作者简介: 马宏宇, 1995年生, 中国计量大学太赫兹研究所硕士研究生 e-mail: ma.hongyu@foxmail.com
太赫兹滤波器是太赫兹通信、 太赫兹成像和太赫兹检测等太赫兹应用系统中不可或缺的功能器件。 按照不同的分类方式, 滤波器有不同的种类, 常见的按照选频功能可分为高通滤波器、 低通滤波器、 带阻滤波器和带通滤波器。 为了实现在太赫兹波段的滤波效果, 世界各地的研究人员利用不同的结构、 材料和控制方式实现了功能各异的太赫兹滤波器, 但是考虑到设计的器件要应用到太赫兹系统中, 成本低廉、 结构简单、 性能优越的太赫兹滤波器一直是研究人员的追求。 分形概念自提出以来在很多研究领域都有了快速发展, 但是在太赫兹波段的应用还不是很常见, 特别是应用于太赫兹功能器件的设计。 引入分形中科赫曲线的概念设计并制备了一种新型的太赫兹带通滤波器, 该滤波器是在金属薄膜上刻蚀出科赫曲线分形结构, 当太赫兹波垂直入射到该滤波器时候实现了在太赫兹波段的窄带滤波。 在滤波器的设计过程中, 追求理论与实验相结合, 首先在电磁仿真软件中建立科赫曲线分形结构滤波器模型进行计算, 探究分形结构应用于太赫兹波段进行滤波的可行性, 在进行多次计算之后得到优化后的尺寸和结构, 然后根据优化后的尺寸加工出科赫曲线分形结构太赫兹滤波器样品, 并且将样品放在太赫兹时域光谱系统中进行实验测量, 得到实验数据后与仿真结果进行比较。 在仿真中利用了时域有限差分法模拟科赫曲线分形结构太赫兹带通滤波器的传输特性, 优化后的仿真结果表明: 滤波器的谐振频率为0.715 THz, 透射系数能够达到0.92, -3 dB带宽为21.9 GHz, 将仿真得到的散射参数进行 S参数反演得到了太赫兹滤波器样品的电磁参数, 这在理论上分析了太赫兹波在谐振点处产生透射增强的原因。 利用飞秒激光微加工系统制备了尺寸优化后的科赫曲线分形结构太赫兹带通滤波器样品, 然后使用太赫兹时域光谱系统对样品的传输特性进行测试, 对实验得到的时域数据进行快速傅里叶变换之后得到频域数据, 再把频域数据进行归一化处理后与之前的电磁仿真结果进行对比, 发现实验测得的结果与电磁软件仿真得到的结果较为吻合。
Terahertz filter is an indispensable functional device in terahertz communication, terahertz imaging and terahertz detection systems. According to different classification methods, there are different kinds of filters. Common filters can be divided into high-pass filter, low-pass filter, band-stop filter and band-pass filter according to frequency selection function. In order to achieve the filtering effect in terahertz band, researchers around the world use different structures, materials and control methods to achieve terahertz filters with different functions. However, considering that the designed devices are to be applied to terahertz system, the low cost, simple structure and superior performance of terahertz filters have always been the pursuit of researchers. Fractal concept has developed rapidly in many research fields since it was proposed, but its application in terahertz band is not very common, especially in the design of terahertz functional devices. A novel terahertz bandpass filter is designed and fabricated by introducing the concept of Koch curve in fractal. The filter etches the fractal structure of Koch curve on the metal film. When the terahertz wave is incident perpendicularly to the filter, the narrowband filter in terahertz band is realized. In the process of filter design, the combination of theory and experiment is pursued. Firstly, the Koch curve fractal structure filter model is established in electromagnetic simulation software to calculate, and the feasibility of applying fractal structure to terahertz band filtering is explored. After many calculations, the optimized size and structure are obtained. Then, the Koch curve fractal structure is processed according to the optimized size. Sample of terahertz filter is constructed and measured in terahertz time domain spectroscopy system. The experimental data are obtained and compared with the simulation results. The finite difference time domain method is used to simulate the transmission characteristics of THz bandpass filter with Koch curve fractal structure. The optimized simulation results show that the resonant frequency of the filter is 0.715 THz, the transmission coefficient can reach 0.92, and the bandwidth of -3 dB is 21.9 GHz. The electromagnetic parameters of the THz filter sample are obtained by inversion of the simulated scattering parameters with S parameters, which is analyzed theoretically in the reason of transmission enhancement of terahertz wave at resonance point. Sample of THz bandpass filter with fractal structure of Koch curve optimized is fabricatedby femtosecond laser microfabrication system. The transmission characteristics of the sample are tested by THz time domain spectroscopy system. Frequency domain data are obtained after fast Fourier transform of the experimental time domain data. Frequency domain data are normalized and combined with previous electromagnetic simulation results. By comparing the results, it is found that the experimental results are in good agreement with those obtained by electromagnetic software simulation.
