作者简介: 陈珠灵, 女, 1967年生, 福州大学化学学院高级实验师 e-mail: czl67@fzu.eu.cn
石墨相氮化碳(g-C3N4)荧光纳米材料具有原料便宜、 制备容易、 荧光量子产率高、 光学稳定性好、 毒性低等优点, 并且避免有机荧光染料复杂的合成步骤或者金属半导体量子点对环境潜在的危害, 这些优点使得g-C3N4纳米材料成为新兴的荧光探针用于检测金属离子。 最近, 已有文献报道重金属汞离子能够高灵敏高选择性地猝灭g-C3N4量子点的荧光, 加入碘离子能够提取被键合的汞离子形成碘化汞(HgI2)进而恢复g-C3N4量子点的荧光, 从而建立一种高灵敏检测碘离子的荧光传感器。 然而, 该方法依然需要重金属汞离子的参与, 限制了该方法的推广应用。 通过硝酸氧化块体g-C3N4并结合水热法处理制备了一种水溶性好、 荧光强度高的g-C3N4量子点。 该量子点的荧光发射波长位于368 nm, 且其荧光发射波长不随激发波长的改变而改变, 表明该量子点的尺寸比较均一。 笔者发现碘离子在220 nm处有一个较强的吸收峰, 与该量子点的激发光谱(中心波长245 nm)具有较大的重叠, 从而产生内滤效应引起该量子点的荧光发生猝灭。 利用这一性质, 构建了一种选择性检测碘离子的新型荧光传感器。 在最优检测条件下, g-C3N4量子点的荧光猝灭强度(Δ F)与碘离子浓度( X, μmol·L-1)在10~400 μmol·L-1之间具有良好的线性关系, 线性方程为Δ F=0.325 79 X+6.039 05( R2=0.999 5), 检出限为5.0 μmol·L-1。 通过“混合即检测”并且不需要借助与重金属离子的配位作用就能够检测碘离子, 因此该方法具有快速、 环保以及操作简便等优点。
Iodine is one of essential trace elements. Deficiency of iodine and excess intake of iodine both can lead to thyroid diseases. Therefore, it is of great significance to develop a highly sensitive and selective method for the detection of iodine ions. Traditional analytical methods for iodine ions are usually involved in complex sample pretreatment and precision instruments, which are unfavorable for in-situ rapid detection. Fluorescent methods have been attracted great attentions due to their high sensitivity, high selectivity and easy operation. However, the present probes for iodine ions usually need complex organic syntheses and iodine ions are detected by means of coordination with heavy metal ions, which are unfavorable to promote the use of these methods. Fluorescent graphitic carbon nitride (g-C3N4) nanomaterial has attracted more attention due to the advatages of low-cost, easy preparation, high quantum yield, excellent photostability, and low toxicity. Furthermore, these nanomaterials can avoid complex synthesis for organic fluorophores or potential damage to environment for metal semiconductor quantum dots. These features make g-C3N4 nanomaterial an emerging fluorescent probe for the detection of metal ions. Recently, it was reported that Hg2+ ions could selectively and sensitively quench the fluorescence of g-C3N4 quantum dots (QDs). The addition of iodine ions could abstract the bound Hg2+ ions to form HgI2 complexes and restored the fluorescence of g-C3N4 QDs. Therefore, the fluorescent sensor for iodine ions could be developed. However, heavy metal ions (Hg2+) are also involved in this method, which limits its application. In this work, water-soluble g-C3N4 QDs with high fluorescence emission were prepared by using chemical oxidation of bulk g-C3N4 in nitric acid and hydro-thermal treatment. The maximal emission wavelength of g-C3N4 QDs located at 368 nm and did not change with the excitation wavelength, which indicates the size of g-C3N4 QDs is relatively uniform. There was a strong absorption peak at around 220 nm for iodine ions, which was overlapped with the fluorescent excitation spectrum of g-C3N4 QDs. On addition of iodine ions, the fluorescence of g-C3N4 QDs was quenched due to the inner filter effect. Therefore, a sensitive and selective fluorescent sensor for iodine ions was developed. Under the optimal conditions, there was a linear relationship between the fluorescence quenching (Δ F) of g-C3N4 QDs and the concentration ( X, μmol·L-1) of iodine ions over the range of 10~400 μmol·L-1. The linear equation is Δ F=0.325 79 X+6.039 05 ( R2=0.999 5). The limit of detection is 5.0 μmol·L-1. The detection of iodine ions can be completed by “mixing and testing” without the need of coordination with heavy metal ions. Thus, this sensor is rapid, environment-friendly, simple and convenient.
