作者简介: 李从虎, 1987年生, 安庆师范大学生命科学学院副教授 e-mail: lch87108@163.com
对胶原分子聚集行为的研究, 不仅能改善其理化特性, 同时也为其在食品、 组织工程和生物医药等领域的应用提供理论指导。 基于胶原分子中苯丙氨酸(Phe)和酪氨酸(Tyr)的内源荧光特性, 采用常规波长、 同步荧光和二维(2D)荧光光谱技术研究了不同浓度和温度下胶原分子的聚集行为。 研究结果表明: (1)在激发波长275 nm条件下, 胶原分子仅在发射波长303 nm处出现了归属于Tyr的特征峰; 选取波长差(Δ λ)为15 nm的同步荧光扫描胶原分子, 发现其在261和282 nm处出现了分别归属于Phe和Tyr的特征峰。 (2)特征峰的荧光强度与胶原浓度呈现良好的线性关系, 表明了基于常规波长和同步荧光光谱技术对胶原定量分析的可行性。 (3)随着胶原浓度的增加, Tyr和Phe的含量逐渐增大, 且胶原分子间距逐渐降低并聚集成纤维束, 使得Tyr和Phe相互靠近并参与形成大量的氢键, 从而导致荧光强度不断增大。 然而随着温度的升高, 荧光基团与溶剂碰撞的猝灭机会增大, 且胶原分子中Tyr和Phe的荧光量子产率逐渐降低, 同时胶原分子动能增大, 其聚集体逐渐松散, 其三股螺旋结构逐渐坍塌, Tyr和Phe参与形成的氢键被破坏, 从而导致荧光强度随温度的升高不断降低。 (4)275 nm常规波长的2D荧光光谱分析表明, 胶原分子在297, 303和310 nm处出现了相关峰, 其中303 nm归属于Tyr, 297 nm归属于胶原分子聚集过程中参与氢键形成的Tyr; 310 nm可能归属于Tyr的激发态, 其不断的蓝移形成稳定的基团, 以便参与氢键的形成, 从而促进了胶原分子的聚集。 以浓度为外扰的基团响应顺序为303 nm>297 nm>310 nm; 以温度为外扰的基团响应顺序为297 nm>310 nm>303 nm。 (5)2D同步荧光光谱分析表明, 随着胶原浓度和温度的升高, Phe均比Tyr优先响应。 综上, 采用常规波长、 同步荧光光谱技术均能较好的研究胶原分子在不同浓度和温度下的聚集行为, 且为胶原的定量分析提供了一种新的方法, 但同步荧光光谱技术可将量子产率较低的Phe显现出来, 体现了其具有窄化谱带和提升分辨率的优点。 此外, 结合2D荧光分析技术, 可进一步研究胶原分子基团的响应顺序。
The aggregation behavior of collagen molecules not only improves its physicochemical characteristics, but also provides theoretical guidance for its application in the fields of food, tissue engineering and biomedicine. In this paper, the aggregation behavior of collagen molecules at various concentrations and temperatures was analyzed by using the conventional wavelength, the synchronization fluorescence and the two-dimensional (2D) fluorescence spectroscopy technology based on the intrinsic fluorescence characteristic of the tyrosine (Tyr) and the phenylalanine (Phe). The results showed that: (1) At the excitation wavelength of 275 nm, the characteristic peak at 303 nm could be found, which was attributed to Tyr. Under the synchronous fluorescence scanning (Δ λ=15 nm), two auto-peaks at 261 and 282 nm could be found, which were mainly assigned to Phe and Tyr, respectively. (2) It could find a good linear relationship between the fluorescence intensity and collagen concentration, indicating the feasibility of the quantitative analysis of collagen based on the conventional wavelength and the synchronous fluorescence spectroscopy. (3) With the increase of collagen concentrations, the amount of Tyr and Phe increased gradually, collagen molecular distance reduced and collagen molecules aggregated into fibrils, then Tyr and Phe were close to each other and participated in forming many hydrogen bonds, which led to the increase of the fluorescence intensity. When the temperature was increased from 10 to 70 ℃, the quenching opportunity between the fluorescence group and solvent increased and the fluorescence quantum yield of Tyr and Phe in collagen molecules decreased. Meanwhile, collagen molecular kinetic energy increased, then the collagen aggregate became loose and the trip-helix structure of collagen was destroyed gradually. Finally, the hydrogen bonds involved by Tyr and Phe were destroyed. Therefore, the fluorescence intensity of collagen decreased with the increase of temperatures. (4) The results of 2D conventional wavelength (275nm) fluorescence spectrum demonstrated that there were three relation peaks, which were located at 297, 303 and 310 nm. The peak at 303 nm was attributed to Tyr; the peak at 297 nm was recognized by Tyr, which participated in the formation of hydrogen bonds. Additionally, the peak at 310 nm might be assigned to an excimer-like species, which exhibited a blue shift to form stable Tyr with the aim of forming hydrogen bonds and then promoted the aggregation of collagen molecules. Finally, concentration-dependent and temperature-dependent 2D conventional wavelength correlation spectroscopy showed that the response order was 303 nm>297 nm>310 nm and 297 nm>310 nm>303 nm, respectively. (5) 2D synchronization fluorescence correlation spectroscopy demonstrated that Phe changed before Tyr. In a word, both the conventional wavelength and the synchronization fluorescence spectroscopy technology can investigate the aggregation behavior of collagen excellently at various concentrations and temperatures, and provide a new method for the quantitative analysis of collagen. Although the quantum yields of Phe is much lower than that of Tyr, the characteristic peak could be found by the synchronization fluorescence spectroscopy technology, demonstrating that the synchronization fluorescence spectroscopy technology has the advantages of narrowing the band and improving resolution. Combined with 2D fluorescence spectroscopy technology, the respond order of groups of collagen molecules can be illustrated further.