太赫兹波(Terahertz, THz)是指频率在0.1~10 THz范围内的电磁波, 太赫兹辐射具有很多优越的特性, 在很多领域都有着潜在的应用, 如太赫兹通信、 太赫兹成像和太赫兹传感等等[1, 2, 3]。 为了控制和操纵太赫兹波, 需要各种功能不同的太赫兹器件, 如传感器[4, 5]、 分束器[6, 7]、 调制器[8, 9]和滤波器[10, 11]等。 而太赫兹滤波器是太赫兹通信、 太赫兹传感和太赫兹成像等应用系统中不可或缺的功能器件。 近些年来, 研究人员陆续报道了各种不同的太赫兹滤波器设计方案。 如Lan等[12]设计了一种在太赫兹范围内基于频率选择表面的双层改进型互补结构带通滤波器, 该滤波器具有易加工、 成本低、 损耗小、 带外抑制度高、 带宽宽、 能有效抑制寄生谐振等优点。 2015年, Zhu等[13]通过在介质层两侧制作相同的图案, 其中一侧图案旋转90° 得到一种在太赫兹范围内偏振不敏感的宽带带阻滤波器。 Wang等[14]介绍了一种在柔性基底聚酰亚胺顶部放置周期性金属共振结构的双阻带太赫兹滤波器, 该滤波器在0.131和0.182 THz处获得了-3 dB带宽分别为15和10 GHz的2个阻带, 表现出了良好的阻带特性。 同年, Yang等[15]通过一种新方法来控制金属-绝缘层-金属环形谐振器上局部表面等离子体, 从而达到滤波的效果。 由上可知, 太赫兹滤波器的研究一直是太赫兹研究人员关注的热点, 但是上述大多数太赫兹波滤波器结构较为复杂、 性能各异, 因此设计出结构简单、 成本低廉、 性能优越的太赫兹滤波器一直是研究人员的目标。
本文提出一种基于科赫曲线分形结构太赫兹带通滤波器, 该滤波器是在金属薄膜上刻蚀出分形结构。 首先利用时域有限差分法分析该科赫曲线分形结构滤波器的传输特性, 利用散射参数进行S参数反演得到了电磁参数, 这在理论上分析了太赫兹波在谐振点处产生透射增强的原因。 然后使用微加工工艺制作了该样品, 并且在太赫兹时域光谱系统(Terahertz time-domain spectroscopy system, THz-TDS)中对样品进行了测试, 实验和仿真结果较好的相互吻合。 得到滤波器的中心频率为0.715 THz, 透射系数能够达到0.92, -3 dB带宽为21.9 GHz。 该滤波器结构简单、 制作方便、 成本低廉, 在太赫兹系统中有良好的应用前景。
本文提出的科赫曲线分形结构太赫兹滤波器的周期阵列如图1(a)所示, 该滤波器是在金属薄膜上刻蚀出分形结构, 金属介质选择电导率为σ =3.56× 107 S· m-1的铝。 图1(b)是滤波器结构单元尺寸示意图, Px和Py分别为结构单元在X和Y坐标轴方向的周期大小, L1和L2分别是方形科赫曲线第一次和第二次分形变化时的正方形边长。 方形科赫曲线变化过程如图1(c)所示: 先将一条线段的中间部分变化成正方形, 根据分形的自相似性, 将第一次变化之后所得图形中的每一条线段都按照此方式进行变化。 利用基于时域有限差分法的CST2017仿真软件对设计的滤波器进行仿真。 经过仿真和尺寸优化, 得到最终结构单元尺寸如下: Px=Py=365 μ m, L1=65 μ m, L2=30 μ m, 金属薄膜厚度H=10 μ m。
| 图1 (a)周期阵列示意图; (b)结构单元尺寸图; (c)方形科赫曲线Fig.1 (a) Periodic array diagram; (b) Unit cell parameters; (c) Square Koch curve |
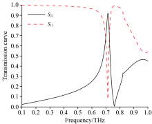
图2所示是滤波器的传输曲线, 包括透射系数S21和反射系数S11的仿真结果。 由图2可知, 当太赫兹波垂直入射时, 该滤波器在0.715 THz处产生谐振, 出现了透射增强的现象。 为了深入理解该科赫曲线分形结构滤波器的传输机理, 计算分析了该滤波器在谐振频率f=0.715 THz处的表面电场和表面电流分布。 从图3(a)可知, 谐振频率f=0.715 THz处的电场主要分布在左右两边分形结构的边缘, 强电场分布对应于强的电谐振, 主要反映了相邻谐振单元之间的强耦合。 由图3(b)可知, 谐振频率f=0.715 THz处的大电流主要沿着科赫曲线分布, 且左右两侧对称分布, 从而形成较强的电谐振。 当入射电磁波与谐振频率相同时, 将在该频率点产生太赫兹波透射增强现象。
| 图2 仿真获得基于科赫曲线分形结构太赫兹滤波器的传输曲线Fig.2 The transmission curve of terahertz filter based on Koch curve fractal structure is obtained by simulation |
