作者简介: 高 坤, 1978年生, 滨州学院航空工程学院副教授 e-mail: gk-79@163.com
臭氧作为一种强氧化剂和杀菌剂, 在污染物降解, 食品加工, 杀菌消毒, 医疗卫生等方面有着非常广泛的应用。 大气压介质阻挡放电是一种极为高效的产生臭氧的方法, 利用平行平板介质阻挡放电装置, 采用交流高压激励, 产生了大气压空气非平衡态等离子体。 通过测量其电压和发光信号, 发现在电压的正、 负半周期均存在着许多随机的放电脉冲, 并且其脉宽均在几十到几百纳秒之间, 这表明其机制是流光放电。 放电的光学发射谱包含氮分子的第二正带系( C3 Π-B3 Π)和第一正带系( B3 П-A3 П), 氮分子离子的第一负带系( B2 Σ-X2 Σ), 以及氧原子谱线(715.7和799.5 nm)。 由于流光放电在紫外区域(200~300 nm)没有明显的发射谱线, 但臭氧在此区域存在吸收峰, 因此可以利用此区域的紫外吸收光谱测量放电产生的臭氧浓度。 吸收光谱法可以有效的监测其臭氧浓度的变化情况, 其优势在于操作简单, 对实验环境要求低, 可在放电条件下使用, 并且可以连续监测臭氧浓度变化。 基于此, 通过Beer-Lambert定律计算了臭氧浓度随实验参数的变化, 结果发现随外加电压幅值和驱动频率的增加, 臭氧浓度升高。 这些结果对于大气压介质阻挡放电的工业应用具有重要价值。
As a strong oxidant and bactericide, oxygen has great potentials in various applications, such as pollutant degradation, food processing, sterilization, and medical services. Atmospheric pressure dielectric barrier discharge (DBD) is an extremely efficient method of generating ozone. DBD is generated in atmospheric pressure air between two parallel-plate electrodes excited by alternating current voltage. Waveforms of applied voltage and light emission are measured by optical and electrical methods. It can be found that the light emission presents lots of narrow pulses, which distribute stochastically in every half cycle of applied voltage. These narrow pulses only sustain about several tens ns to several hundred ns, which indicates that barrier discharge in atmospheric pressure air belongs to a streamer regime. Based on 200 and 900 nm scanned optical spectrum emitted from the discharge, the emissions mainly include those from the second positive system of the nitrogen molecule ( C3 Π-B3 Π), the first negative system of the nitrogen molecular ion ( B2 Σ-X2 Σ), the first positive system of the nitrogen molecule ( B3 П-A3 П), and oxygen atomic (OⅠ: 715.7 nm, 799.5 nm). Moreover, no emission line is observed between 200 nm and 300 nm (ultraviolet (UV) region). Due to a strong absorption peak in this UV region, absorption spectrum in UV region between 230 and 300 nm can be used to obtain the ozone density. In doing so, UV lamp irradiates the plasma area from one side of the discharge region, and transmitted light is received by the spectrometer on the other side. Absorption spectra are measured when DBD is on and off. Absorption spectroscopy can effectively monitor the change of ozone concentration. Its advantages are simple operation, low requirements on the experimental environment, being able to be used under discharge conditions, and continuous monitoring of ozone concentration changes. Ozone concentration is calculated as a function of peak voltage and driving frequency based on Beer-Lambert’s law. It is found that ozone concentration increases with increasing peak voltage or driving frequency. These results are of great significance to industrial application of dielectric barrier discharge at atmospheric pressure.
臭氧作为一种强氧化剂和杀菌剂, 在污染物降解[1], 食品加工[2], 杀菌消毒[3], 医疗卫生[4]等方面有着非常广泛的应用。