胶原是细胞外基质的主要成分, 广泛分布于动物机体的皮肤、 软骨和肌腱等组织中, 对机体起着支撑和保护的作用[1]。 胶原具有良好的生物相容性、 生物降解性和低免疫原性等特点, 使其在组织工程、 生物医药和食品等领域具有重要的应用[2, 3]。 作为一种纤维蛋白, 胶原分子在溶液中会聚集形成纤维束。 然而, 当外界环境条件(如温度、 浓度等)发生变化时, 其分子的聚集行为受到显著影响, 导致其光学性质、 胶体稳定性和机械强度等性质不同程度地改变[4]。 因此, 研究胶原溶液的聚集行为不仅能够显著改善胶原的理化特性, 同时也为胶原的实际生产提供理论指导。
由于蛋白质分子在水溶液中聚集主要是依靠氨基酸残基的疏水相互作用, 因此可以借助荧光光谱技术对蛋白质的疏水性研究表征其聚集行为[5]。 胶原含有Tyr和Phe, 因而可以利用其内源荧光特性研究胶原分子的聚集行为[6]。 Duan等将丝胶与胶原共混, 发现胶原的荧光峰位置由306 nm红移至318 nm, 表明丝胶的引入降低了胶原的聚集程度[7]。 同步荧光扫描技术由于具有灵敏度较高的优点, 因此越来越多的被用来研究蛋白质的聚集行为。 此外, 将一维数据拓展到二维(2D)荧光光谱分析技术, 能够有效的判断不同基团对外扰条件刺激的响应顺序。 通过同步荧光光谱技术, Li等发现甘油则促使胶原聚集体逐渐松散, 且基于2D荧光光谱发现基团的变化顺序为360 nm> 297 nm[8]。
本文以胶原为研究对象, 利用激发波长(λ ex)为275 nm的常规波长和同步荧光光谱技术研究了胶原浓度和温度对其在水溶液中聚集行为的影响。 同时, 采用2D荧光光谱技术分别考察了浓度和温度对胶原分子中基团响应顺序的影响。
牛皮天然胶原: 实验室自提; 超级恒温水浴槽: CH1006, 上海衡平仪器有限公司; 荧光分光光度计: Cary Eclipse, G9800A, 美国Agillent Technology公司。 其他试剂均为分析纯, 购于科龙化工试剂厂。
1.2.1 常规波长荧光光谱
将胶原海绵溶解于0.1 mol· L-1的醋酸溶液中, 得到浓度为0.1~1.0 mg· mL-1的胶原溶液。 4 ℃下静置24 h后, 将样品溶液移至四通石英比色皿中, 常温下恒温10 min, 用荧光分光光度计扫描样品, 考察浓度对胶原分子聚集行为的影响。 此外, 将0.4 mg· mL-1的胶原溶液置于超级恒温水浴槽中在10~70 ℃范围内恒温30 min, 分析各温度下样品的荧光光谱, 考察温度对胶原聚集行为的影响。 常规波长的荧光光谱扫描条件为: 激发波长275 nm, 发射波长285~365 nm, 激发波长和发射波长的狭缝宽度均为5 nm。
1.2.2 同步荧光光谱
将胶原海绵按照上述条件制备不同浓度的溶液, 分别考察不同浓度和温度对胶原溶液同步荧光光谱的影响。 同步荧光光谱的扫描条件为: 波长差为15 nm, 波长扫描范围为235~320 nm, 狭缝宽度为5 nm。
1.2.3 2D荧光光谱分析
以上述胶原分子在激发波长275 nm以及同步荧光光谱的数据为基础, 采用2Dshige(KwanseiGakuin)和Origin8.0软件分别生成胶原分子的2D荧光光谱。
2.1.1 浓度对胶原分子聚集行为的影响
图1为不同浓度胶原分子在λ ex=275 nm时的荧光光谱。 由图可知, 胶原分子在发射波长303 nm处出现了归属于Tyr的特征峰[9]。 随着浓度的增加, 荧光强度不断增大, 表明胶原分子的聚集程度逐渐增大。 这是因为Tyr含量增大, 且胶原分子间距逐渐降低并不断聚集, 导致Tyr参与形成氢键, 最终导致荧光强度不断增大, 表明胶原分自己聚集程度增大[9]。 由图1(b)可知, 胶原在发射波长303 nm的荧光强度与其浓度呈现良好的线性关系, 表明可利用荧光光谱技术在一定浓度范围内对胶原进行定量分析。
