作者简介: 刘蔚怡, 1997年生, 北京化工大学化学工程学院硕士研究生 e-mail: liuweiyi0402@163.com
水系沉积物中重金属元素的生态风险评价对流域重金属的污染程度和迁移转化规律等研究具有十分重要的意义。 北运河是京津冀地区重要的纳污河道, 全流域重金属的分布特征和生态风险尚不清楚。 为全面了解北运河全流域沉积物中重金属的赋存水平, 该研究在上、 中、 下游共选取17个国控及省控断面采集表层沉积物。 使用王水提取-水浴消解以及连续提取法对沉积物样品进行前处理, 电感耦合等离子体发射光谱法(ICP-OES)同时测定As, Cd, Cr, Cu, Mn, Ni, Pb和Zn八种元素的含量及形态, 并对其进行生态风险评价。 结果表明, 北运河表层沉积物中重金属平均含量为Mn>Pb>Zn>Cu>Cr>Ni>Cd>As。 重金属元素Pb, Zn和Cu平均含量高于背景值, 其中Pb元素平均含量为背景值4倍以上。 不同重金属空间变化差异性较大, 中下游含量相对较高。 通过形态分析发现, Cd和Zn元素的形态以酸可溶态和可还原态为主, 生物活性较强, 对环境危害较大; As, Mn, Cr, Cu, Ni和Pb元素的形态以可氧化态和残渣态为主, 生物活性较弱, 对环境危害较小。 地质累积指数( Igeo)表明重金属外源污染严重, Pb( Igeo=2.24)污染水平较重, Cu( Igeo=1.44)和Cd( Igeo=1.45)污染水平中等, Zn( Igeo=0.99)污染水平较轻, 其他元素均处于无污染水平。 潜在生态风险指数表明, 北运河流域表层沉积物重金属的综合生态风险较低, 仅有Cd元素的存在使北运河具有中等风险, 其他元素均未给北运河带来风险(低风险)。 主成分分析表明北运河流域表层沉积物重金属主要来源于农药和化肥的不合理使用、 大气沉降以及工业与交通的排放。 与我国其他典型流域相比, 北运河流域表层沉积物重金属含量相对较低, 这主要归因于近些年来京津冀地区产业结构调整、 大气污染控制以及河道修复工作的有效实施, 该研究可为后续北运河治理和管理提供数据支持。
The ecological risk assessments of heavy metal in river sediments is of great significance to study heavy metals pollution level, migration and transformation. The North Canal is an important sink in the Beijing-Tianjin-Hebei region, but the distribution characteristics and ecological risk assessments in the whole river are less known. In order to survey the occurrence of heavy metals in the sediments of the whole basin, 17 national and provincial control sections were selected from the upper, middle and lower reaches of the North Canal. Sediment samples were pretreated by aqua regia extraction, water bath digestion and BCR extraction. The contents of As, Cd, Cr, Cu, Mn, Ni, Pb, and Zn were measured by inductively coupled plasma emission spectroscopy (ICP-OES). The results indicated that the average content of heavy metals in the surface sediments declined as the following order Mn, Pb, Zn, Cu, Cr, Ni, Cd, As. The contents of Pb, Zn and Cu were higher than background values. It is noteworthy that the average value of Pb was 4 times more than their background value. Moreover, the values of different heavy metals varied significantly with the spatial reaches, and the contents in middle and lower reaches are relatively high. The metal speciation analysis indicated that Cd and Zn in the sediments were dominated by acid soluble and reducible species, and have high mobility and bioavailability. While As, Cr, Cu, Mn, Ni and Pb in the sediments were dominated by oxidizable and residual species, and have weak biological activities and pose little harm to the environment. The geological accumulative index ( Igeo) indicates that anthropogenic sources mainly contaminated the surface sediments of heavy metals. Pb ( Igeo=2.24) reaches the level of moderately to heavily polluted, Cu ( Igeo=1.44) and Cr ( Igeo=1.45) reaches the level of moderately polluted, Zn ( Igeo=0.99) reaches the level of unpolluted to moderately polluted. The calculated values of Igeo for As, Cr, Mn and Ni were less than 0, indicating that As, Cr, Mn and Ni are all at practically unpolluted levels. The potential ecological risk index (PERI) indicated that the comprehensive ecological risk of the surface sediments was generally focused on Cd. The principal component analysis showed that the heavy metals in the surface sediments mainly originated from the discharge of industry and traffic, the unreasonable use of chemical fertilizers and atmospheric precipitation. Compared with other main rivers in China, the North Canal has lower heavy metal content in sediments. These results highlighted the effectiveness of remediation strategy in Beijing, Tianjin and Hebei, which has effectively reduced the risk of heavy metals in the North Canal and will provide important information for the management of the North Canal pollution control.