目前主要有三类测量臭氧浓度的方法。 第一类是传统的化学方法, 基于臭氧的氧化还原反应。 Saoud等利用碘量法测量了介质阻挡放电(DBD)等离子体反应器产生的臭氧浓度, 并用于降解丁醛[5]。 Ö nnby等在研究海水中溶解有机质含量时, 利用靛蓝法测定了溶液中的臭氧浓度[6]。 化学方法测量臭氧浓度通常需要一定的反应时间, 因此不能实现连续监测臭氧浓度。 此外, 它的反应过程也很复杂, 使得该方法的使用受到限制。 第二类是利用传感器测定臭氧浓度。 Chien等制备出ZnO臭氧传感器, 研究了2.5 ppm臭氧浓度下传感器的响应时间和恢复时间[7]。 Le等研制了一种液体芯导波传感器, 用于连续监测水中痕量的臭氧浓度[8]。 传感器方法对实验环境要求比较苛刻, 一般不可以在电磁环境(如气体放电)下使用。 第三类是利用吸收光谱法测量臭氧浓度。 Keeffe等利用该方法, 发现紫外及可见光区域的吸收光谱均可测量臭氧浓度[9]。 Sousa等利用紫外吸收光谱, 测量了微空心阴极放电下游的臭氧浓度[10]。 吸收光谱法操作简单, 对实验环境要求低, 可在放电条件下使用, 并且可以连续监测臭氧浓度变化。
DBD是大气压下产生低温等离子体的常用技术手段[11, 12, 13], 已经用于产生臭氧[14]。 DBD产生臭氧是一种极为高效的方法。 而吸收光谱法可在放电条件下使用, 并能连续监测臭氧浓度变化。 因此, 利用吸收光谱法测量DBD臭氧浓度, 尤其研究臭氧浓度随实验参数的变化规律对生产和生活具有重要意义。
针对于此, 本工作利用平行平板DBD装置, 采用吸收光谱法测量了臭氧浓度随实验参数的变化。
图1是实验装置图。 内径为30 mm的两个圆筒对称放置(内装满水), 其两端分别覆盖厚度为0.5 mm的正方形石英板(边长50 mm)。 两个电极间气隙是0.3 mm。 该DBD装置放置在开放的空气环境中。 其中一个电极连接交流电源高压端(Suman CTP-2000k), 另一个电极接地。 利用高压探头(Tektronix P6015A)测量两个电极间的电压(Vp)。 利用光电倍增管(ET 9085SB)采集放电区域的光信号。 紫外光源(LLS-LED 3186)发出的光经过光纤和准直镜后入射放电区域, 其出射光经另一个准直镜收集后, 通过光纤传输到光谱仪(ACTON SP-2758)。
当外加电压峰值(Vp)增大到一定值时, 两个电极间的区域击穿, 产生等离子体。 这种情况下的电压和发光信号波形如图2所示, 当Vp为7 kV, 驱动频率(f)为3 kHz时, 电压正负半周期均随机出现多个脉宽非常窄的脉冲, 其脉冲宽度在几十纳秒到几百纳秒之间。 这样的发光脉冲表明放电的演化非常快, 是流光放电机制的典型特征[15]。 因此, 该大气压DBD是流光放电机制, 在此机制下放电通常表现为一些随机分布的放电丝。
| 图2 电压与光信号的波形图(Vp=7 kV, f=3 kHz)Fig.2 Waveforms of voltage and light emission (Vp is 7 kV, f is 3 kHz) |
图3给出了200~900 nm的放电发射光谱, 其放电条件与图2的条件相同。 由于工作气体是空气, 因此发射光谱中可以观察到明显的氮分子第二正带系(C3П -B3П ), 氮分子离子第一负带系(B2Σ -X2Σ ), 和氮分子第一正带系(B3П -A3П )。 除了这些分子带系, 光谱中还包含原子谱线O Ⅰ (715.7和799.5 nm)。[16, 17, 18]。 由于放电区域存在氧原子, 它在大气压下可以通过三体碰撞过程产生臭氧
可见, 氧原子对臭氧的生成具有决定性作用。 此外, 图3中200~300 nm区域(UV区域)没有明显的发射谱线, 因此可以用此区域的吸收光谱法来测定臭氧浓度, 这样不会由于放电本身的发光影响测量结果。
原子或分子从基态跃迁至激发态时会吸收光子, 因此某些特定频率的光就会被吸收, 并且分子的吸收峰比原子的宽很多。 研究已经发现臭氧在UV区有很高的吸收峰[9]。 因此, 可以利用UV区域的吸收光谱来计算臭氧浓度。 按照Beer-Lambert’ s定律可得到臭氧浓度
其中, ε 是摩尔吸收系数, L表示放电区域的直径, I0表示入射光强度, I表示出射光强度。
图4给出了有无DBD时, 光谱仪探测到的出射光强度。 如图4所示, 放电运行后, 放电区域会产生臭氧, 进而吸收UV光, 使其光强度降低。 由于臭氧在261 nm处有最强的吸收峰(吸收截面σ 261为1.094× 10-17 cm2), c的单位为mol· dm-3, L单位应为dm
则臭氧浓度可表示为
用此公式算出的臭氧浓度单位是mg· L-1。
| 图4 紫外灯的发光信号经过放电区域后的光谱 放电条件: Vp=7 kV, f=3 kHzFig.4 Spectrum of UV emission after transmitting through the discharge gap DBD on corresponds to Vp=7 kV and f=3 kHz |
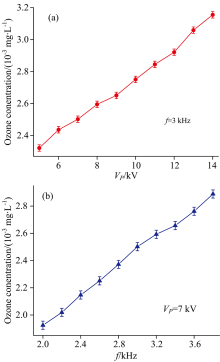
图5(a)表示在f为3 kHz时, 臭氧浓度随Vp的变化情况。 图5(b)表示Vp为7 kV时, 臭氧浓度随f的变化情况。 从图5可以看出, 随着Vp的增加, 臭氧浓度从2.3× 10-3 mg· L-1增加到3.2× 10-3 mg· L-1。 随着f的增加, 臭氧浓度从1.9× 10-3 mg· L-1增加到2.9× 10-3 mg· L-1。 臭氧浓度随着电压峰值和驱动频率的增加而升高是由于, 随着Vp或f的增加, 单位时间内的放电次数增加, 假设每次放电产生的氧原子数量相同, 则单位时间内产生的氧原子数量会随着Vp或f的增加增多。 氧原子数量的增加将使得产生的臭氧数量增多, 因此, 臭氧浓度会随着Vp及f的增加而升高。
利用平行平板DBD装置, 在大气压空气环境下产生了非平衡态等离子体。 利用高压探头及光电倍增管测量其电压及发光信号, 发现在电压正、 负半周期存在许多随机脉冲, 其脉宽在几十到几百纳秒之间。 这说明放电为流光机制。 通过采集等离子体的发射光谱, 可以发现放电区域有氧原子存在, 且UV区域无发射谱线。 通过UV灯照射放电区域, 测量了无放电时出射光的光谱, 由于臭氧在UV区域有很强的吸收峰, 发现有放电时出射光的光谱强度要低于无放电时的光谱强度。 因此, 利用臭氧在此区域的吸收, 根据Beer-Lambert定律计算了臭氧浓度, 并研究了臭氧浓度随电压峰值和驱动频率的变化情况, 发现随电压峰值和驱动频率的增加臭氧浓度升高。
| [1] |
|
| [2] |
|
| [3] |
|
| [4] |
|
| [5] |
|
| [6] |
|
| [7] |
|
| [8] |
|
| [9] |
|
| [10] |
|
| [11] |
|
| [12] |
|
| [13] |
|
| [14] |
|
| [15] |
|
| [16] |
|
| [17] |
|
| [18] |
|