碘是人体必需的微量元素之一, 碘的缺乏和过量摄入都会引起甲状腺疾病[1, 2]。 因此, 发展一种高灵敏高选择性的碘离子检测方法具有十分重要意义。 检测碘化物的传统方法有气相色谱-质谱法, 离子色谱法, 毛细管电泳法, 间接原子吸收光谱法等。 然而, 这些方法往往要求复杂的样品前处理和/或高级精密的仪器。
荧光方法由于具有灵敏度高、 选择性好、 操作简单等优点, 人们已经开发了许多检测碘离子的荧光传感器。 这些荧光探针包括荧光基团标记的G-四重体[2]、 苯并咪唑衍生物[3, 4]、 吩噻嗪衍生物[5]、 金纳米簇[6]、 铜纳米簇[7]、 蒽衍生物[8]、 香豆素衍生物[9]以及氧化石墨烯[10]等, 然而这些探针往往需要复杂的有机合成和/或借助于碘离子与重金属的配位作用进行传感, 不利于这些方法的推广使用。
石墨相氮化碳(g-C3N4)是一种类似石墨具有二维结构的半导体聚合物, 由富含氮和碳的前驱体通过高温聚合而成[11, 12]。 与大部分半导体相似, g-C3N4也具有荧光的性质[13, 14]。 g-C3N4纳米材料具有原料便宜、 制备容易、 荧光量子产率高、 光学稳定性好、 毒性低等优点。 据报道, 汞离子能够与g-C3N4量子点结合引起荧光猝灭[15, 16], 加入碘离子能够与汞离子键合形成碘化汞从而恢复g-C3N4量子点的荧光。 基于这一性质, 利用g-C3N4量子点设计了对碘离子检测的传感器[17]。 然而, 在这一方法中不但需要利用有毒的汞离子来猝灭荧光, 而且操作繁琐。 我们课题组利用硝酸氧化块体石墨相氮化碳(g-C3N4)结合水热分解制备了荧光波长在紫外区的水溶性g-C3N4量子点, 利用该量子点设计了一种隐型荧光墨水用于信息的存储、 保护、 通讯[18]。 通过实验, 我们发现碘离子能够直接猝灭该g-C3N4量子点的荧光, 进而发展了一种简便的直接检测碘离子的荧光传感器。
三聚氰胺和三(羟甲基)氨基甲烷(BR, Tris)购于国药集团化学试剂有限公司, 硝酸(AR)购于广东汕头西陇化工厂, 碘化钠(AR)购于上海试剂三厂。 其他试剂均为分析纯试剂, 实验用水为Millipore超纯水系统纯化的超纯水(18.2 MΩ · cm)。
荧光光谱采用Cary Eclipse荧光分光光度计(美国Varian)进行检测, 吸收光谱采用Lamda 750紫外可见-近红外分光光度计(美国Perkin Elmer)进行检测。
称取10 g三聚氰胺, 在管式炉中氮气保护下600 ℃聚合2 h, 得到黄色固体粉末。 称0.3 g固体粉末于100 mL硝酸(5 mol· L-1)中超声1 h后, 加热回流24 h。 冷却后, 用离心机在10 000 r· min-1下离心5 min, 用水洗涤沉淀直至上清液为中性。 将沉淀物分散于70 mL水中, 放入反应釜中200 ℃反应12 h。 自然冷却, 将产物在12 000 r· min-1离心5 min, 收集沉淀, 加入70 mL蒸馏水超声分散4 h, 将超声得到的产物经0.22 μ m滤膜过滤即制得g-C3N4量子点。