重金属进入环境后因具有持久性、 生物蓄积性和高毒性等特点而备受关注。 随着工业矿物的开采、 农业化肥的使用以及日益增加的交通问题, 越来越多的重金属污染物进入水体并富集到沉积物中[1]。 对水系沉积物中重金属元素进行生态风险评价对掌握流域重金属的污染程度和迁移转化规律等具有十分重要的意义。 电感耦合等离子体发射光谱法(ICP-OES)具有灵敏度高、 分析速度快、 准确性好且能同时测定多元素等优点而被广泛应用于重金属含量的测定[2, 3, 4]。
在京津冀一体化战略的推动下, 京津冀地区将成为城市快速发展地区。 北运河流域作为京津冀重要的纳污河道, 承接多个污水处理厂的退水, 特别是位于北运河中游的城市副中心通州, 河道污染已经成为制约其发展的重要因素, 污染防治及源头管控迫在眉睫。 前人对北运河流域部分河段进行研究, 但是对于北运河全流域的系统研究尚少。 Huang等[2]采用ICP-OES对凉水河表层沉积物中Ni, Cr, Cu和Pb元素的研究表明, 凉水河表层沉积物重金属中Cu元素含量最高; Wang等[3]采用ICP-OES对温榆河沉积物中Cd, As, Mn和Pb元素的结果表明温榆河表层沉积物重金属中Zn元素含量最高; 丁淮剑等[4]于2009年对北运河北京段表层沉积物的研究表明, 重金属含量较高且存在较大的生态风险。
近年来, 在国家水污染防治专项资金的支持下, 北运河流域开展了大量的水体修复工作, 但修复工作对全流域水环境的影响尚不清楚。 本研究系统开展了北运河全流域表层沉积物重金属含量、 形态、 风险及来源的分析, 旨在采用光谱法探究: (1)北运河沉积物中重金属含量及污染程度; (2)不同重金属的生态风险; (3)重金属的污染来源。 本文确定了主要污染物、 污染地段以及污染来源, 为后续北运河治理和管理提供数据和技术支持。
北运河隶属海河流域, 起源于北京燕山, 流经北京市、 河北省、 天津市后汇入海河, 全长142.7 km, 流域总面积为6 166 km2。 流域内相对湿度约为60%, 年蒸发量平均为1 815.5 mm, 年平均降水量为611 mm, 且全年降水量集中在6月— 9月[5]。
在北运河全流域选取17个代表性点位, 其中包括上游位点6个、 中游位点7个、 下游位点4个, 共涵盖北京、 天津及河北三个省级行政区, 点位分布见图1。 采用掘式采样器采集表层沉积物, 带回实验室后去除枝叶、 石子等杂质, 冷冻干燥、 研磨、 过100目筛后备用。
重金属含量的测定在《土壤和沉积物12种金属元素的测定 王水提取-电感耦合等离子体质谱法》(HJ 803— 2016)的基础上进行改进, 采用王水提取-水浴消解, 消解后得到的上清液使用ICP-OES(Optima 5300DV, Perkin Elmer , USA)进行测定。
重金属形态采用BCR连续提取法, 将重金属分为: 弱酸可提取态、 可还原态、 可氧化态和残渣态四种形态[5]。 沉积物经分步提取后得到的上清液使用ICP-OES进行测定。
地质累积指数(Igeo)是德国科学家Muller于1969年提出的衡量土壤与沉积物中重金属污染程度的指标, 计算公式如式(1)
式(1)中, Igeo为地质累积指数; ci为沉积物中重金属i的浓度; Bm为m地区的土壤算术平均值。 计算所得Igeo值小于0为无污染; 0— 1为轻微污染; 1— 2为中度污染; 2— 3为较重污染; 3— 4为重度污染; 4— 5为严重污染; 大于5为极度污染。
潜在生态风险指数(PERI)是瑞典科学家Hakanson于1980年提出的元素丰度与污染物共同作用的指标[7], 引入了毒性系数, 该方法能表征多种元素的综合风险, 如式(2)
式中, Ei为第i种元素的潜在生态风险指数; Ti为第i种元素的毒性系数; Ri为多种重金属的潜在生态风险指数。 计算所得Ei和Ri值可用来判断风险等级, Ei小于40为低风险; 40— 80为中等风险; 80— 160为较高风险; 大于160为高风险。 Ri小于150为低风险; 150— 300为中等风险; 300— 600为较高风险; 大于600为高风险。
