作者简介: 李培丽, 1972年生, 南京邮电大学电子与光学工程学院教授 e-mail: lipl@njupt.edu.cn
当金属-分布式Bragg反射镜-金属(M1-DBR-M2)结构中的DBR周期数比较大时, M1-DBR-M2中的两光学Tamm态(OTS)发生弱耦合。 通过研究M1-DBR-M2结构中OTS弱耦合情况下的反射光谱和OTS本征波长电场分布, 揭示了弱耦合情况下的OTS和光隧穿效应。 研究结果表明: 在弱耦合情况下, 金属薄膜M1的厚度影响了OTS的本征波长, 而金属薄膜M2的厚度对OTS的本征波长没影响。 虽然弱耦合情况下只能激发M1-DBR交界面处的OTS1, 但电场局域现象并不是仅仅发生在M1-DBR交界面处, 光可以穿过DBR到达并被局域在DBR-M2交界面处, 存在光的隧穿效应。 光隧穿效应的强弱与两OTS的本征波长失谐量大小有关, 本征波长失谐量越小, 光隧穿效应越强。 两OTS的本征波长失谐量的大小, 也影响了光在M1-DBR-M2结构中局域的强弱, 本征波长失谐量越小, 光的局域现象越强, 反射光谱中凹峰处的反射率越小。
Weak couplingeffect between two optical Tamm states (OTS) in metal-DBR-metal (M1-DBR-M2) structure will occur when the periodicity of distributed Bragg (DBR) in theM1-DBR-M2 is relatively large. By studying the reflection spectrum and the distribution of the electric field of the intrinsic wavelength of OTS under the condition of weak coupling of OTS, the intrinsic wavelength, reflectivity and optical tunneling effect of OTS are revealed. The results show that the intrinsic wavelength of OTS is affected by the thickness of the metal film M1 under the weak coupling condition, while the thickness of the metal film M2 has no effect on the intrinsic wavelength of OTS. Although only the OTS1 at the M1-DBR interface can be excited, the local field phenomenon is not only localized at the M1-DBR interface. The light can go through the DBR and be localized to the DBR-M2 interface, which is optical tunneling effect. The optical tunneling effect is related to the intrinsic wavelength detuning between two OTS. The smaller the detuning of the intrinsic wavelength is, the stronger the tunneling effect is. The intrinsic wavelength detuning between two OTS also affects the local intensity of light in the M1-DBR-M2 structure. The smaller the detuning of the intrinsic wavelength is, the stronger the local phenomenon of light is, and the smaller the reflectivity at the concave peak in the reflection spectrum is.