| 图1 浓度对胶原分子荧光光谱(a)和荧光强度(b)的影响(λ ex=275 nm)Fig.1 Effect of concentration on the fluorescence spectra (a) and fluorescence intensity (b) of collagen molecules (λ ex=275 nm) |
图2(a)和(b)分别为2D荧光光谱的同步图和异步图, 实线和虚线分别代表正和负的相关信息。 同步图中存在正的自相关峰(303, 303), 异步图中存在异步交叉峰(297, 303), (297, 310)和(303, 310)。 303 nm归属于Tyr[9], 297 nm归属于胶原分子聚集过程中参与形成氢键的Tyr[8]; 310 nm可能归属于Tyr激发态, 其不断的蓝移形成稳定的基团, 使胶原分子不断聚集。 根据图2可知, 所有的同步交叉峰均为正, 而异步交叉峰(297, 303)< 0, (297, 310)> 0, (303, 310)> 0。 根据文献[10], 胶原分子基团的响应顺序为: 303> 297> 310 nm。
| 图2 不同浓度下的二维荧光同步图(a)和异步图(b)(λ ex=275 nm)Fig.2 Synchronous (a) and asynchronous (b) two-dimensional fluorescence spectra of collagen molecules at various concentrations (λ ex=275 nm) |
2.1.2 温度对胶原聚集行为的影响
图3所示为胶原分子在不同温度下的荧光光谱。 由图可知, 胶原荧光强度可分为低温区(10~35 ℃)、 中温区(35~45 ℃)和高温区(45~70 ℃)3个阶段。 低温区, 部分Tyr被包裹在聚集体内; 中温区, 胶原分子聚集体中的疏水区域被破坏, 纤维束逐渐解缠结, Tyr形成氢键的能力降低, 导致荧光强度急剧降低; 高温区, 胶原分子三股螺旋结构坍塌, 氢键大量被破坏, 使得荧光强度继续降低。 同时, 温度的升高影响了荧光基团电子的跃迁, 使其荧光效率降低; 此外, 荧光基团与溶剂分子间的碰撞猝灭概率逐渐增大[11, 12], 这些原因均导致荧光强度的降低。
| 图3 温度对胶原分子荧光光谱(a)和荧光强度(b)的影响(λ ex=275 nm)Fig.3 Effect of temperature on the fluorescence spectra (a) and the fluorescence intensity (b) of collagen molecules (λ ex=275 nm) |
图4(a)和(b)分别为常规波长的2D荧光光谱的同步图和异步图。 由图可知, 同步图中存在正自相关峰(303, 303), 异步图中存在异步交叉峰(297, 303), (297, 310)和(303, 310), 其信号强度分别为正、 正和负。 根据读谱规则[10], 胶原分子基团的响应顺序为: 297> 310> 303 nm。
2.2.1 浓度对胶原分子聚集行为的影响
图5为胶原在0.1~1.0 mg· mL-1的同步荧光光谱。 由图可知, 胶原分子在261和282 nm处出现分别归属于Phe和Tyr特征峰[12], 且强度随胶原浓度增大而增大, 表明聚集程度增加。 可见, Phe虽然荧光强度较低, 但经同步荧光扫描, 分辨率显著提升。 随着胶原浓度增加, Phe和Tyr数量不断增加并参与氢键的形成, 导致其荧光强度增加。 此外, 胶原分子在261和282 nm处的荧光强度与其浓度呈现良好的线性关系, 验证了同步荧光光谱技术对胶原进行定量分析的可行性。