重金属源解析使用主成分分析法(PCA)。 使用SPSS 24将具有一定相关性的多个变量, 通过统计学分析手段把多指标合成几个互不相关的综合指标(即主成分), 从而将不同重金属的来源进行分类, 并探究其主要来源[5]。
各采样点重金属元素含量的测定结果如图2所示。 从图中看出, 重金属含量顺序为: Mn> Pb> Zn> Cu> Cr> Ni> Cd> As。 Pb, Zn和Cu元素高于背景值, 表明有外源输入, 平均含量分别为107.50, 109.30和33.97 mg· kg-1, 其中Pb元素平均含量为背景值4倍以上。 Cr, Ni, Cd, As和Mn元素平均含量低于背景值, 无外源输入, 各元素的平均含量分别为28.85, 15.43, 0.04, 0.92和333.85 mg· kg-1。 从采样点分布来看, LGH和ZHG点位重金属含量较高, 可能是由于附近纸箱厂、 玻璃加工厂、 涂料厂、 五金厂等造成的污染。
北运河全流域的重金属含量分布情况如图3所示。 从图3(a— f)看出, Pb, Zn, Cu, Cr, Ni, Cd六种元素呈现中游> 下游> 上游的趋势, 图3(g)中的As元素呈现下游> 中游> 上游的趋势。 主要由于北运河中游大兴、 通州段作为农业区、 工业区以及居民区的集中地, 下游河北廊坊、 天津武清段处于居民区, 外源污染严重, 且存在多年来的上游冲刷、 中下游积累和富集的情况。 与此同时, 北运河中下游清淤工作尚未结束, 存在多年积累, 且上游来水会在中下游进行富集, 所以重金属含量较高。 图3(h)可以看出Mn元素在北运河全流域无明显差别, 均超出背景值。
| 图3 北运河上中下游重金属元素含量对比Fig.3 Comparison of heavy metals in upper, middle and lower reaches in the North Canal |
如表1所示, 与2009年北运河北京段[4]沉积物中重金属的数据相比, 除Pb外, 其他重金属含量均明显减少。 与我国其他重要流域沉积物相比[7, 8, 9, 10, 11], 北运河沉积物中Pb较高, 这可能是由于京津冀地区密集的交通排放Pb金属造成的; 其他元素相对含量较低, 这主要是由于北运河流域产业结构调整后工业园区搬迁减少和水体修复河道清淤的贡献。
| 表1 不同地区河流重金属含量对比(mg· kg-1) Table 1 Comparison of heavy metal contents in sediments of different rivers(mg· kg-1) |
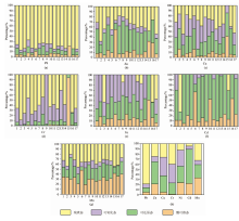
重金属形态分析结果如图4所示, 重金属不同形态的占比体现了各元素生物活性的大小, 间接地体现了各元素对环境的危害。 当重金属酸可溶态和可还原态占比较高时, 容易释放造成水体二次污染, 而可氧化态和残渣态占比较高时, 重金属不易受环境影响。
| 图4 北运河沉积物重金属元素形态分析Fig.4 Heavy metal contents of each speciation in surface sediments of the North Canal |
由图4(a— h)可看出, 同一金属在不同点位的形态规律大致相同, 四种形态的分布大致相同。 由图4(h)可看出各元素酸可溶态比例顺序为Mn> Ni> Cd> Zn> Cu> Pb> Cr, Mn元素酸可溶态占比最高, 在30%以上。 当重金属处于酸可溶态时, 生物活性较强, 容易释放。 各元素可还原态比例顺序为Cd> Zn> Cu> Ni> Mn> Cr> Pb, Cd元素可还原态最高可达68%, Zn次之。 该形态的Cd和Zn元素在水体氧化还原电位降低或水体缺氧时容易释放进入水体。 可氧化态中, Cu, Cr和Ni元素占比较高, 均大于30%, 其他元素占比较小, 该形态的Cu, Cr和Ni元素在强氧化条件下可以释放到水体中。 Pb元素残渣态占比79%, 说明其不易释放到水体中。 As元素在检出的样品中, 均以残渣态为主, 生物活性较小, 相对稳定。 形态分析表明北运河表层沉积物中Cd和Zn元素生物活性较强, 易发生迁移和转化, 对水体造成二次污染。