2005年, Kavokin等提出了光学Tamm态(OTS)的概念[1]。 OTS是一种局域界面模, 其电磁场局域在不同材料的分界面, 随着远离该分界面电磁场强度逐渐变弱[2, 3]。 OTS广泛存在于一维光子晶体异质结和金属-分布式Bragg反射镜(DBR)结构中。 与表面等离子体激元相比, OTS可由TE或TM偏振光直接激发, 无需特定的入射角, 即使是在垂直入射情形下也可以激发[4]; 其反射谱具有较窄的半高谱宽, 可用于滤波器、 高灵敏度传感器、 极化激元激光器(有腔或无腔)、 光开关、 增强Faraday旋转、 增强Kerr效应等领域, 因此对OTS的研究在近年来倍受关注[5, 6, 7, 8, 9]。 在一些存在多个OTS的系统中, OTS之间会发生耦合作用, 能够产生许多不同的现象, 如出现本征模式分裂, 形成不同本征波长的OTS, 这为OTS的应用提供了新思路, 有着实际的或潜在的应用价值。
2012年, 周海春等研究了对称DBR1-M-DBR2结构和非对称DBR1-M-DBR2结构中两个OTS的耦合作用引起的本征模式分裂和迁移现象[10]; 2013年, 蒋瑶等研究了非对称DBR1-M-DBR2结构中两个OTS本征模式耦合与本征波长失谐量的关系, 以控制两个OTS的迁移[11]; 同年, Zhang等构造的M1-QW-DBR-M2结构中, 在加入量子阱(QW)层后, 金属-DBR交界面处的两个OTS耦合后会与量子阱发生强相互作用, 又产生一个反射凹峰[6]; 同年, 陈林坤等设计了一种M1-(AB)8A-M2结构, 利用两相同OTS耦合产生孪生透射峰, 实现可调双频滤波器[12]; 2015年, 陆苏青等通过调整M1-(aba)10-M2中的金属层厚度、 入射角度等来实现双波偏振完美吸收, 吸收率可达到98% [13]; 2016年, 吴义恒等通过一个两侧镀金属薄膜的一维光子晶体非线性微腔, 利用两个非对称OTS与非线性微腔耦合, 实现光二极管[14]; 2017年, 刘启能等研究了Ag-光子晶体-Ag结构中两种偏振光光学Tamm态的吸收率随入射角、 周期数以及银层厚度的变化规律, 丰富了对双OTS耦合结构中两种偏振光Tamm态的吸收特性的认识[15]。 上述研究主要集中在双OTS耦合引起的本征模式分裂、 迁移及其应用方面。
在M1-DBR-M2结构中, 当DBR的周期数较大时, 两OTS之间会发生弱耦合作用。 本文针对M1-DBR-M2结构中两OTS之间发生弱耦合情况, 研究光垂直入射时的反射光谱和OTS本征波长的电场分布, 揭示在弱耦合情况下M1-DBR-M2结构中OTS的本征波长、 反射率和光隧穿效应, 以及两OTS的本征波长失谐量的大小对光隧穿效应的强弱和本征波长处反射率的影响。
M1-DBR-M2结构如图1所示, 两端的金属薄膜选用Ag, 厚度分别为dM1和dM2, 两金属薄膜之间的DBR是由两种半导体材料AlAs和GaAs周期性交替生长而成, 折射率分别为2.95和3.56, 厚度分别为dA和dB, DBR的周期数为N。 在DBR中, 与两金属薄膜直接相邻的介质层记为缺陷层D1层和D2层, 其材料与B相同, 厚度分别为dD1和dD2。 根据光入射的布拉格条件, nAdA=nBdB=
Ag的介电常数采用Drude-Lorentz色散模型[16], 光在M1-DBR-M2结构中的传输特性可用特征矩阵法来研究。 在M1-DBR-M2结构中存在M1-DBR和DBR-M2两个交界面, 两个交界面处理论上都可以产生OTS, 两个OTS之间会发生耦合作用。 两OTS的耦合可以借用经典理论中的耦合谐振子方程来研究[17]。
在M1-DBR-M2结构中, 取金属薄膜M1和M2的厚度分别为50和35 nm, 缺陷层D1和D2的厚度都为40 nm, 组成DBR半导体材料AlAs和GaAs的厚度分别为76.4和67.5 nm, 周期数为23, 可计算出DBR的禁带中心波长λ 0为931 nm。
图2为光垂直入射到DBR结构的反射谱。 由图可知, DBR结构的禁带范围为869~999 nm。
当光分别垂直入射到M1-DBR, M2-DBR和M1-DBR-M2结构时, 其反射光谱和反射光谱中对应凹峰波长处的电场分布情况, 分别如图3— 图5所示。
| 图3 光垂直入射到M1-DBR结构 (a): 反射光谱; (b): 反射凹峰对应的电场分布图Fig.3 Light incident vertically onto the M1-DBR (a): Reflection spectra; (b): Field intensity distribution of reflection dip |