| 图3 科赫曲线分形结构太赫兹滤波器在谐振频率 0.715 THz处(a)电场和(b)表面电流分布Fig.3 (a) Electric field and (b) Surface current distribution of the Koch curve fractal structure filter at resonant frequency 0.715 THz |
对滤波器结构进行尺寸优化之后, 得到仿真结果的透射系数和反射系数为
式中s'21和
当入射波的波长远大于结构单元尺寸时, 滤波器整个结构可视为均一介质平板, 可以利用S参数反演法提取出电磁参数, 得到该结构的均一介质平板折射率和等效阻抗表达式如式(3)— 式(5)
式中, k0是自由空间波数, k0=ω /c, ω 是频率, c是真空中的光速, d是均一介质平板厚度。 由式(3)和式(4)得到折射率n和等效阻抗z可以计算等效介电常数ε eff。 得到滤波器的介电常数如图4所示, 介电常数实部在0.1 THz处趋向于负无穷, 在频率0.715 THz附近由于电谐振导致介电常数实部出现突变, 因此在该频率处可以实现谐振传输。
金属薄膜上图案使用飞秒激光微加工系统进行加工, 铝箔放置在由计算机控制的二维精密平移台上, 飞秒激光通过物镜聚焦在铝箔表面, 通过移动二维平移台可以加工出所设计图案的微观结构。 整个加工过程可以通过CCD成像系统进行实时监控, 并将加工图案显示在计算机屏幕上。 加工系统利用了脉冲能量为50 μ J, 聚焦光斑尺寸为10 μ m, 运动速度为1 mm的条件, 使样品达到所要求的加工质量。 厚度为10 μ m铝箔被置于有张力的中空方形板上, 以确保铝箔平整。 在实际加工之前, 首先对铝箔的角部进行了试切, 激光切割沿横切边进行, 以便能够挖出横切孔, CCD相机成像用来测量获得的横向宽度和长度。 通过调整平台的移动距离, 可以得到与仿真参数相匹配的期望线宽和长度。 最后, 使用压缩氮气吹走残渣并冷却材料, 并且用光学显微镜检查加工质量和孔径大小, 加工好的样品如图5所示。
| 图5 基于科赫曲线分形结构太赫兹带通滤波器样品 (a): 样品整体; (b): 样品细节图Fig.5 Samples of terahertz bandpass filter based on Koch curve fractal structure (a): The whole sample; (b): Sample details |
加工完成后的滤波器样品利用如图6所示的太赫兹时域光谱系统(THz-TDS)进行测试。 飞秒激光器产生脉冲激光通过半波片(HWP)、 分束镜(BS)后, 分为泵浦光和探测光。 泵浦光先经斩波器(Chopper)调制, 再经过时间延迟线后聚焦入射到低温生长的GaAs光电导天线上产生太赫兹脉冲。 太赫兹脉冲通过一组抛物面镜(PM1和PM2)对准后射向要测试的样品, 然后通过另一组抛物面镜(PM3和PM4)将携带了样品信息后的太赫兹波聚焦到ZnTe探测晶体上。 探测光在高阻硅反射后与携带样品信息的太赫兹波共同通过ZnTe探测晶体, 然后通过四分之一波片(QWP)形成椭圆偏振光, 再通过渥拉斯顿棱镜(PBS)后变成偏振方向互相垂直的两个分量。 最后入射到一对连接着锁相放大器的光电检测探头上, 计算机负责数据的采集和分析。 样品测试后得到的时域谱数据如图7所示, 参考信号是指没有放样品时THz-TDS测得的数据。 将实验得到的时域数据进行快速傅里叶变换之后得到传输曲线的频域谱。 图8显示了对实验数据进行归一化处理后的传输曲线和仿真得到的传输曲线之间的比较, 由图8可知, 实验结果在0.723 THz处有显著的透射峰, 而仿真结果的谐振频点在0.715 THz处, 模拟结果和实验结果之间存在着一点偏差。 造成偏差的原因是多方面的, 可能来自测量产生的误差, 同时, 加工的样品也可能存在着一定的误差。
提出一种基于科赫曲线分形结构的太赫兹带通滤波器, 实现了在太赫兹波段的窄带滤波。 利用时域有限差分法分析了滤波器传输特性, 并且利用散射参数进行S参数反演得到了该滤波器结构的电磁参数, 得到该太赫兹滤波器的谐振频率为0.715 THz, 透射系数最高能达到0.92, -3 dB带宽为21.9 GHz。 采用微加工工艺制作滤波器样品, 并用太赫兹时域光谱系统对其滤波特性进行了测试, 实验和理论仿真较为吻合。 本文提出的滤波器结构简单、 制作方便、 成本低廉, 在未来的太赫兹应用系统中有巨大的潜力。
| [1] |
|
| [2] |
|
| [3] |
|
| [4] |
|
| [5] |
|
| [6] |
|
| [7] |
|
| [8] |
|
| [9] |
|
| [10] |
|
| [11] |
|
| [12] |
|
| [13] |
|
| [14] |
|
| [15] |
|

