similar to the turquoise samples in the Central Plains, different in view of higher level of B2O (Wt%) and lower level of BaO (wt%). According to the provenience differentiation model, the samples from these two sites have formed a cluster and are clearly distinguished from the distribution areas of Qinling Mountains. Hence, it can be concluded that the composition of the turquoise artifacts excavated from Jiayi and Xigou sites is different from the minerals of Qinling, Mountains in Central Plains. Based on the discovery of the ancient turquoise mining site in Hami, Xinjiang, the turquoise artifacts found in Jiayi and Xigou sites are barely likely to be from Central Plains.
据最新的考古资料显示, 我国是世界上最早使用绿松石的国家[1], 在考古学视角下绿松石是中国中原文化的象征物之一, 其传播代表着早期中原文化的扩展[2]。 随着丝绸之路文化研究的深入, 新疆地区出土的绿松石文物的来源问题成为近期研究的热点, 目前关于新疆绿松石文物的来源存在中原说、 波斯说、 新疆说和多元说等观点, 但这些推测均无科技分析数据为其观点提供支撑。
绿松石文物的产源研究难点在于既要避免风化对数据的影响, 还要保证样品的安全性。 鉴于此, 光谱分析是现阶段研究绿松石文物产源的有效途径, 在众多光谱分析技术方法中, 激光剥蚀电感耦合等离子体原子发射光谱法(LA-ICP-AES)作为几乎无损的分析方法具有多重优点: 激光剥蚀可清除样品风化层, 使测试结果更为准确; 激光剥蚀量小, 不影响文物外观, 对文物几乎无损害; 成分检出限低等[3]。 故采用LA-ICP-AES对新疆两处遗址出土绿松石文物成分分析并进行产源研究。
分析所用样品来自新疆东部两处遗址, 分别位于哈密巴里坤山北部的西沟墓地和吐鲁番盆地的加依墓地。 两处遗址同属于青铜时代晚期至早期铁器时代, 这段时间是古代东西方文化在新疆加速接触、 融合的时期。 样品其中9枚来自加依T33M89号墓葬, 实验编号为JY-1~JY-9, 颜色为蓝色或绿色, 个别样品有不同程度的风化、 沁色。 8枚取自西沟遗址1号墓葬, 实验编号为XG1~XG8, 均呈扁圆形, 圆形略有不规则。
采用激光剥蚀电感耦合等离子体原子发射光谱法(LA-ICP-AES)进行成分分析测试。 测试地点在北京大学; 测试条件: UP266-MARCO激光器(NEW-WAVE公司; 美国); ICP-AES为Prodigy型ICP(LEEMAN-LABS公司; 美国); RF(高频发生器)功率为1.1 kW; 氩气流量为20 L· min-1; 雾化器压力为30 psig(英制单位; 约20 MPa); 蠕动泵(样品提升)速率2 mL· min-1; 积分时间为30 sec· time-1; 激光器分析条件: 激光波长为266 nm; 激光器: 为Nd-YAG, 每个样品累积剥蚀面积2~3 mm2, 剥离厚度大于100 μ m; 氦气流速为0.6 L· min-1。 实验数据取测试点位两次测试结果的平均值。
运用LA-ICP-AES检测技术, 测得绿松石样品的化学成分数据, 实验结果详见表1。
| 表1 LA-ICP-AES数据表(Wt/%) Table 1 Results of analysis of the Turquoise sample by LA-ICP-AES (Wt%) |
绿松石(Turquoise)晶体化学式为Cu(Al, Fe)6[PO4]4(OH)8· 4H2O, 晶体结构中Cu2+可被Zn2+作不完全类质同象替代; Al3+可被Fe3+作完全类质同象代替[4]。 分析两处遗址样品的主量元素特征, 根据ZnO/CuO和Fe2O3/Al2O3比值可分为两类(图1): 一类为Fe含量较高的绿松石; 另一类以高Zn低Cu为特征, 属于绿松石的亚种— — 锌绿松石[5](Faustite)。 锌绿松石于1878年在美国内华达州首次发现, 我国目前仅见于湖北郧县云盖寺矿区[6], 稀少的矿源可以为绿松石产源研究提供重要线索。 遗址中大部分样品属于含铁量较高的绿松石, 仅加依墓地中部分样品(JY-1, JY-2, JY-3, JY-7, JY-8)为Zn含量较高的锌绿松石。 比较两类绿松石样品的微量元素特征, 发现高锌绿松石中Sr含量明显较低(图2)。
| 图1 ZnO/CuO, Fe2O3/Al2O3散点图Fig.1 ZnO/CuO versus Fe2O3/Al2O3 ratio in the the studied turquoise samples |
绿松石的成分与其形成的地质环境、 成矿条件有密切关系[7]。 绿松石文物中存在的成分差异反映出两类绿松石可能来自不同的矿区, 但由于锌绿松石可与绿松石同层产出, 且Sr元素在矿区中分布不均匀, 所以加依墓地中成分差异较大的绿松石是否来自不同矿区还有待进一步研究。
将实验数据结合秦岭东段(白河、 洛南、 郧县、 淅川、 竹山)绿松石的LA-ICP-AES检测数据进行综合对比分析。 (注明: 以上数据的采集条件同本文实验数据一致, 均在北京大学采用同一台仪器、 在相同测试条件下进行测试。)
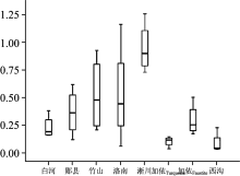
结果显示: 相比中原秦岭五地的绿松石, 新疆两处遗址出土的绿松石成分特征保持高度的统一性, 均以高B2O低BaO区别于中原绿松石(图3和图4)。
利用软件SPSS19.0对白河、 洛南、 郧县、 竹山、 淅川绿松石矿样和出土于新疆东部两处遗址的绿松石的LA-ICP-AES实验数据进行主成分分析(PCA)。 选择有效的绿松石化学成分组合(表2), 进行降维处理。 KMO值0.656> 0.6, 表明数据适合做因子分析[8]。 根据3个主成分的得分, 使用软件Origin8.0绘制散点图(图5)。 样品在空间中以平面P分为Ⅰ 和Ⅱ 两个大的聚集团区域, 加依墓绿松石样品与西沟墓地绿松石样品在主成分空间的Ⅰ 区聚集, 明显区分于聚集Ⅱ 区的五处中原产地的绿松石样品。
| 表2 成分矩阵 Table 2 Component matrix |
新疆绿松石文物的原料和产品来自何处, 是目前学术界争论的焦点问题。 结合化学成分分析和主成分分析, 新疆东部两处遗址出土绿松石的化学成分更加接近, 两处遗址绿松石的原料很可能来自同一矿区。 从主成分分析产地区分图的疏密程度来看, 两处遗址中的绿松石成分与来自中原地区秦岭东段的绿松石矿料差别较大, 其原料来自秦岭东段以五处绿松石矿为主的陕、 鄂、 豫三省交界的成矿带可能性很小。
LA-ICP-AES技术具有精准、 高效、 样品损耗小的特点, 在绿松石文物成分分析中具有巨大优势, 结合PCA分析法对现有绿松石样品数据建立产地区分模型可有效区分某些产区的绿松石矿。
| [1] |
|
| [2] |
|
| [3] |
|
| [4] |
|
| [5] |
|
| [6] |
|
| [7] |
|
| [8] |
|