Igeo计算结果如图5所示, 各元素污染程度顺序为Pb> Cu> Zn> Cd> Ni> Cr> Mn> As。 Pb元素的Igeo较高, 在23.5%的点位处于较重污染水平, 其中CXC点的Igeo值达2.24; 64.7%的点位处于中度污染水平。 Cu元素在11.7%的点位处于中度污染水平, 其中XTH点的Igeo值达1.44。 Cd元素在5.9%的点位处于中度污染水平, 其中XTH点的Igeo值达1.45。 Zn元素在23.5%的点位处于轻微污染水平; 其他元素均处于无污染水平。 由此亦可说明北运河中下游污染程度严重。
| 图5 北运河表层沉积物中重金属地质累积指数(Igeo)Fig.5 Heavy metals geologic accumulation index (Igeo) in surface sediments in the North Canal |
PERI评价结果如表2所示, Cd元素的存在为北运河带来中等风险, 其他元素的存在仅为北运河带来低风险。 综合生态风险指数Ri表明所有点位均处于低风险, 说明北运河表层沉积物重金属综合污染较低。
| 表2 北运河沉积物重金属潜在生态风险指数(PERI) Table 2 Potential ecological risk index (PERI) of heavy metals in the North Canal |
与我国其他重要流域沉积物中重金属的生态风险进行比较发现(如图6), 北运河流域表层沉积物中重金属的Igeo与PERI均相对较低, 说明北运河表层沉积物中重金属虽存在一定污染但风险较低, 主要归功于近些年来京津冀地区的产业结构调整和北运河流域开展的水体修复、 底泥疏浚等水环境治理工作。
北运河表层沉积物中重金属含量的主成分分析结果如图7所示。 重金属来源主要由F1与F2两个成分组成, 贡献率分别为54.8%和26.1%, 表现出相关性的不同元素的来源大致相同。 Cu, Ni, Zn, Cr和Cd元素显著相关, 属于F1成分, 说明主要来自农业源, 例如磷肥、 氮肥和有机肥料的施用以及杀虫剂和杀菌剂的使用[12]。 研究表明, 磷肥中含有较高的Cd元素, 杀虫剂和杀菌剂中含有较高的Cu元素[13]。 Pb, As和Mn元素显著相关, 属于F2成分, 说明主要来源于大气沉降、 交通及工业排放[14]。 总体来说, 北运河表层沉积物中重金属主要来源分别为农药和化肥的不合理使用、 大气沉降以及工业与交通的排放。
(1)北运河表层沉积物重金属含量较高, 不同重金属含量差别较大, 其中Pb, Zn, Cu和Cd元素存在外源污染, 主要来源于农药和化肥的不合理使用、 大气沉降以及工业与交通的排放。 Mn, Cd和Zn生物活性较高, 易对水体造成二次污染。
(2)不同重金属空间变化差异性较大, 中下游沉积物中重金属含量较高。 与十年前相比, 北运河沉积物中重金属的含量及生态风险呈下降趋势; 与我国其他典型流域相比, 北运河表层沉积物重金属含量及风险相对较低。 这表明近些年北运河流域的产业结构调整与水环境修复工作效果显著, 并为后续北运河乃至其他流域的治理提供思路。
| [1] |
|
| [2] |
|
| [3] |
|
| [4] |
|
| [5] |
|
| [6] |
|
| [7] |
|
| [8] |
|
| [9] |
|
| [10] |
|
| [11] |
|
| [12] |
|
| [13] |
|
| [14] |
|