取20 μ L g-C3N4量子点(80 μ g· mL-1), 加入180 μ L Tris-HCl缓冲液(50 mmol· L-1, pH 7.0), 再加入200 μ L 不同浓度的碘化钠溶液。 混匀5 min后扫描溶液的荧光光谱, 以368 nm处的荧光变化值(Δ F=F0-F)作定量分析, 其中F0为没有碘离子存在下的荧光强度, F为有碘离子存在下的荧光强度。
从g-C3N4量子点的荧光光谱[图1(a)]可知其最大激发波长为245 nm, 最大发射波长为368 nm。 此外, 随着激发波长的改变, g-C3N4量子点的荧光发射波长基本不变[图1(b)], 表明g-C3N4量子点的尺寸比较均一。
碘离子是一种典型的重原子离子, 它对许多荧光分子具有荧光猝灭作用。 我们试验了碘离子对g-C3N4量子点的荧光猝灭情况, 如图2所示。 随着碘离子浓度的增加, g-C3N4量子点的荧光强度逐渐降低。 为了探究碘离子对g-C3N4量子点的荧光猝灭机理, 我们也测试了碘离子的吸收光谱[图1(a)]。 碘离子在220 nm处有一个较强的吸收峰, 恰好与g-C3N4量子点的激发光谱有较大的重叠, 存在荧光内滤效应, 激发光源发出的激发光被碘离子所吸收, 从而引起g-C3N4量子点的荧光发生猝灭。 碘离子对g-C3N4量子点荧光猝灭的机理如图3所示。
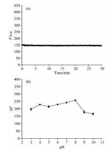
我们考察了反应时间和pH等对体系荧光猝灭的影响, 如图4所示。 实验表明当加入碘离子后, g-C3N4量子点的荧光很快被猝灭并达到稳定值。 在pH 3.0~8.0范围内随着pH的增加, 碘离子对g-C3N4量子点荧光猝灭强度有所增加, 但是当pH超过8.0时, 荧光猝灭效率反而降低。 pH的影响可能与I-以及氮化碳量子点的质子化有关。 我们选择pH 8.0为最佳的pH。
基于碘离子对g-C3N4量子点的荧光猝灭作用, 我们建立了一种直接检测碘离子的荧光传感器。 如图5所示, 在0~10 mmol· L-1范围内, 随着碘离子浓度的增加, g-C3N4的荧光强度逐渐降低。 在368 nm处荧光的猝灭程度(Δ F)与碘离子浓度(X)在10~400 μ mol· L-1范围内具有良好的线性关系, 线性方程为Δ F=0.325 79X+6.039 05(R2=0.999 5), 以3倍信噪比计算该方法对碘离子的检出限为5.0 μ mol· L-1。
我们考察了一些常见的离子对该传感器的干扰情况, 实验结果如图6所示。 浓度为2 mmol· L-1的Na+, K+, Mg2+, Ca2+, S
制备了一种水溶性好、 荧光强度高的g-C3N4量子点, 并且利用内滤效应构建一种检测碘离子的荧光传感器。 通过将碘离子g-C3N4量子点进行混合就可以进行检测, 不需要借助于碘离子与重金属的配位作用, 该方法具有操作简便、 快速以及环保等优点。 此外, 由于g-C3N4量子点具有原料便宜, 合成方法简便, 光学性能稳定等优点, 有利于该方法的推广使用。
| [1] |
|
| [2] |
|
| [3] |
|
| [4] |
|
| [5] |
|
| [6] |
|
| [7] |
|
| [8] |
|
| [9] |
|
| [10] |
|
| [11] |
|
| [12] |
|
| [13] |
|
| [14] |
|
| [15] |
|
| [16] |
|
| [17] |
|
| [18] |
|