| 图4 光垂直入射到M2-DBR结构 (a): 反射光谱; (b): 反射凹峰对应的电场分布图Fig.4 Light incident vertically onto the M2-DBR (a): Reflection spectra; (b): Field intensity distribution of reflection dip |
| 图5 光垂直入射到M1-DBR-M2结构 (a): 反射光谱; (b): 反射凹峰对应的电场分布图Fig.5 Light incident vertically onto the M1-DBR-M2 (a): Reflection spectra; (b): Field intensity distribution of reflection dip |
从图3(a)和图4(a)可以看出, 当光分别垂直入射到M1-DBR和M2-DBR中, 在禁带内918和921 nm处分别出现了一个反射凹峰。 从凹峰对应的电场分布图中看到在M1-DBR交界面和M2-DBR交界面处出现明显的电场局域现象, 如图3(b)和图4(b)所示, 这说明在M1-DBR交界面和M2-DBR交界面处分别产生了本征波长为918和921 nm的OTS1和OTS2。
在M1-DBR-M2结构中, 两个M-DBR交界面处理论上都可以产生OTS。 定义两OTS的本征频率差为本征频率失谐量, 则两个OTS的本征波长失谐量为3 nm。 当光从M1端垂直入射到M1-DBR-M2中, 由图5(a)中的反射光谱可看出, 在DBR禁带范围内只出现一个波长为918 nm的凹峰, 与M1-DBR结构的OTS1本征波长相同。 这是由于在M1-DBR-M2结构中, 由于DBR的周期数比较大时, 发生弱耦合, 光垂直入射到M1-DBR-M2结构中, 只能激发M1-DBR交界面处的OTS1, 而不能激发DBR-M2交界面处OTS2, 因此M1-DBR-M2结构的反射光谱凹峰只与M1-DBR交界面处的OTS1有关。
虽然光垂直入射到M1-DBR-M2结构中, 只能激发M1-DBR交界面处的OTS1, 但从图5(b)中对应反射凹峰的电场分布图中可以看出, 电场局域现象并不是仅仅发生在M1-DBR交界面处, 在DBR-M2交界面处同样存在电场局域现象。 这是由于耦合作用, 一部分光会隧穿DBR, 到达并被局域到DBR-M2交界面处, 即发生了光的“ 隧穿” 现象。 用光隧穿几率表征隧穿效应的强弱, 定义为穿过M1-DBR-M2中DBR中间位置的电场强度之和与M1-DBR-M2结构中总电场强度之比。 经计算可得对应的光隧穿几率为32%。
下面通过研究在光垂直入射到M1-DBR-M2结构中发生弱耦合时的反射光谱和OTS本征波长电场分布, 研究金属层厚度对M1-DBR-M2结构中OTS的本征波长、 反射率和光隧穿效应的影响。
当金属薄膜厚度分别为20, 35, 50和65 nm时, 光垂直入射到M-DBR结构中产生的OTS本征波长分别为933, 921, 918和917 nm。
当金属薄膜M1厚度分别为20, 35, 50和65 nm, 金属薄膜M2厚度为35 nm时, 光垂直入射到M1-DBR-M2结构的反射光谱如图6所示。 由于只能激发M1-DBR交界面处的OTS1, 所以反射光谱中只出现一个凹峰, 本征波长分别为933, 921, 918和917 nm。 随着金属薄膜M1厚度逐渐增大, 激发的OTS本征能量增大, 本征波长蓝移, 蓝移速度先快后慢, 这与金属薄膜厚度对M1-DBR交界面处OTS的影响相同。
| 图6 不同金属薄膜M1厚度下, 光垂直入射到M1-DBR-M2中的反射光谱Fig.6 Reflection spectra of light incident vertically into the M1-DBR-M2 at different thicknesses of M1 |
图7为金属薄膜M1厚度分别取为20, 35, 50和65 nm时, 对应OTS本征波长处的电场分布图。 当金属薄膜M1厚度为35 nm时, 对应两OTS的本征波长失谐量为0, 从图7(b)中可以看出, 此时能隧穿到DBR-M2交界面处的电场最强, 即光的隧穿效应最强, 隧穿几率为39.3%。 当金属薄膜M1厚度分别为50和60 nm时, 对应两OTS的本征波长失谐量为3和4 nm, 从图7(c)和(d)中可以看出, 随着两OTS本征波长失谐量的增大, 能隧穿到DBR-M2交界面处的电场随之减弱, 光隧穿几率分别为24.7%和22.8%。 当金属薄膜M1厚度为20 nm时, 对应两OTS的本征波长失谐量为12 nm, 从图7(a)中可以看出, 此时光几乎无法隧穿到DBR-M2交界面处, 即几乎不存在光的隧穿现象。