| 图5 浓度对胶原分子荧光光谱(a)和荧光强度(b)的影响(Δ λ =15 nm)Fig.5 Effect of concentration on the fluorescence spectra (a) and fluorescence intensity (b) of collagen molecules (Δ λ =15 nm) |
图6为胶原分子在不同浓度下的2D同步荧光光谱。 从图6(a)中可以看出, 同步荧光光谱中存在(261, 261)和(282, 282)两个正的自相关峰, 位于疏水核外部的Tyr对浓度变化敏感, 导致自相关峰(261, 261)强度低于(282, 282)。 由图6(b)可知, 异步图中具有(261, 282)> 0, (282, 261)< 0。 根据文献[10], 胶原分子基团的变化顺序为: 261> 282 nm。
| 图6 不同浓度下的二维荧光同步图(a)和异步图(b)(Δ λ =15 nm)Fig.6 Synchronous (a) and asynchronous (b) two-dimensional fluorescence spectra of collagen molecules at various concentrations (Δ λ =15 nm) |
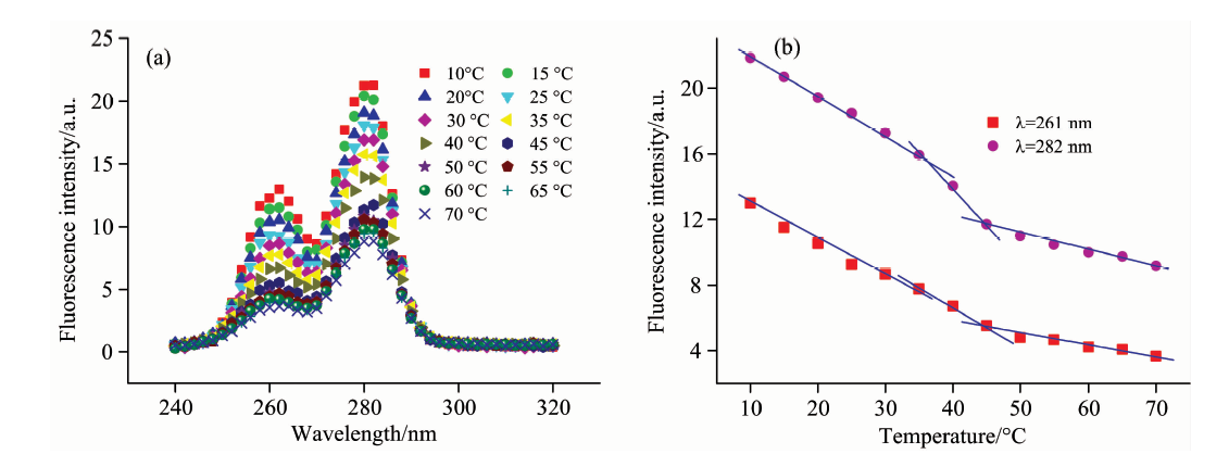
2.2.2 温度对胶原溶液聚集行为的影响
图7为温度对胶原荧光光谱的影响。 由图可知, 胶原分子的荧光强度随温度升高呈降低的趋势, 表明胶原分子聚集程度逐渐降低。 荧光强度随温度的变化也可以分为3个阶段: 低温区、 中温区和高温区。 低温区(10~35 ℃), 主要是荧光猝灭加大和荧光效率降低, 导致荧光强度降低; 中温区(35~45 ℃), 胶原分子逐渐解聚集, Phe和Tyr形成的氢键被破坏, 荧光强度急剧降低; 高温区(45~70 ℃), 胶原分子由三股螺旋结构变为无规卷曲构造, 亲水性增强, Phe和Tyr残基形成的氢键被大量破坏, 荧光强度继续降低[12, 13]。
| 图7 不同温度下胶原分子的荧光光谱(a)和荧光强度(b)(Δ λ =15 nm)Fig.7 Fluorescence spectra (a) and fluorescence intensity (b) of collagen molecules at various temperatures (Δ λ =15 nm) |
图8为胶原在10~70 ℃下的2D同步荧光光谱。 由图可知, 同步图存在(261, 261)和(282, 282)两个正自相关峰, 表明Phe与Tyr的荧光强度在溶液中变化方向相同。 温度的改变, Tyr更为敏感, 导致自相关峰(261, 261)强度低于(282, 282)。 异步图中, (261, 282)> 0, (282, 261)< 0。 根据读谱规则[10], 温度升高, 胶原分子聚集体逐渐松散, 疏水核内部的Phe优先响应, 位于聚集体外部的Tyr随后响应。
随着胶原浓度增加, Tyr和Phe数量增加并参与氢键的形成, 使其荧光强度增加, 从而导致聚集程度增加。 随着温度的升高, 由于基团的荧光效率降低, 猝灭概率增大以及胶原结构的转变, 使其荧光强度逐渐降低。 实验条件下, 胶原的荧光强度与浓度呈现良好的线性关系, 为胶原的定量分析提供了新的方法选择。 同步荧光较常规波长荧光光谱具有提升分辨率的优点, 且二维荧光光谱能够提升胶原分子的信号强度, 有效的判断出不同基团对外扰条件刺激的响应顺序。
| [1] |
|
| [2] |
|
| [3] |
|
| [4] |
|
| [5] |
|
| [6] |
|
| [7] |
|
| [8] |
|
| [9] |
|
| [10] |
|
| [11] |
|
| [12] |
|
| [13] |
|