当金属薄膜M1厚度较小(如20 nm)时, 光从金属薄膜一侧入射, 大部分可以穿透金属层, 在M1-DBR交界面处不能形成有效局域, 对应OTS本征波长处的反射率较大; 随着金属薄膜M1厚度增加至35 nm时, 在两个M-DBR交界面处都形成高强度局域, 导致反射率减小; 金属薄膜M1厚度进一步增大, 金属薄膜对光的吸收增大, 光传播到金属-DBR交界面的能量减少。 因此, 随着金属薄膜M1厚度增大, 反射光谱中凹峰的反射率先减小后增大; 当两金属薄膜厚度相等, 两OTS本征波长失谐量为零时, 凹峰反射率最小, 如图6所示。
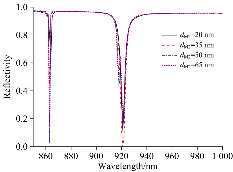
当金属薄膜M2厚度分别为20, 35, 50和65 nm, 金属薄膜M1厚度为35 nm时, 图8为光垂直入射到M1-DBR-M2的反射光谱。 由于光垂直入射到M1-DBR-M2中反射光谱的凹峰只与M1-DBR有关, 而与DBR-M2无关, 因此反射光谱中出现一个反射凹峰, 对应的本征波长等于M1-DBR的本征波长921 nm, 不随金属薄膜M2厚度改变而改变, 如图8所示。
| 图8 不同金属薄膜M2厚度下, 光垂直入射到M1-DBR-M2中的反射光谱Fig.8 Reflection spectra of light incident vertically into the M1-DBR-M2 at different thicknesses of M2 |
图9为金属薄膜M2厚度分别为20, 35, 50和65 nm, 金属薄膜M1厚度为35 nm时, 对应OTS本征波长处的电场分布图。 虽然金属薄膜M2厚度改变时, OTS的本征波长相同, 但本征波长的电场分布并不相同。 如图9所示, 与金属薄膜M1厚度对本征波长的电场分布的影响类似, 当金属薄膜M2厚度为35 nm时, 对应两OTS的本征波长失谐量为0, 光隧穿效应最强, 隧穿几率为39.3%。 当金属薄膜M2厚度分别为50和60 nm时, 对应两OTS的本征波长失谐量为3和4 nm, 随着两OTS的本征波长失谐量的增大, 光隧穿效应随之减弱, 隧穿几率分别为32%和29.8%。 当金属薄膜M1厚度为20 nm时, 对应两OTS的本征波长失谐量为12 nm, 光隧穿效应消失。
从图9中可以看出, 光在M1-DBR-M2结构中局域的强弱与两OTS本征波长失谐量有关。 随着两OTS的本征波长失谐量的减小, 光在M1-DBR-M2结构中的局域现象随之增强, 导致反射光谱中凹峰处的反射率减小。 所以, 当金属薄膜M2厚度为35 nm时, 反射凹峰的反射率最小, 如图8所示。
针对M1-DBR-M2结构中两OTS发生弱耦合情况, 通过研究反射光谱和OTS本征波长电场分布, 揭示了弱耦合情况下的OTS和光隧穿效应。 研究结果表明: 光垂直入射到M1-DBR-M2结构中, 当发生弱耦合时, 由于只能激发M1-DBR交界面处的OTS1, 而不能激发DBR-M2交界面处OTS2, 因此金属薄膜M2的厚度对OTS的本征波长没影响, 而改变金属薄膜M1的厚度可以改变OTS的本征波长, 随着金属薄膜M1厚度的增大, OTS本征波长发生蓝移。 虽然光只能激发M1-DBR交界面处的OTS1, 但电场局域现象并不仅仅发生在M1-DBR交界面处, 在DBR-M2交界面处也存在电场局域现象, 即存在光的隧穿现象。 M1-DBR和DBR-M2交界面处形成的OTS的本征波长失谐量的大小, 影响了光隧穿到DBR-M2交界面处的强弱, 也影响了光在M1-DBR-M2中局域现象的强弱。 两OTS的本征波长失谐量越小, 光的隧穿效应越强, 光在M1-DBR-M2结构中的局域现象越强, 导致反射光谱中凹峰处的反射率越小。 随着光入射角度的增大, OTS的本征波长发生蓝移, 光隧穿效应减弱, 凹峰的反射率随之增大。
| [1] |
|
| [2] |
|
| [3] |
|
| [4] |
|
| [5] |
|
| [6] |
|
| [7] |
|
| [8] |
|
| [9] |
|
| [10] |
|
| [11] |
|
| [12] |
|
| [13] |
|
| [14] |
|
| [15] |
|
| [16] |
|
| [17] |
|

